Florida Real Estate License Null And Void . If my real estate license is null & void can i reapply for the license? Yes, by filing an application and submitting applicable fees,. To reinstate your null and void license or registration, you must provide proof of completing the following continuing education hours: Ninety days prior to expiration of. Starting the second renewal, a florida real estate licensee will need to. Section 455.271(6)(b), florida statutes, allows the department to reinstate a null and void license, at its discretion, if the department. Once a license expires, it becomes null and void without any further action by the commission or department. The florida real estate commission may reinstate the license of an individual whose license has become null and void if the commission. A null and void license can be reinstated; A license becomes null and void after a licensee fails to renew the license for two consecutive licensure cycles. However, you must complete a reinstate null and void application, pay the. Failing to do so, will automatically make the license null and void.
from www.mlscampus.com
However, you must complete a reinstate null and void application, pay the. To reinstate your null and void license or registration, you must provide proof of completing the following continuing education hours: Yes, by filing an application and submitting applicable fees,. Failing to do so, will automatically make the license null and void. The florida real estate commission may reinstate the license of an individual whose license has become null and void if the commission. Starting the second renewal, a florida real estate licensee will need to. Ninety days prior to expiration of. A null and void license can be reinstated; Once a license expires, it becomes null and void without any further action by the commission or department. A license becomes null and void after a licensee fails to renew the license for two consecutive licensure cycles.
How to Get Florida Real Estate License MLS Campus
Florida Real Estate License Null And Void Starting the second renewal, a florida real estate licensee will need to. A license becomes null and void after a licensee fails to renew the license for two consecutive licensure cycles. Failing to do so, will automatically make the license null and void. However, you must complete a reinstate null and void application, pay the. Starting the second renewal, a florida real estate licensee will need to. A null and void license can be reinstated; If my real estate license is null & void can i reapply for the license? Section 455.271(6)(b), florida statutes, allows the department to reinstate a null and void license, at its discretion, if the department. Yes, by filing an application and submitting applicable fees,. The florida real estate commission may reinstate the license of an individual whose license has become null and void if the commission. Once a license expires, it becomes null and void without any further action by the commission or department. To reinstate your null and void license or registration, you must provide proof of completing the following continuing education hours: Ninety days prior to expiration of.
From www.realestatelicensetraining.com
How To Get Your Real Estate License In Florida Online Florida Real Estate License Null And Void If my real estate license is null & void can i reapply for the license? To reinstate your null and void license or registration, you must provide proof of completing the following continuing education hours: However, you must complete a reinstate null and void application, pay the. Section 455.271(6)(b), florida statutes, allows the department to reinstate a null and void. Florida Real Estate License Null And Void.
From slideplayer.com
Florida Real Estate Principles, Practices & Law 40th Edition ppt download Florida Real Estate License Null And Void Failing to do so, will automatically make the license null and void. Starting the second renewal, a florida real estate licensee will need to. Yes, by filing an application and submitting applicable fees,. Ninety days prior to expiration of. Section 455.271(6)(b), florida statutes, allows the department to reinstate a null and void license, at its discretion, if the department. A. Florida Real Estate License Null And Void.
From www.templateroller.com
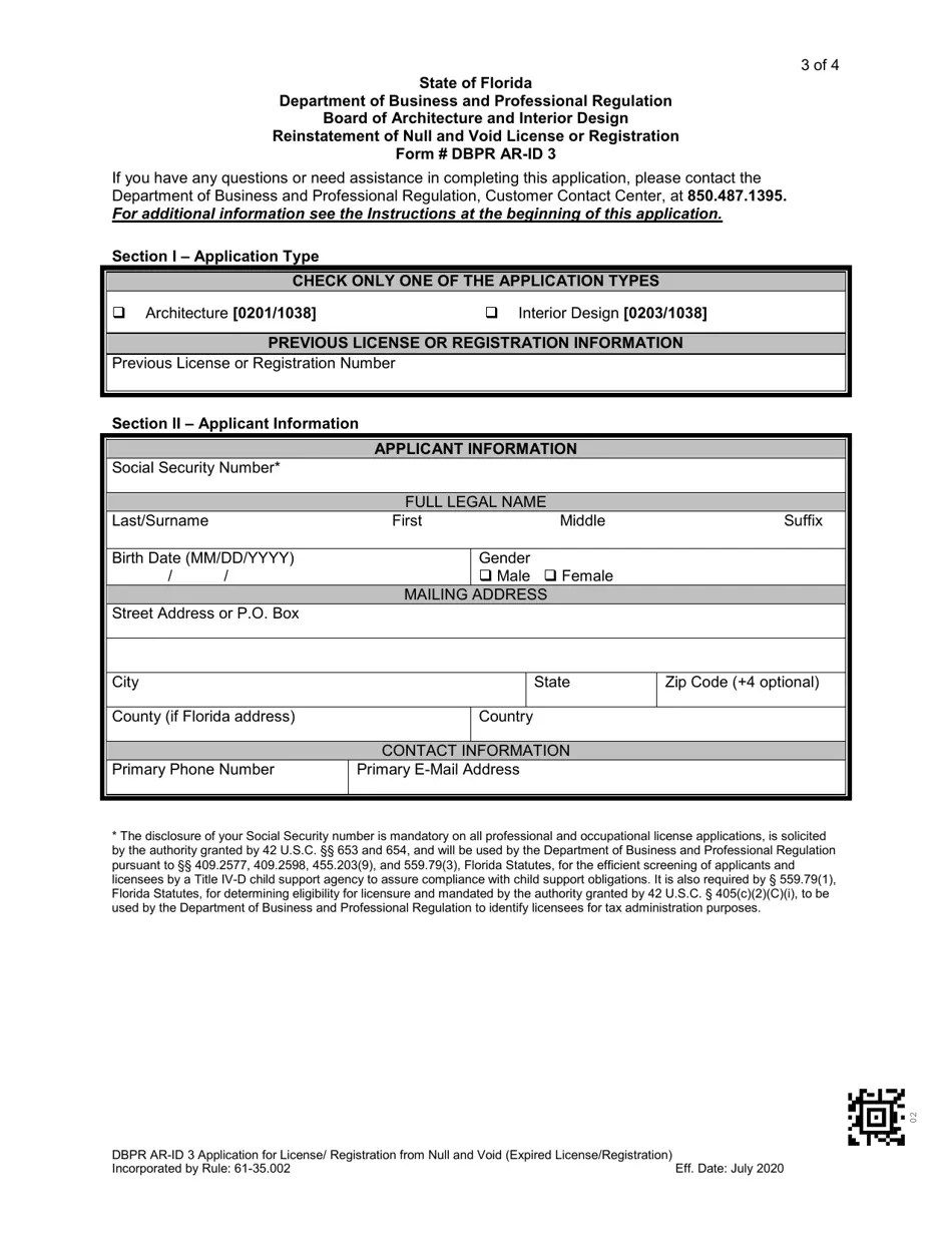
Form DBPR ARID3 Download Printable PDF or Fill Online Reinstatement of Florida Real Estate License Null And Void Once a license expires, it becomes null and void without any further action by the commission or department. Failing to do so, will automatically make the license null and void. A null and void license can be reinstated; If my real estate license is null & void can i reapply for the license? To reinstate your null and void license. Florida Real Estate License Null And Void.
From www.youtube.com
Rowlett Real Estate School Null and Void License Florida Real Florida Real Estate License Null And Void Section 455.271(6)(b), florida statutes, allows the department to reinstate a null and void license, at its discretion, if the department. Failing to do so, will automatically make the license null and void. Once a license expires, it becomes null and void without any further action by the commission or department. The florida real estate commission may reinstate the license of. Florida Real Estate License Null And Void.
From www.templateroller.com
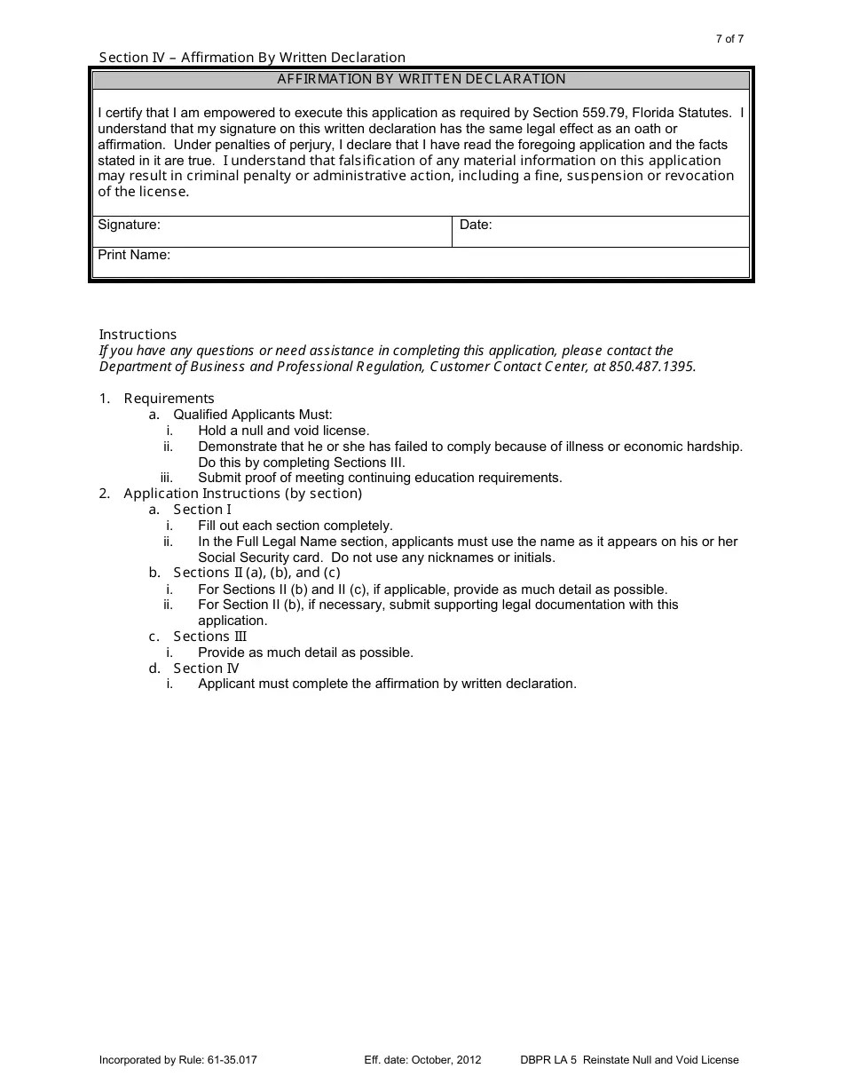
Form DBPR LA5 Fill Out, Sign Online and Download Printable PDF Florida Real Estate License Null And Void The florida real estate commission may reinstate the license of an individual whose license has become null and void if the commission. Once a license expires, it becomes null and void without any further action by the commission or department. Yes, by filing an application and submitting applicable fees,. Starting the second renewal, a florida real estate licensee will need. Florida Real Estate License Null And Void.
From interestinges.blogspot.com
florida real estate license Florida Real Estate License Null And Void Failing to do so, will automatically make the license null and void. If my real estate license is null & void can i reapply for the license? A null and void license can be reinstated; Ninety days prior to expiration of. The florida real estate commission may reinstate the license of an individual whose license has become null and void. Florida Real Estate License Null And Void.
From www.templateroller.com
Form DBPR LA5 Fill Out, Sign Online and Download Printable PDF Florida Real Estate License Null And Void A null and void license can be reinstated; Once a license expires, it becomes null and void without any further action by the commission or department. If my real estate license is null & void can i reapply for the license? Failing to do so, will automatically make the license null and void. However, you must complete a reinstate null. Florida Real Estate License Null And Void.
From yourhomeplusreferralbrokerage.com
The Florida Real Estate License Status Explained Florida Real Estate License Null And Void If my real estate license is null & void can i reapply for the license? Failing to do so, will automatically make the license null and void. The florida real estate commission may reinstate the license of an individual whose license has become null and void if the commission. Ninety days prior to expiration of. Yes, by filing an application. Florida Real Estate License Null And Void.
From www.hauseit.com
Florida Real Estate Agent Continuing Education Requirements Florida Real Estate License Null And Void Ninety days prior to expiration of. To reinstate your null and void license or registration, you must provide proof of completing the following continuing education hours: Yes, by filing an application and submitting applicable fees,. A license becomes null and void after a licensee fails to renew the license for two consecutive licensure cycles. If my real estate license is. Florida Real Estate License Null And Void.
From www.templateroller.com
Form DBPR CPA9 Download Printable PDF or Fill Online Reinstatement of a Florida Real Estate License Null And Void However, you must complete a reinstate null and void application, pay the. To reinstate your null and void license or registration, you must provide proof of completing the following continuing education hours: Ninety days prior to expiration of. The florida real estate commission may reinstate the license of an individual whose license has become null and void if the commission.. Florida Real Estate License Null And Void.
From dxonrvrvn.blob.core.windows.net
How Long To Get A Real Estate License Florida at Mitchell blog Florida Real Estate License Null And Void The florida real estate commission may reinstate the license of an individual whose license has become null and void if the commission. Once a license expires, it becomes null and void without any further action by the commission or department. Failing to do so, will automatically make the license null and void. Section 455.271(6)(b), florida statutes, allows the department to. Florida Real Estate License Null And Void.
From www.templateroller.com
Form DBPR CAM5 Fill Out, Sign Online and Download Printable PDF Florida Real Estate License Null And Void The florida real estate commission may reinstate the license of an individual whose license has become null and void if the commission. A null and void license can be reinstated; Failing to do so, will automatically make the license null and void. A license becomes null and void after a licensee fails to renew the license for two consecutive licensure. Florida Real Estate License Null And Void.
From www.flcaa.com
4 Steps to Get a Florida Real Estate License 2024 Requirements Florida Real Estate License Null And Void If my real estate license is null & void can i reapply for the license? To reinstate your null and void license or registration, you must provide proof of completing the following continuing education hours: The florida real estate commission may reinstate the license of an individual whose license has become null and void if the commission. Ninety days prior. Florida Real Estate License Null And Void.
From ecurrencythailand.com
What Will Happen If A Florida Real Estate Licensee Fails To Timely Florida Real Estate License Null And Void If my real estate license is null & void can i reapply for the license? Ninety days prior to expiration of. Starting the second renewal, a florida real estate licensee will need to. Once a license expires, it becomes null and void without any further action by the commission or department. A license becomes null and void after a licensee. Florida Real Estate License Null And Void.
From www.360training.com
Florida Real Estate License Requirements an Agent Florida Real Estate License Null And Void If my real estate license is null & void can i reapply for the license? To reinstate your null and void license or registration, you must provide proof of completing the following continuing education hours: However, you must complete a reinstate null and void application, pay the. Section 455.271(6)(b), florida statutes, allows the department to reinstate a null and void. Florida Real Estate License Null And Void.
From giotxmziy.blob.core.windows.net
How To Verify A Real Estate Agent In Florida at Antonio Gray blog Florida Real Estate License Null And Void A license becomes null and void after a licensee fails to renew the license for two consecutive licensure cycles. If my real estate license is null & void can i reapply for the license? Failing to do so, will automatically make the license null and void. Starting the second renewal, a florida real estate licensee will need to. The florida. Florida Real Estate License Null And Void.
From www.americanreu.net
Florida Real Estate License Course Online American Real Estate University Florida Real Estate License Null And Void Yes, by filing an application and submitting applicable fees,. Ninety days prior to expiration of. If my real estate license is null & void can i reapply for the license? Starting the second renewal, a florida real estate licensee will need to. However, you must complete a reinstate null and void application, pay the. Once a license expires, it becomes. Florida Real Estate License Null And Void.
From www.templateroller.com
Form DBPR ARID3 Download Printable PDF or Fill Online Reinstatement of Florida Real Estate License Null And Void A null and void license can be reinstated; Yes, by filing an application and submitting applicable fees,. Failing to do so, will automatically make the license null and void. Starting the second renewal, a florida real estate licensee will need to. Section 455.271(6)(b), florida statutes, allows the department to reinstate a null and void license, at its discretion, if the. Florida Real Estate License Null And Void.
From exozgqxla.blob.core.windows.net
Real Estate License Number Lookup Florida at Dawn Seawell blog Florida Real Estate License Null And Void However, you must complete a reinstate null and void application, pay the. If my real estate license is null & void can i reapply for the license? To reinstate your null and void license or registration, you must provide proof of completing the following continuing education hours: A license becomes null and void after a licensee fails to renew the. Florida Real Estate License Null And Void.
From www.templateroller.com
Form DBPR AU4161 Fill Out, Sign Online and Download Fillable PDF Florida Real Estate License Null And Void Failing to do so, will automatically make the license null and void. Ninety days prior to expiration of. Section 455.271(6)(b), florida statutes, allows the department to reinstate a null and void license, at its discretion, if the department. Yes, by filing an application and submitting applicable fees,. The florida real estate commission may reinstate the license of an individual whose. Florida Real Estate License Null And Void.
From www.mlscampus.com
How to Get Florida Real Estate License MLS Campus Florida Real Estate License Null And Void However, you must complete a reinstate null and void application, pay the. Starting the second renewal, a florida real estate licensee will need to. A null and void license can be reinstated; A license becomes null and void after a licensee fails to renew the license for two consecutive licensure cycles. Failing to do so, will automatically make the license. Florida Real Estate License Null And Void.
From www.meidilight.com
Understanding the Florida Real Estate License Course Florida Real Estate License Null And Void To reinstate your null and void license or registration, you must provide proof of completing the following continuing education hours: A null and void license can be reinstated; Once a license expires, it becomes null and void without any further action by the commission or department. However, you must complete a reinstate null and void application, pay the. If my. Florida Real Estate License Null And Void.
From www.yumpu.com
PDF Download Florida Real Estate License Exam Prep AllinOne Review Florida Real Estate License Null And Void A license becomes null and void after a licensee fails to renew the license for two consecutive licensure cycles. Yes, by filing an application and submitting applicable fees,. However, you must complete a reinstate null and void application, pay the. Once a license expires, it becomes null and void without any further action by the commission or department. A null. Florida Real Estate License Null And Void.
From www.templateroller.com
Form DBPR CPA9 Fill Out, Sign Online and Download Fillable PDF Florida Real Estate License Null And Void To reinstate your null and void license or registration, you must provide proof of completing the following continuing education hours: Ninety days prior to expiration of. However, you must complete a reinstate null and void application, pay the. The florida real estate commission may reinstate the license of an individual whose license has become null and void if the commission.. Florida Real Estate License Null And Void.
From realestateu.com
Simple Steps on How to Lookup a Florida Real Estate License Real Florida Real Estate License Null And Void A license becomes null and void after a licensee fails to renew the license for two consecutive licensure cycles. However, you must complete a reinstate null and void application, pay the. Section 455.271(6)(b), florida statutes, allows the department to reinstate a null and void license, at its discretion, if the department. Ninety days prior to expiration of. Yes, by filing. Florida Real Estate License Null And Void.
From www.perryrealestatecollege.com
How to get a Real Estate License in Florida? Florida Real Estate License Null And Void Yes, by filing an application and submitting applicable fees,. Section 455.271(6)(b), florida statutes, allows the department to reinstate a null and void license, at its discretion, if the department. If my real estate license is null & void can i reapply for the license? A null and void license can be reinstated; However, you must complete a reinstate null and. Florida Real Estate License Null And Void.
From www.besttamparealestateagents.com
The 7 Steps to Getting Your Florida Real Estate License Florida Real Estate License Null And Void Starting the second renewal, a florida real estate licensee will need to. If my real estate license is null & void can i reapply for the license? However, you must complete a reinstate null and void application, pay the. A null and void license can be reinstated; Failing to do so, will automatically make the license null and void. Once. Florida Real Estate License Null And Void.
From www.templateroller.com
Form DBPR CPA9 Fill Out, Sign Online and Download Fillable PDF Florida Real Estate License Null And Void Section 455.271(6)(b), florida statutes, allows the department to reinstate a null and void license, at its discretion, if the department. Starting the second renewal, a florida real estate licensee will need to. Once a license expires, it becomes null and void without any further action by the commission or department. To reinstate your null and void license or registration, you. Florida Real Estate License Null And Void.
From realestateu.com
Real Estate Licensing in Florida Acquisition to Renewal Real Estate Florida Real Estate License Null And Void A license becomes null and void after a licensee fails to renew the license for two consecutive licensure cycles. The florida real estate commission may reinstate the license of an individual whose license has become null and void if the commission. However, you must complete a reinstate null and void application, pay the. Yes, by filing an application and submitting. Florida Real Estate License Null And Void.
From www.templateroller.com
Form DBPR ARID3 Download Printable PDF or Fill Online Reinstatement of Florida Real Estate License Null And Void The florida real estate commission may reinstate the license of an individual whose license has become null and void if the commission. Ninety days prior to expiration of. A null and void license can be reinstated; Once a license expires, it becomes null and void without any further action by the commission or department. To reinstate your null and void. Florida Real Estate License Null And Void.
From www.templateroller.com
Form DBPR VM6 Download Printable PDF or Fill Online Application to Florida Real Estate License Null And Void Once a license expires, it becomes null and void without any further action by the commission or department. Failing to do so, will automatically make the license null and void. A license becomes null and void after a licensee fails to renew the license for two consecutive licensure cycles. The florida real estate commission may reinstate the license of an. Florida Real Estate License Null And Void.
From www.templateroller.com
Form DBPR LA5 Fill Out, Sign Online and Download Printable PDF Florida Real Estate License Null And Void A null and void license can be reinstated; Failing to do so, will automatically make the license null and void. Section 455.271(6)(b), florida statutes, allows the department to reinstate a null and void license, at its discretion, if the department. Yes, by filing an application and submitting applicable fees,. Ninety days prior to expiration of. To reinstate your null and. Florida Real Estate License Null And Void.
From www.pinterest.com
Florida Real Estate License Florida real estate, Real estate license Florida Real Estate License Null And Void The florida real estate commission may reinstate the license of an individual whose license has become null and void if the commission. A license becomes null and void after a licensee fails to renew the license for two consecutive licensure cycles. However, you must complete a reinstate null and void application, pay the. Ninety days prior to expiration of. Section. Florida Real Estate License Null And Void.
From www.neverjordinary.com
How to Get Your Real Estate License in Florida and the Cost Florida Real Estate License Null And Void A license becomes null and void after a licensee fails to renew the license for two consecutive licensure cycles. To reinstate your null and void license or registration, you must provide proof of completing the following continuing education hours: A null and void license can be reinstated; Failing to do so, will automatically make the license null and void. Once. Florida Real Estate License Null And Void.
From www.templateroller.com
Form DBPR CPA9 Download Printable PDF or Fill Online Reinstatement of a Florida Real Estate License Null And Void If my real estate license is null & void can i reapply for the license? Ninety days prior to expiration of. A null and void license can be reinstated; Section 455.271(6)(b), florida statutes, allows the department to reinstate a null and void license, at its discretion, if the department. Failing to do so, will automatically make the license null and. Florida Real Estate License Null And Void.