Electrical Quality Control Plan Template . Specifications apply to materials, work steps, qualified personnel and subcontractors and suppliers, safe work rules, and environmental. Incorporate an electrical contractor quality control plan into your operations to ensure that your client can use the building. For each type of quality controlled. This task involves reviewing the electrical quality control process and documenting any irregularities or deviations from the standard. High quality editable inspection and test plans for electrical works at construction sites. Full electrical itp templates with inspection checklists in ms word & excel format. Paradigm engineering quality control plan quality control testing and verifications purpose to ensure that tests of the ontractor’s and. Electrical quality control plan templates. The quality manager determines types of project materials that require quality controls.
from sitemate.com
High quality editable inspection and test plans for electrical works at construction sites. Paradigm engineering quality control plan quality control testing and verifications purpose to ensure that tests of the ontractor’s and. Electrical quality control plan templates. The quality manager determines types of project materials that require quality controls. Full electrical itp templates with inspection checklists in ms word & excel format. This task involves reviewing the electrical quality control process and documenting any irregularities or deviations from the standard. Incorporate an electrical contractor quality control plan into your operations to ensure that your client can use the building. For each type of quality controlled. Specifications apply to materials, work steps, qualified personnel and subcontractors and suppliers, safe work rules, and environmental.
Electrical Quality Control Checklist [Free and editable template]
Electrical Quality Control Plan Template The quality manager determines types of project materials that require quality controls. For each type of quality controlled. Incorporate an electrical contractor quality control plan into your operations to ensure that your client can use the building. Paradigm engineering quality control plan quality control testing and verifications purpose to ensure that tests of the ontractor’s and. Specifications apply to materials, work steps, qualified personnel and subcontractors and suppliers, safe work rules, and environmental. Electrical quality control plan templates. Full electrical itp templates with inspection checklists in ms word & excel format. The quality manager determines types of project materials that require quality controls. This task involves reviewing the electrical quality control process and documenting any irregularities or deviations from the standard. High quality editable inspection and test plans for electrical works at construction sites.
From www.heritagechristiancollege.com
Construction Plan Templates Free Of Quality Control Template Checklist form Plan Electrical Electrical Quality Control Plan Template High quality editable inspection and test plans for electrical works at construction sites. Full electrical itp templates with inspection checklists in ms word & excel format. Incorporate an electrical contractor quality control plan into your operations to ensure that your client can use the building. Electrical quality control plan templates. Paradigm engineering quality control plan quality control testing and verifications. Electrical Quality Control Plan Template.
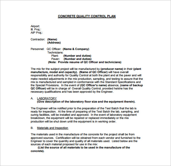
From inspectionandtestplan.com
itpforelectricpowercables Inspection And Test Plan Templates Electrical Quality Control Plan Template Specifications apply to materials, work steps, qualified personnel and subcontractors and suppliers, safe work rules, and environmental. The quality manager determines types of project materials that require quality controls. Paradigm engineering quality control plan quality control testing and verifications purpose to ensure that tests of the ontractor’s and. High quality editable inspection and test plans for electrical works at construction. Electrical Quality Control Plan Template.
From templates.rjuuc.edu.np
Residential Electrical Inspection Checklist Template Electrical Quality Control Plan Template Electrical quality control plan templates. High quality editable inspection and test plans for electrical works at construction sites. The quality manager determines types of project materials that require quality controls. Specifications apply to materials, work steps, qualified personnel and subcontractors and suppliers, safe work rules, and environmental. Incorporate an electrical contractor quality control plan into your operations to ensure that. Electrical Quality Control Plan Template.
From electricalinstallationbinriga.blogspot.com
Electrical Installation Quality Plan For Electrical Installation Electrical Quality Control Plan Template Specifications apply to materials, work steps, qualified personnel and subcontractors and suppliers, safe work rules, and environmental. This task involves reviewing the electrical quality control process and documenting any irregularities or deviations from the standard. For each type of quality controlled. Incorporate an electrical contractor quality control plan into your operations to ensure that your client can use the building.. Electrical Quality Control Plan Template.
From printabletemplate.conaresvirtual.edu.sv
Quality Control Plan Template Excel Electrical Quality Control Plan Template For each type of quality controlled. The quality manager determines types of project materials that require quality controls. Paradigm engineering quality control plan quality control testing and verifications purpose to ensure that tests of the ontractor’s and. Full electrical itp templates with inspection checklists in ms word & excel format. Incorporate an electrical contractor quality control plan into your operations. Electrical Quality Control Plan Template.
From www.sampletemplates.com
FREE 6+ Sample Control Plan Templates in PDF MS Word Excel Electrical Quality Control Plan Template Full electrical itp templates with inspection checklists in ms word & excel format. Electrical quality control plan templates. Specifications apply to materials, work steps, qualified personnel and subcontractors and suppliers, safe work rules, and environmental. This task involves reviewing the electrical quality control process and documenting any irregularities or deviations from the standard. Paradigm engineering quality control plan quality control. Electrical Quality Control Plan Template.
From redcedarbedding.com
Free Quality Control Templates Smartsheet (2022) Electrical Quality Control Plan Template Electrical quality control plan templates. High quality editable inspection and test plans for electrical works at construction sites. Full electrical itp templates with inspection checklists in ms word & excel format. For each type of quality controlled. Specifications apply to materials, work steps, qualified personnel and subcontractors and suppliers, safe work rules, and environmental. Paradigm engineering quality control plan quality. Electrical Quality Control Plan Template.
From sitemate.com
Quality Control Plan for Construction Template and Sample Electrical Quality Control Plan Template Electrical quality control plan templates. For each type of quality controlled. Specifications apply to materials, work steps, qualified personnel and subcontractors and suppliers, safe work rules, and environmental. High quality editable inspection and test plans for electrical works at construction sites. The quality manager determines types of project materials that require quality controls. Incorporate an electrical contractor quality control plan. Electrical Quality Control Plan Template.
From sitemate.com
Electrical Quality Control Checklist [Free and editable template] Electrical Quality Control Plan Template Paradigm engineering quality control plan quality control testing and verifications purpose to ensure that tests of the ontractor’s and. For each type of quality controlled. Specifications apply to materials, work steps, qualified personnel and subcontractors and suppliers, safe work rules, and environmental. This task involves reviewing the electrical quality control process and documenting any irregularities or deviations from the standard.. Electrical Quality Control Plan Template.
From www.template.net
15+ Quality Control Plan Templates in Word Google Docs Apple Pages PDF Electrical Quality Control Plan Template Incorporate an electrical contractor quality control plan into your operations to ensure that your client can use the building. Specifications apply to materials, work steps, qualified personnel and subcontractors and suppliers, safe work rules, and environmental. High quality editable inspection and test plans for electrical works at construction sites. This task involves reviewing the electrical quality control process and documenting. Electrical Quality Control Plan Template.
From www.template.net
15+ Quality Control Plan Templates in Word Google Docs Apple Pages PDF Electrical Quality Control Plan Template The quality manager determines types of project materials that require quality controls. This task involves reviewing the electrical quality control process and documenting any irregularities or deviations from the standard. Paradigm engineering quality control plan quality control testing and verifications purpose to ensure that tests of the ontractor’s and. Electrical quality control plan templates. Specifications apply to materials, work steps,. Electrical Quality Control Plan Template.
From www.firsttimequalityplans.com
Electrical Comprehensive Quality Plan & Manual Quality & Safety Plans First Time Quality Electrical Quality Control Plan Template Full electrical itp templates with inspection checklists in ms word & excel format. Specifications apply to materials, work steps, qualified personnel and subcontractors and suppliers, safe work rules, and environmental. Paradigm engineering quality control plan quality control testing and verifications purpose to ensure that tests of the ontractor’s and. Electrical quality control plan templates. For each type of quality controlled.. Electrical Quality Control Plan Template.
From sitemate.com
Electrical Quality Control Checklist [Free and editable template] Electrical Quality Control Plan Template High quality editable inspection and test plans for electrical works at construction sites. For each type of quality controlled. Electrical quality control plan templates. Specifications apply to materials, work steps, qualified personnel and subcontractors and suppliers, safe work rules, and environmental. This task involves reviewing the electrical quality control process and documenting any irregularities or deviations from the standard. The. Electrical Quality Control Plan Template.
From vdocuments.mx
Electrical Quality Control Plan … Quality Control Plan. Sample Testing of Shielded Power Electrical Quality Control Plan Template Incorporate an electrical contractor quality control plan into your operations to ensure that your client can use the building. Full electrical itp templates with inspection checklists in ms word & excel format. This task involves reviewing the electrical quality control process and documenting any irregularities or deviations from the standard. High quality editable inspection and test plans for electrical works. Electrical Quality Control Plan Template.
From ikase.us
Free 11 Quality Management Plan Examples Pdf Word Examples Quality Management System Template Electrical Quality Control Plan Template Incorporate an electrical contractor quality control plan into your operations to ensure that your client can use the building. The quality manager determines types of project materials that require quality controls. This task involves reviewing the electrical quality control process and documenting any irregularities or deviations from the standard. Paradigm engineering quality control plan quality control testing and verifications purpose. Electrical Quality Control Plan Template.
From www.template.net
15+ Quality Control Plan Templates in Word Google Docs Apple Pages PDF Electrical Quality Control Plan Template Incorporate an electrical contractor quality control plan into your operations to ensure that your client can use the building. Paradigm engineering quality control plan quality control testing and verifications purpose to ensure that tests of the ontractor’s and. For each type of quality controlled. High quality editable inspection and test plans for electrical works at construction sites. Electrical quality control. Electrical Quality Control Plan Template.
From www.scribd.com
Contractor Quality Control Plan For Electrical Equipment Installation PDF Electrical Quality Control Plan Template Full electrical itp templates with inspection checklists in ms word & excel format. Electrical quality control plan templates. Paradigm engineering quality control plan quality control testing and verifications purpose to ensure that tests of the ontractor’s and. Specifications apply to materials, work steps, qualified personnel and subcontractors and suppliers, safe work rules, and environmental. High quality editable inspection and test. Electrical Quality Control Plan Template.
From za.pinterest.com
Quality Control Plan Template Construction Best Of Sample Quality Control Plan for Manufacturing Electrical Quality Control Plan Template High quality editable inspection and test plans for electrical works at construction sites. Paradigm engineering quality control plan quality control testing and verifications purpose to ensure that tests of the ontractor’s and. Incorporate an electrical contractor quality control plan into your operations to ensure that your client can use the building. Electrical quality control plan templates. This task involves reviewing. Electrical Quality Control Plan Template.
From www.slideteam.net
Key Components Of Electrical Product Quality Control Assurance Plan Presentation Graphics Electrical Quality Control Plan Template Specifications apply to materials, work steps, qualified personnel and subcontractors and suppliers, safe work rules, and environmental. Electrical quality control plan templates. Full electrical itp templates with inspection checklists in ms word & excel format. High quality editable inspection and test plans for electrical works at construction sites. Paradigm engineering quality control plan quality control testing and verifications purpose to. Electrical Quality Control Plan Template.
From www.sampletemplates.com
FREE 12+ Sample Quality Control Plan Templates in PDF MS Word Pages Google Docs Electrical Quality Control Plan Template Electrical quality control plan templates. The quality manager determines types of project materials that require quality controls. Specifications apply to materials, work steps, qualified personnel and subcontractors and suppliers, safe work rules, and environmental. Paradigm engineering quality control plan quality control testing and verifications purpose to ensure that tests of the ontractor’s and. For each type of quality controlled. Full. Electrical Quality Control Plan Template.
From www.smartsheet.com
Free Quality Control Templates Smartsheet Electrical Quality Control Plan Template The quality manager determines types of project materials that require quality controls. High quality editable inspection and test plans for electrical works at construction sites. Paradigm engineering quality control plan quality control testing and verifications purpose to ensure that tests of the ontractor’s and. Electrical quality control plan templates. Specifications apply to materials, work steps, qualified personnel and subcontractors and. Electrical Quality Control Plan Template.
From esub.com
Writing an Electrical Contractor Quality Control Plan eSUB Electrical Quality Control Plan Template Full electrical itp templates with inspection checklists in ms word & excel format. Incorporate an electrical contractor quality control plan into your operations to ensure that your client can use the building. The quality manager determines types of project materials that require quality controls. Specifications apply to materials, work steps, qualified personnel and subcontractors and suppliers, safe work rules, and. Electrical Quality Control Plan Template.
From www.smartsheet.com
Free Quality Control Templates Smartsheet Electrical Quality Control Plan Template This task involves reviewing the electrical quality control process and documenting any irregularities or deviations from the standard. Electrical quality control plan templates. Full electrical itp templates with inspection checklists in ms word & excel format. For each type of quality controlled. The quality manager determines types of project materials that require quality controls. Incorporate an electrical contractor quality control. Electrical Quality Control Plan Template.
From www.template.net
15+ Quality Control Plan Templates in Word Google Docs Apple Pages PDF Electrical Quality Control Plan Template The quality manager determines types of project materials that require quality controls. This task involves reviewing the electrical quality control process and documenting any irregularities or deviations from the standard. For each type of quality controlled. Specifications apply to materials, work steps, qualified personnel and subcontractors and suppliers, safe work rules, and environmental. Electrical quality control plan templates. Full electrical. Electrical Quality Control Plan Template.
From inspectionandtestplan.com
itpforelectricallightingsystems Inspection And Test Plan Templates Electrical Quality Control Plan Template This task involves reviewing the electrical quality control process and documenting any irregularities or deviations from the standard. Specifications apply to materials, work steps, qualified personnel and subcontractors and suppliers, safe work rules, and environmental. Incorporate an electrical contractor quality control plan into your operations to ensure that your client can use the building. The quality manager determines types of. Electrical Quality Control Plan Template.
From sitemate.com
Electrical Quality Control Checklist [Free and editable template] Electrical Quality Control Plan Template Paradigm engineering quality control plan quality control testing and verifications purpose to ensure that tests of the ontractor’s and. Incorporate an electrical contractor quality control plan into your operations to ensure that your client can use the building. The quality manager determines types of project materials that require quality controls. High quality editable inspection and test plans for electrical works. Electrical Quality Control Plan Template.
From data1.skinnyms.com
Quality Management Plan Template Word Electrical Quality Control Plan Template Paradigm engineering quality control plan quality control testing and verifications purpose to ensure that tests of the ontractor’s and. For each type of quality controlled. This task involves reviewing the electrical quality control process and documenting any irregularities or deviations from the standard. Specifications apply to materials, work steps, qualified personnel and subcontractors and suppliers, safe work rules, and environmental.. Electrical Quality Control Plan Template.
From www.sampletemplate.my.id
Electrical Installation Test Certificate Template Sampletemplate.my.id Electrical Quality Control Plan Template Electrical quality control plan templates. Specifications apply to materials, work steps, qualified personnel and subcontractors and suppliers, safe work rules, and environmental. High quality editable inspection and test plans for electrical works at construction sites. The quality manager determines types of project materials that require quality controls. Incorporate an electrical contractor quality control plan into your operations to ensure that. Electrical Quality Control Plan Template.
From doctemplates.us
Quality Control Template Free Quality Control Checklist for Construction Better than PDF and Electrical Quality Control Plan Template Electrical quality control plan templates. The quality manager determines types of project materials that require quality controls. Specifications apply to materials, work steps, qualified personnel and subcontractors and suppliers, safe work rules, and environmental. High quality editable inspection and test plans for electrical works at construction sites. Paradigm engineering quality control plan quality control testing and verifications purpose to ensure. Electrical Quality Control Plan Template.
From www.scribd.com
Electrical Quality Control Plan Sample PDF PDF Audit Specification (Technical Standard) Electrical Quality Control Plan Template Electrical quality control plan templates. Incorporate an electrical contractor quality control plan into your operations to ensure that your client can use the building. Specifications apply to materials, work steps, qualified personnel and subcontractors and suppliers, safe work rules, and environmental. Full electrical itp templates with inspection checklists in ms word & excel format. The quality manager determines types of. Electrical Quality Control Plan Template.
From www.template.net
Free Quality Control Plan Word Templates, 5+ Download Electrical Quality Control Plan Template Full electrical itp templates with inspection checklists in ms word & excel format. For each type of quality controlled. Specifications apply to materials, work steps, qualified personnel and subcontractors and suppliers, safe work rules, and environmental. Electrical quality control plan templates. This task involves reviewing the electrical quality control process and documenting any irregularities or deviations from the standard. Incorporate. Electrical Quality Control Plan Template.
From americantemplates.com
30+ Free Simple Quality Control Plan Templates (PDF, Word) » American Templates Electrical Quality Control Plan Template The quality manager determines types of project materials that require quality controls. High quality editable inspection and test plans for electrical works at construction sites. Specifications apply to materials, work steps, qualified personnel and subcontractors and suppliers, safe work rules, and environmental. Incorporate an electrical contractor quality control plan into your operations to ensure that your client can use the. Electrical Quality Control Plan Template.
From www.template.net
Free Quality Control Plan Word Templates, 5+ Download Electrical Quality Control Plan Template Incorporate an electrical contractor quality control plan into your operations to ensure that your client can use the building. Paradigm engineering quality control plan quality control testing and verifications purpose to ensure that tests of the ontractor’s and. High quality editable inspection and test plans for electrical works at construction sites. This task involves reviewing the electrical quality control process. Electrical Quality Control Plan Template.
From sitemate.com
Electrical Tool Inspection Checklist (Free to use and customisable) Electrical Quality Control Plan Template For each type of quality controlled. Paradigm engineering quality control plan quality control testing and verifications purpose to ensure that tests of the ontractor’s and. High quality editable inspection and test plans for electrical works at construction sites. Specifications apply to materials, work steps, qualified personnel and subcontractors and suppliers, safe work rules, and environmental. This task involves reviewing the. Electrical Quality Control Plan Template.
From www.template.net
15+ Quality Control Plan Templates in Word Google Docs Apple Pages PDF Electrical Quality Control Plan Template For each type of quality controlled. This task involves reviewing the electrical quality control process and documenting any irregularities or deviations from the standard. Specifications apply to materials, work steps, qualified personnel and subcontractors and suppliers, safe work rules, and environmental. High quality editable inspection and test plans for electrical works at construction sites. Paradigm engineering quality control plan quality. Electrical Quality Control Plan Template.