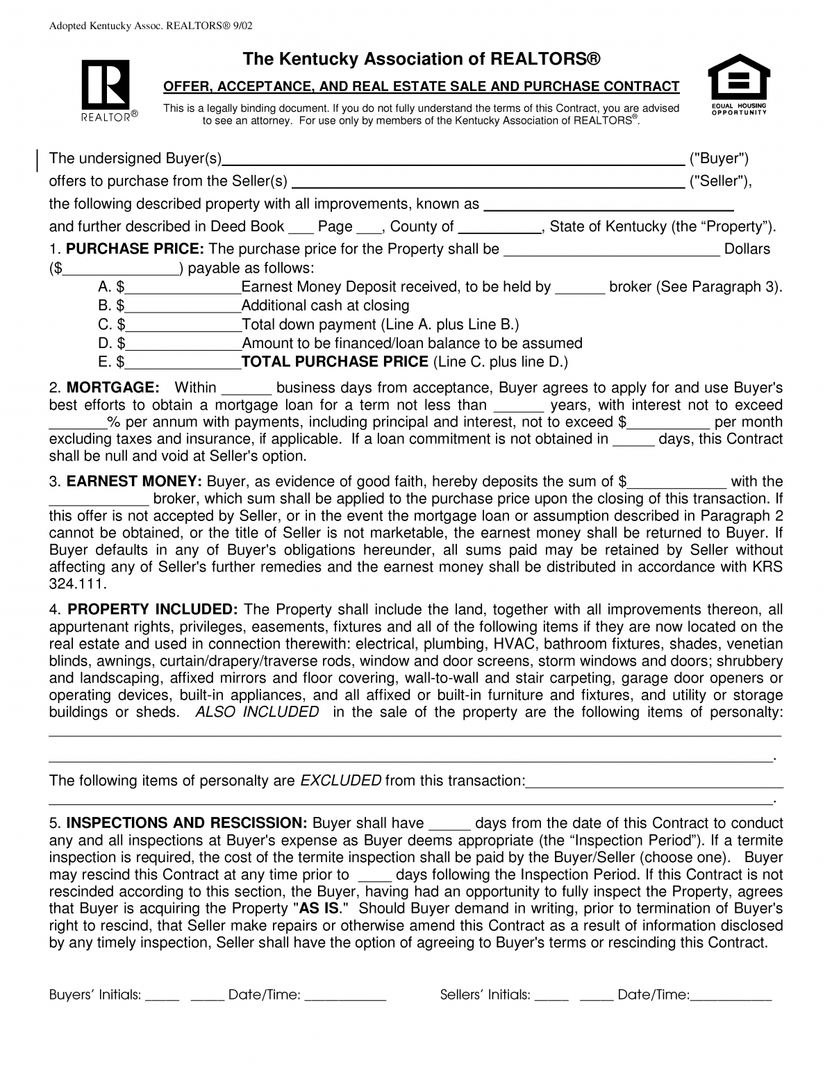
Ky Land Contract Laws . Includes enactments through the 2024 regular session. Includes enactments through the 2024 regular session. What is a kentucky real estate contract? The krs database was last updated on. Tenants, landlords, and property owners are bound (and protected) by several property and real estate laws. Learn about buying real estate through a land contract on kentucky today. A kentucky land contract establishes the terms and conditions of a vacant land purchase agreement between two parties. A kentucky real estate contract, sometimes called a purchase and sale agreement, is a legally. Quickly find answers to your buying real estate. Legal process tax is collected because the land contract is analogous to a mortgage and a conveyance has occurred. The krs database was last updated on.
from dl-uk.apowersoft.com
A kentucky land contract establishes the terms and conditions of a vacant land purchase agreement between two parties. A kentucky real estate contract, sometimes called a purchase and sale agreement, is a legally. The krs database was last updated on. Learn about buying real estate through a land contract on kentucky today. Legal process tax is collected because the land contract is analogous to a mortgage and a conveyance has occurred. Includes enactments through the 2024 regular session. Quickly find answers to your buying real estate. Includes enactments through the 2024 regular session. Tenants, landlords, and property owners are bound (and protected) by several property and real estate laws. The krs database was last updated on.
Free Printable Land Contract Ky
Ky Land Contract Laws Tenants, landlords, and property owners are bound (and protected) by several property and real estate laws. Quickly find answers to your buying real estate. Legal process tax is collected because the land contract is analogous to a mortgage and a conveyance has occurred. Tenants, landlords, and property owners are bound (and protected) by several property and real estate laws. The krs database was last updated on. The krs database was last updated on. A kentucky real estate contract, sometimes called a purchase and sale agreement, is a legally. A kentucky land contract establishes the terms and conditions of a vacant land purchase agreement between two parties. Includes enactments through the 2024 regular session. What is a kentucky real estate contract? Learn about buying real estate through a land contract on kentucky today. Includes enactments through the 2024 regular session.
From www.uslegalforms.com
Kentucky Agreement or Contract for Deed for Sale and Purchase of Real Ky Land Contract Laws What is a kentucky real estate contract? Includes enactments through the 2024 regular session. Legal process tax is collected because the land contract is analogous to a mortgage and a conveyance has occurred. A kentucky real estate contract, sometimes called a purchase and sale agreement, is a legally. Tenants, landlords, and property owners are bound (and protected) by several property. Ky Land Contract Laws.
From dl-uk.apowersoft.com
Free Printable Land Contract Ky Ky Land Contract Laws A kentucky real estate contract, sometimes called a purchase and sale agreement, is a legally. Tenants, landlords, and property owners are bound (and protected) by several property and real estate laws. The krs database was last updated on. Legal process tax is collected because the land contract is analogous to a mortgage and a conveyance has occurred. Includes enactments through. Ky Land Contract Laws.
From eforms.com
Free Kentucky Land Contract Template PDF Word eForms Ky Land Contract Laws The krs database was last updated on. Quickly find answers to your buying real estate. Includes enactments through the 2024 regular session. Tenants, landlords, and property owners are bound (and protected) by several property and real estate laws. A kentucky real estate contract, sometimes called a purchase and sale agreement, is a legally. Includes enactments through the 2024 regular session.. Ky Land Contract Laws.
From dl-uk.apowersoft.com
Free Printable Land Contract Ky Ky Land Contract Laws Tenants, landlords, and property owners are bound (and protected) by several property and real estate laws. Legal process tax is collected because the land contract is analogous to a mortgage and a conveyance has occurred. A kentucky real estate contract, sometimes called a purchase and sale agreement, is a legally. A kentucky land contract establishes the terms and conditions of. Ky Land Contract Laws.
From www.speedytemplate.com
Free Kentucky Purchase and Sale Contract for Lots and Vacant Land Form Ky Land Contract Laws A kentucky land contract establishes the terms and conditions of a vacant land purchase agreement between two parties. Legal process tax is collected because the land contract is analogous to a mortgage and a conveyance has occurred. The krs database was last updated on. Tenants, landlords, and property owners are bound (and protected) by several property and real estate laws.. Ky Land Contract Laws.
From www.uslegalforms.com
Louisville Kentucky Property Manager Agreement US Legal Forms Ky Land Contract Laws Learn about buying real estate through a land contract on kentucky today. Quickly find answers to your buying real estate. Includes enactments through the 2024 regular session. Legal process tax is collected because the land contract is analogous to a mortgage and a conveyance has occurred. Tenants, landlords, and property owners are bound (and protected) by several property and real. Ky Land Contract Laws.
From dl-uk.apowersoft.com
Free Printable Land Contract Ky Ky Land Contract Laws Quickly find answers to your buying real estate. Includes enactments through the 2024 regular session. Tenants, landlords, and property owners are bound (and protected) by several property and real estate laws. The krs database was last updated on. Includes enactments through the 2024 regular session. A kentucky real estate contract, sometimes called a purchase and sale agreement, is a legally.. Ky Land Contract Laws.
From www.uslegalforms.com
Land Contract Forfeiture US Legal Forms Ky Land Contract Laws What is a kentucky real estate contract? The krs database was last updated on. Tenants, landlords, and property owners are bound (and protected) by several property and real estate laws. The krs database was last updated on. Includes enactments through the 2024 regular session. Includes enactments through the 2024 regular session. A kentucky land contract establishes the terms and conditions. Ky Land Contract Laws.
From opendocs.com
Free Kentucky Lease to Own Agreement PDF WORD Ky Land Contract Laws The krs database was last updated on. A kentucky real estate contract, sometimes called a purchase and sale agreement, is a legally. Tenants, landlords, and property owners are bound (and protected) by several property and real estate laws. The krs database was last updated on. Includes enactments through the 2024 regular session. Quickly find answers to your buying real estate.. Ky Land Contract Laws.
From freeforms.com
Free Kentucky Standard Residential Lease Agreement Template PDF WORD Ky Land Contract Laws The krs database was last updated on. A kentucky land contract establishes the terms and conditions of a vacant land purchase agreement between two parties. Includes enactments through the 2024 regular session. A kentucky real estate contract, sometimes called a purchase and sale agreement, is a legally. Includes enactments through the 2024 regular session. Quickly find answers to your buying. Ky Land Contract Laws.
From eforms.com
Free Kentucky Land Contract Template PDF Word eForms Ky Land Contract Laws Quickly find answers to your buying real estate. Learn about buying real estate through a land contract on kentucky today. Legal process tax is collected because the land contract is analogous to a mortgage and a conveyance has occurred. What is a kentucky real estate contract? A kentucky real estate contract, sometimes called a purchase and sale agreement, is a. Ky Land Contract Laws.
From www.speedytemplate.com
Free Kentucky Purchase and Sale Contract for Lots and Vacant Land Form Ky Land Contract Laws What is a kentucky real estate contract? Learn about buying real estate through a land contract on kentucky today. Includes enactments through the 2024 regular session. Includes enactments through the 2024 regular session. The krs database was last updated on. The krs database was last updated on. A kentucky real estate contract, sometimes called a purchase and sale agreement, is. Ky Land Contract Laws.
From freeforms.com
Free Kentucky Standard Residential Lease Agreement Template PDF WORD Ky Land Contract Laws The krs database was last updated on. What is a kentucky real estate contract? Includes enactments through the 2024 regular session. The krs database was last updated on. Tenants, landlords, and property owners are bound (and protected) by several property and real estate laws. Includes enactments through the 2024 regular session. A kentucky land contract establishes the terms and conditions. Ky Land Contract Laws.
From www.uslegalforms.com
Kentucky Land Contract Form US Legal Forms Ky Land Contract Laws Legal process tax is collected because the land contract is analogous to a mortgage and a conveyance has occurred. A kentucky real estate contract, sometimes called a purchase and sale agreement, is a legally. Learn about buying real estate through a land contract on kentucky today. Quickly find answers to your buying real estate. A kentucky land contract establishes the. Ky Land Contract Laws.
From forms.legal
Free Kentucky Rental Lease Legal Agreement Forms Forms.Legal Ky Land Contract Laws The krs database was last updated on. A kentucky real estate contract, sometimes called a purchase and sale agreement, is a legally. Learn about buying real estate through a land contract on kentucky today. Includes enactments through the 2024 regular session. A kentucky land contract establishes the terms and conditions of a vacant land purchase agreement between two parties. Quickly. Ky Land Contract Laws.
From eforms.com
Free Kentucky Land Contract Template PDF Word eForms Ky Land Contract Laws Includes enactments through the 2024 regular session. Includes enactments through the 2024 regular session. A kentucky land contract establishes the terms and conditions of a vacant land purchase agreement between two parties. Legal process tax is collected because the land contract is analogous to a mortgage and a conveyance has occurred. What is a kentucky real estate contract? Tenants, landlords,. Ky Land Contract Laws.
From esign.com
Free Kentucky Property Management Agreement PDF Word Ky Land Contract Laws Includes enactments through the 2024 regular session. The krs database was last updated on. Quickly find answers to your buying real estate. Tenants, landlords, and property owners are bound (and protected) by several property and real estate laws. The krs database was last updated on. Learn about buying real estate through a land contract on kentucky today. Includes enactments through. Ky Land Contract Laws.
From rentallease.net
Free Kentucky MonthtoMonth Lease Agreement PDF Word Ky Land Contract Laws Learn about buying real estate through a land contract on kentucky today. A kentucky real estate contract, sometimes called a purchase and sale agreement, is a legally. Tenants, landlords, and property owners are bound (and protected) by several property and real estate laws. The krs database was last updated on. The krs database was last updated on. A kentucky land. Ky Land Contract Laws.
From www.uslegalforms.com
Kentucky Agreement or Contract for Deed for Sale and Purchase of Real Ky Land Contract Laws Tenants, landlords, and property owners are bound (and protected) by several property and real estate laws. A kentucky land contract establishes the terms and conditions of a vacant land purchase agreement between two parties. Quickly find answers to your buying real estate. The krs database was last updated on. The krs database was last updated on. What is a kentucky. Ky Land Contract Laws.
From leaseagreements.com
Free Kentucky Lease Agreement Templates (6) PDF WORD RTF Ky Land Contract Laws A kentucky real estate contract, sometimes called a purchase and sale agreement, is a legally. What is a kentucky real estate contract? A kentucky land contract establishes the terms and conditions of a vacant land purchase agreement between two parties. Quickly find answers to your buying real estate. Legal process tax is collected because the land contract is analogous to. Ky Land Contract Laws.
From esign.com
Free Kentucky Residential Purchase and Sale Agreement PDF Word Ky Land Contract Laws A kentucky real estate contract, sometimes called a purchase and sale agreement, is a legally. Includes enactments through the 2024 regular session. Legal process tax is collected because the land contract is analogous to a mortgage and a conveyance has occurred. Quickly find answers to your buying real estate. What is a kentucky real estate contract? Includes enactments through the. Ky Land Contract Laws.
From eforms.com
Free Kentucky Standard Residential Lease Agreement PDF Word eForms Ky Land Contract Laws Learn about buying real estate through a land contract on kentucky today. Tenants, landlords, and property owners are bound (and protected) by several property and real estate laws. A kentucky land contract establishes the terms and conditions of a vacant land purchase agreement between two parties. A kentucky real estate contract, sometimes called a purchase and sale agreement, is a. Ky Land Contract Laws.
From pretempl.com
free download Kentucky land contract example, Word and PDF format Ky Land Contract Laws Includes enactments through the 2024 regular session. The krs database was last updated on. Quickly find answers to your buying real estate. A kentucky real estate contract, sometimes called a purchase and sale agreement, is a legally. Learn about buying real estate through a land contract on kentucky today. Legal process tax is collected because the land contract is analogous. Ky Land Contract Laws.
From formspal.com
Kentucky Real Estate Purchase and Sale Contract Form Ky Land Contract Laws Includes enactments through the 2024 regular session. Legal process tax is collected because the land contract is analogous to a mortgage and a conveyance has occurred. A kentucky real estate contract, sometimes called a purchase and sale agreement, is a legally. The krs database was last updated on. Learn about buying real estate through a land contract on kentucky today.. Ky Land Contract Laws.
From media.printable.meganuncios.com.mx
Free Printable Land Contract Ky FREE PRINTABLE Ky Land Contract Laws The krs database was last updated on. Tenants, landlords, and property owners are bound (and protected) by several property and real estate laws. What is a kentucky real estate contract? The krs database was last updated on. Includes enactments through the 2024 regular session. Learn about buying real estate through a land contract on kentucky today. Quickly find answers to. Ky Land Contract Laws.
From ipropertymanagement.com
Kentucky Rental Lease Agreement Template [2024 ] PDF & DOC Ky Land Contract Laws Learn about buying real estate through a land contract on kentucky today. The krs database was last updated on. Tenants, landlords, and property owners are bound (and protected) by several property and real estate laws. What is a kentucky real estate contract? Legal process tax is collected because the land contract is analogous to a mortgage and a conveyance has. Ky Land Contract Laws.
From templates.legal
Kentucky Purchase Agreement Templates (Free) [Word, PDF, ODT] Ky Land Contract Laws Legal process tax is collected because the land contract is analogous to a mortgage and a conveyance has occurred. The krs database was last updated on. What is a kentucky real estate contract? A kentucky land contract establishes the terms and conditions of a vacant land purchase agreement between two parties. Includes enactments through the 2024 regular session. Learn about. Ky Land Contract Laws.
From www.uslegalforms.com
Kentucky Land Contract Form US Legal Forms Ky Land Contract Laws Tenants, landlords, and property owners are bound (and protected) by several property and real estate laws. Includes enactments through the 2024 regular session. The krs database was last updated on. Quickly find answers to your buying real estate. Learn about buying real estate through a land contract on kentucky today. A kentucky land contract establishes the terms and conditions of. Ky Land Contract Laws.
From esign.com
Free Kentucky Residential Purchase and Sale Agreement PDF Word Ky Land Contract Laws Includes enactments through the 2024 regular session. Includes enactments through the 2024 regular session. A kentucky real estate contract, sometimes called a purchase and sale agreement, is a legally. Tenants, landlords, and property owners are bound (and protected) by several property and real estate laws. A kentucky land contract establishes the terms and conditions of a vacant land purchase agreement. Ky Land Contract Laws.
From ipropertymanagement.com
Kentucky Rental Lease Agreement Template [2024 ] PDF & DOC Ky Land Contract Laws A kentucky land contract establishes the terms and conditions of a vacant land purchase agreement between two parties. Includes enactments through the 2024 regular session. The krs database was last updated on. Includes enactments through the 2024 regular session. What is a kentucky real estate contract? Learn about buying real estate through a land contract on kentucky today. The krs. Ky Land Contract Laws.
From allaboutlawyer.com
Kentucky Property RightofWay Laws Ky Land Contract Laws What is a kentucky real estate contract? Includes enactments through the 2024 regular session. Tenants, landlords, and property owners are bound (and protected) by several property and real estate laws. Quickly find answers to your buying real estate. Includes enactments through the 2024 regular session. Learn about buying real estate through a land contract on kentucky today. A kentucky real. Ky Land Contract Laws.
From leaseagreements.com
Free Kentucky Lease Agreement Templates (6) PDF WORD RTF Ky Land Contract Laws The krs database was last updated on. Legal process tax is collected because the land contract is analogous to a mortgage and a conveyance has occurred. Includes enactments through the 2024 regular session. A kentucky land contract establishes the terms and conditions of a vacant land purchase agreement between two parties. The krs database was last updated on. Learn about. Ky Land Contract Laws.
From legaltemplates.net
Kentucky Residential Lease/Rental Agreement Forms Free PDF Ky Land Contract Laws Quickly find answers to your buying real estate. What is a kentucky real estate contract? A kentucky real estate contract, sometimes called a purchase and sale agreement, is a legally. Legal process tax is collected because the land contract is analogous to a mortgage and a conveyance has occurred. The krs database was last updated on. A kentucky land contract. Ky Land Contract Laws.
From www.perryrealestatecollege.com
Kentucky Real Estate Broker Courses Ky Land Contract Laws Legal process tax is collected because the land contract is analogous to a mortgage and a conveyance has occurred. A kentucky land contract establishes the terms and conditions of a vacant land purchase agreement between two parties. The krs database was last updated on. A kentucky real estate contract, sometimes called a purchase and sale agreement, is a legally. The. Ky Land Contract Laws.
From www.speedytemplate.com
Free Kentucky Purchase and Sale Contract for Lots and Vacant Land Form Ky Land Contract Laws Quickly find answers to your buying real estate. The krs database was last updated on. What is a kentucky real estate contract? Learn about buying real estate through a land contract on kentucky today. A kentucky real estate contract, sometimes called a purchase and sale agreement, is a legally. Includes enactments through the 2024 regular session. Legal process tax is. Ky Land Contract Laws.