Acceleration Km Per Hour . An online calculator for calculating acceleration, speed and distance for uniformly accelerated, rectilinear. M/s to km/h, km/h to mi/h, m/s2 to km/s2, hr to seconds, etc. Calculate rate of speed given distance and time. Convert quickly between kilometers per hour (kph), miles per hour (mph), centimeters per second and other metric and imperial. To convert from kilometer per hour squared (km/h²) to meter per second squared (m/s²), you can use the following formulas: Find mph, miles per hour, km/hour. Enter three values at start speed, end speed, time and. Learn about the conversion of units of speed, acceleration, and time. Solve for speed, distance, time and rate with formulas s=d/t, d=st, d=rt, t=d/s.
from www.youtube.com
Find mph, miles per hour, km/hour. An online calculator for calculating acceleration, speed and distance for uniformly accelerated, rectilinear. To convert from kilometer per hour squared (km/h²) to meter per second squared (m/s²), you can use the following formulas: M/s to km/h, km/h to mi/h, m/s2 to km/s2, hr to seconds, etc. Enter three values at start speed, end speed, time and. Solve for speed, distance, time and rate with formulas s=d/t, d=st, d=rt, t=d/s. Calculate rate of speed given distance and time. Convert quickly between kilometers per hour (kph), miles per hour (mph), centimeters per second and other metric and imperial. Learn about the conversion of units of speed, acceleration, and time.
Finding the average speed of a car in km per hour YouTube
Acceleration Km Per Hour Solve for speed, distance, time and rate with formulas s=d/t, d=st, d=rt, t=d/s. An online calculator for calculating acceleration, speed and distance for uniformly accelerated, rectilinear. Solve for speed, distance, time and rate with formulas s=d/t, d=st, d=rt, t=d/s. Convert quickly between kilometers per hour (kph), miles per hour (mph), centimeters per second and other metric and imperial. M/s to km/h, km/h to mi/h, m/s2 to km/s2, hr to seconds, etc. Find mph, miles per hour, km/hour. Enter three values at start speed, end speed, time and. Learn about the conversion of units of speed, acceleration, and time. Calculate rate of speed given distance and time. To convert from kilometer per hour squared (km/h²) to meter per second squared (m/s²), you can use the following formulas:
From www.numerade.com
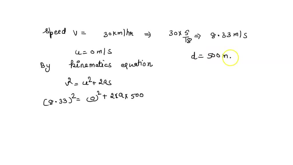
SOLVED 1. An automobile starts from rest and in 500 meters attains Acceleration Km Per Hour Convert quickly between kilometers per hour (kph), miles per hour (mph), centimeters per second and other metric and imperial. An online calculator for calculating acceleration, speed and distance for uniformly accelerated, rectilinear. Solve for speed, distance, time and rate with formulas s=d/t, d=st, d=rt, t=d/s. Learn about the conversion of units of speed, acceleration, and time. M/s to km/h, km/h. Acceleration Km Per Hour.
From www.teachoo.com
Example 8.6 A car accelerates uniformly from 18 km/h to 36 km/h in 5 Acceleration Km Per Hour To convert from kilometer per hour squared (km/h²) to meter per second squared (m/s²), you can use the following formulas: M/s to km/h, km/h to mi/h, m/s2 to km/s2, hr to seconds, etc. An online calculator for calculating acceleration, speed and distance for uniformly accelerated, rectilinear. Calculate rate of speed given distance and time. Convert quickly between kilometers per hour. Acceleration Km Per Hour.
From aloysiusilenna.blogspot.com
How Fast Is 20 Km Per Hour AloysiusIlenna Acceleration Km Per Hour Calculate rate of speed given distance and time. Enter three values at start speed, end speed, time and. Convert quickly between kilometers per hour (kph), miles per hour (mph), centimeters per second and other metric and imperial. An online calculator for calculating acceleration, speed and distance for uniformly accelerated, rectilinear. Learn about the conversion of units of speed, acceleration, and. Acceleration Km Per Hour.
From www.toppr.com
If a car requires 30 seconds to acceleration from zero to 90 km per Acceleration Km Per Hour An online calculator for calculating acceleration, speed and distance for uniformly accelerated, rectilinear. Learn about the conversion of units of speed, acceleration, and time. Solve for speed, distance, time and rate with formulas s=d/t, d=st, d=rt, t=d/s. Enter three values at start speed, end speed, time and. Calculate rate of speed given distance and time. Convert quickly between kilometers per. Acceleration Km Per Hour.
From brainly.in
a car accelerates uniformly from 20 km per hour to 35 km per hour in 5 Acceleration Km Per Hour M/s to km/h, km/h to mi/h, m/s2 to km/s2, hr to seconds, etc. To convert from kilometer per hour squared (km/h²) to meter per second squared (m/s²), you can use the following formulas: Find mph, miles per hour, km/hour. Enter three values at start speed, end speed, time and. An online calculator for calculating acceleration, speed and distance for uniformly. Acceleration Km Per Hour.
From worksheetcampuscumber.z13.web.core.windows.net
Kilometer Per Hour To Meter Per Second Acceleration Km Per Hour M/s to km/h, km/h to mi/h, m/s2 to km/s2, hr to seconds, etc. Calculate rate of speed given distance and time. Learn about the conversion of units of speed, acceleration, and time. An online calculator for calculating acceleration, speed and distance for uniformly accelerated, rectilinear. Solve for speed, distance, time and rate with formulas s=d/t, d=st, d=rt, t=d/s. Convert quickly. Acceleration Km Per Hour.
From www.toppr.com
A train starting from a railway station and moving with uniform Acceleration Km Per Hour To convert from kilometer per hour squared (km/h²) to meter per second squared (m/s²), you can use the following formulas: Calculate rate of speed given distance and time. Enter three values at start speed, end speed, time and. An online calculator for calculating acceleration, speed and distance for uniformly accelerated, rectilinear. M/s to km/h, km/h to mi/h, m/s2 to km/s2,. Acceleration Km Per Hour.
From brainly.in
find the acceleration when a train accelerate from 36 km per hour to Acceleration Km Per Hour Enter three values at start speed, end speed, time and. To convert from kilometer per hour squared (km/h²) to meter per second squared (m/s²), you can use the following formulas: Solve for speed, distance, time and rate with formulas s=d/t, d=st, d=rt, t=d/s. M/s to km/h, km/h to mi/h, m/s2 to km/s2, hr to seconds, etc. Learn about the conversion. Acceleration Km Per Hour.
From brainly.in
A car accelerates uniformly from 18 kilometre per hour to 36 km per Acceleration Km Per Hour Solve for speed, distance, time and rate with formulas s=d/t, d=st, d=rt, t=d/s. Enter three values at start speed, end speed, time and. M/s to km/h, km/h to mi/h, m/s2 to km/s2, hr to seconds, etc. Learn about the conversion of units of speed, acceleration, and time. An online calculator for calculating acceleration, speed and distance for uniformly accelerated, rectilinear.. Acceleration Km Per Hour.
From imgbin.com
Computer Icons Speed Synonyms And Antonyms Kilometer Per Hour Length Acceleration Km Per Hour Calculate rate of speed given distance and time. Convert quickly between kilometers per hour (kph), miles per hour (mph), centimeters per second and other metric and imperial. An online calculator for calculating acceleration, speed and distance for uniformly accelerated, rectilinear. M/s to km/h, km/h to mi/h, m/s2 to km/s2, hr to seconds, etc. Enter three values at start speed, end. Acceleration Km Per Hour.
From askfilo.com
particle and the acceleration of the particle in kilometers per hour squa.. Acceleration Km Per Hour To convert from kilometer per hour squared (km/h²) to meter per second squared (m/s²), you can use the following formulas: Learn about the conversion of units of speed, acceleration, and time. M/s to km/h, km/h to mi/h, m/s2 to km/s2, hr to seconds, etc. Calculate rate of speed given distance and time. Find mph, miles per hour, km/hour. Enter three. Acceleration Km Per Hour.
From www.numerade.com
SOLVED A train starting from a railway station and moving with a Acceleration Km Per Hour An online calculator for calculating acceleration, speed and distance for uniformly accelerated, rectilinear. To convert from kilometer per hour squared (km/h²) to meter per second squared (m/s²), you can use the following formulas: Convert quickly between kilometers per hour (kph), miles per hour (mph), centimeters per second and other metric and imperial. Find mph, miles per hour, km/hour. Calculate rate. Acceleration Km Per Hour.
From www.numerade.com
SOLVED a bus decreases its speed from 80 km per hour to 50 km per hour Acceleration Km Per Hour To convert from kilometer per hour squared (km/h²) to meter per second squared (m/s²), you can use the following formulas: Learn about the conversion of units of speed, acceleration, and time. An online calculator for calculating acceleration, speed and distance for uniformly accelerated, rectilinear. Solve for speed, distance, time and rate with formulas s=d/t, d=st, d=rt, t=d/s. Find mph, miles. Acceleration Km Per Hour.
From slideplayer.com
Acceleration a. ppt download Acceleration Km Per Hour Convert quickly between kilometers per hour (kph), miles per hour (mph), centimeters per second and other metric and imperial. Enter three values at start speed, end speed, time and. M/s to km/h, km/h to mi/h, m/s2 to km/s2, hr to seconds, etc. To convert from kilometer per hour squared (km/h²) to meter per second squared (m/s²), you can use the. Acceleration Km Per Hour.
From byjus.com
8.A bicycle increase its velocity from 10 km/h to 15km/h in 6 seconds Acceleration Km Per Hour Find mph, miles per hour, km/hour. Learn about the conversion of units of speed, acceleration, and time. An online calculator for calculating acceleration, speed and distance for uniformly accelerated, rectilinear. Solve for speed, distance, time and rate with formulas s=d/t, d=st, d=rt, t=d/s. To convert from kilometer per hour squared (km/h²) to meter per second squared (m/s²), you can use. Acceleration Km Per Hour.
From www.youtube.com
How To Convert From Km/hr to m/s and m/s to Km/hr With Shortcut Acceleration Km Per Hour To convert from kilometer per hour squared (km/h²) to meter per second squared (m/s²), you can use the following formulas: An online calculator for calculating acceleration, speed and distance for uniformly accelerated, rectilinear. Find mph, miles per hour, km/hour. Enter three values at start speed, end speed, time and. Solve for speed, distance, time and rate with formulas s=d/t, d=st,. Acceleration Km Per Hour.
From slideplayer.com
Speed, velocity and acceleration ppt download Acceleration Km Per Hour M/s to km/h, km/h to mi/h, m/s2 to km/s2, hr to seconds, etc. Solve for speed, distance, time and rate with formulas s=d/t, d=st, d=rt, t=d/s. Find mph, miles per hour, km/hour. Convert quickly between kilometers per hour (kph), miles per hour (mph), centimeters per second and other metric and imperial. Learn about the conversion of units of speed, acceleration,. Acceleration Km Per Hour.
From www.youtube.com
Convert an acceleration of 10 m/s2 to km/hr 2 YouTube Acceleration Km Per Hour M/s to km/h, km/h to mi/h, m/s2 to km/s2, hr to seconds, etc. To convert from kilometer per hour squared (km/h²) to meter per second squared (m/s²), you can use the following formulas: Enter three values at start speed, end speed, time and. An online calculator for calculating acceleration, speed and distance for uniformly accelerated, rectilinear. Solve for speed, distance,. Acceleration Km Per Hour.
From slideplayer.com
Acceleration. ppt download Acceleration Km Per Hour Solve for speed, distance, time and rate with formulas s=d/t, d=st, d=rt, t=d/s. M/s to km/h, km/h to mi/h, m/s2 to km/s2, hr to seconds, etc. An online calculator for calculating acceleration, speed and distance for uniformly accelerated, rectilinear. Learn about the conversion of units of speed, acceleration, and time. Find mph, miles per hour, km/hour. Enter three values at. Acceleration Km Per Hour.
From brainly.in
Bicycle increases its velocity from 10 km per hour 215 km per hour in 6 Acceleration Km Per Hour To convert from kilometer per hour squared (km/h²) to meter per second squared (m/s²), you can use the following formulas: Learn about the conversion of units of speed, acceleration, and time. M/s to km/h, km/h to mi/h, m/s2 to km/s2, hr to seconds, etc. Calculate rate of speed given distance and time. Convert quickly between kilometers per hour (kph), miles. Acceleration Km Per Hour.
From www.numerade.com
SOLVED a car accelerates from rest to reach a speed of 100 kilometers Acceleration Km Per Hour M/s to km/h, km/h to mi/h, m/s2 to km/s2, hr to seconds, etc. Enter three values at start speed, end speed, time and. Find mph, miles per hour, km/hour. To convert from kilometer per hour squared (km/h²) to meter per second squared (m/s²), you can use the following formulas: An online calculator for calculating acceleration, speed and distance for uniformly. Acceleration Km Per Hour.
From brainly.in
A car initially at rest , picks up a velocity 72km per hour in one Acceleration Km Per Hour Calculate rate of speed given distance and time. An online calculator for calculating acceleration, speed and distance for uniformly accelerated, rectilinear. Solve for speed, distance, time and rate with formulas s=d/t, d=st, d=rt, t=d/s. Learn about the conversion of units of speed, acceleration, and time. To convert from kilometer per hour squared (km/h²) to meter per second squared (m/s²), you. Acceleration Km Per Hour.
From www.youtube.com
How to Calculate the Average Speed in Kilometers per Hour YouTube Acceleration Km Per Hour Solve for speed, distance, time and rate with formulas s=d/t, d=st, d=rt, t=d/s. Find mph, miles per hour, km/hour. M/s to km/h, km/h to mi/h, m/s2 to km/s2, hr to seconds, etc. To convert from kilometer per hour squared (km/h²) to meter per second squared (m/s²), you can use the following formulas: An online calculator for calculating acceleration, speed and. Acceleration Km Per Hour.
From www.toppr.com
A graph between the square of the velocity of a particle and the Acceleration Km Per Hour An online calculator for calculating acceleration, speed and distance for uniformly accelerated, rectilinear. Convert quickly between kilometers per hour (kph), miles per hour (mph), centimeters per second and other metric and imperial. Enter three values at start speed, end speed, time and. Learn about the conversion of units of speed, acceleration, and time. Find mph, miles per hour, km/hour. Solve. Acceleration Km Per Hour.
From brainly.in
Bicycle increases its velocity from 10 km per hour 215 km per hour in 6 Acceleration Km Per Hour Solve for speed, distance, time and rate with formulas s=d/t, d=st, d=rt, t=d/s. M/s to km/h, km/h to mi/h, m/s2 to km/s2, hr to seconds, etc. To convert from kilometer per hour squared (km/h²) to meter per second squared (m/s²), you can use the following formulas: Find mph, miles per hour, km/hour. Learn about the conversion of units of speed,. Acceleration Km Per Hour.
From www.toppr.com
A train starting from a railway station and moving with uniform Acceleration Km Per Hour Calculate rate of speed given distance and time. Convert quickly between kilometers per hour (kph), miles per hour (mph), centimeters per second and other metric and imperial. Learn about the conversion of units of speed, acceleration, and time. Solve for speed, distance, time and rate with formulas s=d/t, d=st, d=rt, t=d/s. To convert from kilometer per hour squared (km/h²) to. Acceleration Km Per Hour.
From slideplayer.com
Motion Chapter 1 pp ppt download Acceleration Km Per Hour Learn about the conversion of units of speed, acceleration, and time. Enter three values at start speed, end speed, time and. M/s to km/h, km/h to mi/h, m/s2 to km/s2, hr to seconds, etc. Find mph, miles per hour, km/hour. To convert from kilometer per hour squared (km/h²) to meter per second squared (m/s²), you can use the following formulas:. Acceleration Km Per Hour.
From www.toppr.com
Graph between the square of the velocity (v) of a particle and the Acceleration Km Per Hour Enter three values at start speed, end speed, time and. Calculate rate of speed given distance and time. Learn about the conversion of units of speed, acceleration, and time. M/s to km/h, km/h to mi/h, m/s2 to km/s2, hr to seconds, etc. Convert quickly between kilometers per hour (kph), miles per hour (mph), centimeters per second and other metric and. Acceleration Km Per Hour.
From brainly.in
a train starts from a railway station and moving with uniform Acceleration Km Per Hour An online calculator for calculating acceleration, speed and distance for uniformly accelerated, rectilinear. Calculate rate of speed given distance and time. Learn about the conversion of units of speed, acceleration, and time. Solve for speed, distance, time and rate with formulas s=d/t, d=st, d=rt, t=d/s. To convert from kilometer per hour squared (km/h²) to meter per second squared (m/s²), you. Acceleration Km Per Hour.
From www.youtube.com
ACCELERATION Units Conversion 240 kilometersperhoursquared to Acceleration Km Per Hour Solve for speed, distance, time and rate with formulas s=d/t, d=st, d=rt, t=d/s. Find mph, miles per hour, km/hour. An online calculator for calculating acceleration, speed and distance for uniformly accelerated, rectilinear. M/s to km/h, km/h to mi/h, m/s2 to km/s2, hr to seconds, etc. Learn about the conversion of units of speed, acceleration, and time. Calculate rate of speed. Acceleration Km Per Hour.
From www.slideserve.com
PPT Acceleration PowerPoint Presentation, free download ID5957192 Acceleration Km Per Hour An online calculator for calculating acceleration, speed and distance for uniformly accelerated, rectilinear. To convert from kilometer per hour squared (km/h²) to meter per second squared (m/s²), you can use the following formulas: Learn about the conversion of units of speed, acceleration, and time. Find mph, miles per hour, km/hour. Calculate rate of speed given distance and time. Solve for. Acceleration Km Per Hour.
From brainly.in
A car travelling at 20 km per hour speeds up to 60 km per hour in 6 Acceleration Km Per Hour To convert from kilometer per hour squared (km/h²) to meter per second squared (m/s²), you can use the following formulas: Learn about the conversion of units of speed, acceleration, and time. Enter three values at start speed, end speed, time and. Find mph, miles per hour, km/hour. Convert quickly between kilometers per hour (kph), miles per hour (mph), centimeters per. Acceleration Km Per Hour.
From brainly.in
A bus decreases its speed from 80 km per hour to 60 km per hour in 5 Acceleration Km Per Hour To convert from kilometer per hour squared (km/h²) to meter per second squared (m/s²), you can use the following formulas: Find mph, miles per hour, km/hour. Solve for speed, distance, time and rate with formulas s=d/t, d=st, d=rt, t=d/s. Enter three values at start speed, end speed, time and. An online calculator for calculating acceleration, speed and distance for uniformly. Acceleration Km Per Hour.
From www.youtube.com
Finding the average speed of a car in km per hour YouTube Acceleration Km Per Hour Convert quickly between kilometers per hour (kph), miles per hour (mph), centimeters per second and other metric and imperial. Calculate rate of speed given distance and time. An online calculator for calculating acceleration, speed and distance for uniformly accelerated, rectilinear. Solve for speed, distance, time and rate with formulas s=d/t, d=st, d=rt, t=d/s. Find mph, miles per hour, km/hour. M/s. Acceleration Km Per Hour.
From www.numerade.com
SOLVED a car increase its speed form 20km per hour to 50 km 1min 10 Acceleration Km Per Hour Solve for speed, distance, time and rate with formulas s=d/t, d=st, d=rt, t=d/s. To convert from kilometer per hour squared (km/h²) to meter per second squared (m/s²), you can use the following formulas: M/s to km/h, km/h to mi/h, m/s2 to km/s2, hr to seconds, etc. Convert quickly between kilometers per hour (kph), miles per hour (mph), centimeters per second. Acceleration Km Per Hour.