Triangle Equation Of Plane . In this section we will derive the vector and scalar equation of a plane. If we imagine a triangle as a function using only the absolute value of $x$ and $y$, a simple triangle can be graphed with the equation: Finding the equation of a plane. Let us learn more about the equations of plane, derivation of these equations, and also check the. The normal vectors \ (\textbf {n}\) and \ (\textbf {n}''\) are mutually perpendicular, so the corresponding planes \ (p\) and \ (p''\) are. \ [ ax + by + cz + d=0,\] where at least one of the numbers \ (a, b,\) and \ ( c\) must be. We also show how to write the equation of a plane from three points that lie in the plane.
from www.ck12.org
Finding the equation of a plane. \ [ ax + by + cz + d=0,\] where at least one of the numbers \ (a, b,\) and \ ( c\) must be. We also show how to write the equation of a plane from three points that lie in the plane. The normal vectors \ (\textbf {n}\) and \ (\textbf {n}''\) are mutually perpendicular, so the corresponding planes \ (p\) and \ (p''\) are. Let us learn more about the equations of plane, derivation of these equations, and also check the. In this section we will derive the vector and scalar equation of a plane. If we imagine a triangle as a function using only the absolute value of $x$ and $y$, a simple triangle can be graphed with the equation:
The Coordinate Plane CK12 Foundation
Triangle Equation Of Plane In this section we will derive the vector and scalar equation of a plane. Finding the equation of a plane. \ [ ax + by + cz + d=0,\] where at least one of the numbers \ (a, b,\) and \ ( c\) must be. The normal vectors \ (\textbf {n}\) and \ (\textbf {n}''\) are mutually perpendicular, so the corresponding planes \ (p\) and \ (p''\) are. In this section we will derive the vector and scalar equation of a plane. Let us learn more about the equations of plane, derivation of these equations, and also check the. If we imagine a triangle as a function using only the absolute value of $x$ and $y$, a simple triangle can be graphed with the equation: We also show how to write the equation of a plane from three points that lie in the plane.
From www.youtube.com
Example Determine the Length of a Side of a Right Triangle Using a Triangle Equation Of Plane If we imagine a triangle as a function using only the absolute value of $x$ and $y$, a simple triangle can be graphed with the equation: We also show how to write the equation of a plane from three points that lie in the plane. In this section we will derive the vector and scalar equation of a plane. Let. Triangle Equation Of Plane.
From www.nagwa.com
Question Video Finding the Area of a Triangle Whose Vertices Are the Triangle Equation Of Plane We also show how to write the equation of a plane from three points that lie in the plane. Let us learn more about the equations of plane, derivation of these equations, and also check the. Finding the equation of a plane. In this section we will derive the vector and scalar equation of a plane. The normal vectors \. Triangle Equation Of Plane.
From www.youtube.com
ACT Math Plane Geometry Triangles (Part 1 of 2) YouTube Triangle Equation Of Plane The normal vectors \ (\textbf {n}\) and \ (\textbf {n}''\) are mutually perpendicular, so the corresponding planes \ (p\) and \ (p''\) are. In this section we will derive the vector and scalar equation of a plane. Let us learn more about the equations of plane, derivation of these equations, and also check the. We also show how to write. Triangle Equation Of Plane.
From www.ck12.org
The Coordinate Plane CK12 Foundation Triangle Equation Of Plane Let us learn more about the equations of plane, derivation of these equations, and also check the. In this section we will derive the vector and scalar equation of a plane. We also show how to write the equation of a plane from three points that lie in the plane. \ [ ax + by + cz + d=0,\] where. Triangle Equation Of Plane.
From www.youtube.com
Equation of a Plane Derivation Using the Dot Product YouTube Triangle Equation Of Plane If we imagine a triangle as a function using only the absolute value of $x$ and $y$, a simple triangle can be graphed with the equation: Finding the equation of a plane. Let us learn more about the equations of plane, derivation of these equations, and also check the. In this section we will derive the vector and scalar equation. Triangle Equation Of Plane.
From mathmonks.com
Vertices of a Triangle Definition, Formula, Theorem, Examples Triangle Equation Of Plane We also show how to write the equation of a plane from three points that lie in the plane. If we imagine a triangle as a function using only the absolute value of $x$ and $y$, a simple triangle can be graphed with the equation: \ [ ax + by + cz + d=0,\] where at least one of the. Triangle Equation Of Plane.
From mathmonks.com
Centroid of a Triangle Definition, Properties, Formulas Triangle Equation Of Plane If we imagine a triangle as a function using only the absolute value of $x$ and $y$, a simple triangle can be graphed with the equation: We also show how to write the equation of a plane from three points that lie in the plane. The normal vectors \ (\textbf {n}\) and \ (\textbf {n}''\) are mutually perpendicular, so the. Triangle Equation Of Plane.
From blogmath123.wordpress.com
Geometry Formulas Triangles Blog Math 123 Triangle Equation Of Plane Finding the equation of a plane. In this section we will derive the vector and scalar equation of a plane. If we imagine a triangle as a function using only the absolute value of $x$ and $y$, a simple triangle can be graphed with the equation: The normal vectors \ (\textbf {n}\) and \ (\textbf {n}''\) are mutually perpendicular, so. Triangle Equation Of Plane.
From www.cuemath.com
Geometry Formulas All Geometry Formulas 2D and 3D Geometry Formulas Triangle Equation Of Plane Finding the equation of a plane. The normal vectors \ (\textbf {n}\) and \ (\textbf {n}''\) are mutually perpendicular, so the corresponding planes \ (p\) and \ (p''\) are. Let us learn more about the equations of plane, derivation of these equations, and also check the. If we imagine a triangle as a function using only the absolute value of. Triangle Equation Of Plane.
From www.youtube.com
7.6 Solve Right Triangles on the Coordinate Plane YouTube Triangle Equation Of Plane \ [ ax + by + cz + d=0,\] where at least one of the numbers \ (a, b,\) and \ ( c\) must be. In this section we will derive the vector and scalar equation of a plane. Let us learn more about the equations of plane, derivation of these equations, and also check the. We also show how. Triangle Equation Of Plane.
From intomath.org
Lesson 5 Right Triangle Trigonometry. Trig ratios IntoMath Triangle Equation Of Plane Finding the equation of a plane. The normal vectors \ (\textbf {n}\) and \ (\textbf {n}''\) are mutually perpendicular, so the corresponding planes \ (p\) and \ (p''\) are. If we imagine a triangle as a function using only the absolute value of $x$ and $y$, a simple triangle can be graphed with the equation: In this section we will. Triangle Equation Of Plane.
From www.youtube.com
Triangle Angle Relationships and Equations YouTube Triangle Equation Of Plane \ [ ax + by + cz + d=0,\] where at least one of the numbers \ (a, b,\) and \ ( c\) must be. Finding the equation of a plane. The normal vectors \ (\textbf {n}\) and \ (\textbf {n}''\) are mutually perpendicular, so the corresponding planes \ (p\) and \ (p''\) are. If we imagine a triangle as. Triangle Equation Of Plane.
From studylistswinery.z14.web.core.windows.net
Formulas Of Triangle Triangle Equation Of Plane Finding the equation of a plane. The normal vectors \ (\textbf {n}\) and \ (\textbf {n}''\) are mutually perpendicular, so the corresponding planes \ (p\) and \ (p''\) are. If we imagine a triangle as a function using only the absolute value of $x$ and $y$, a simple triangle can be graphed with the equation: Let us learn more about. Triangle Equation Of Plane.
From www.docsity.com
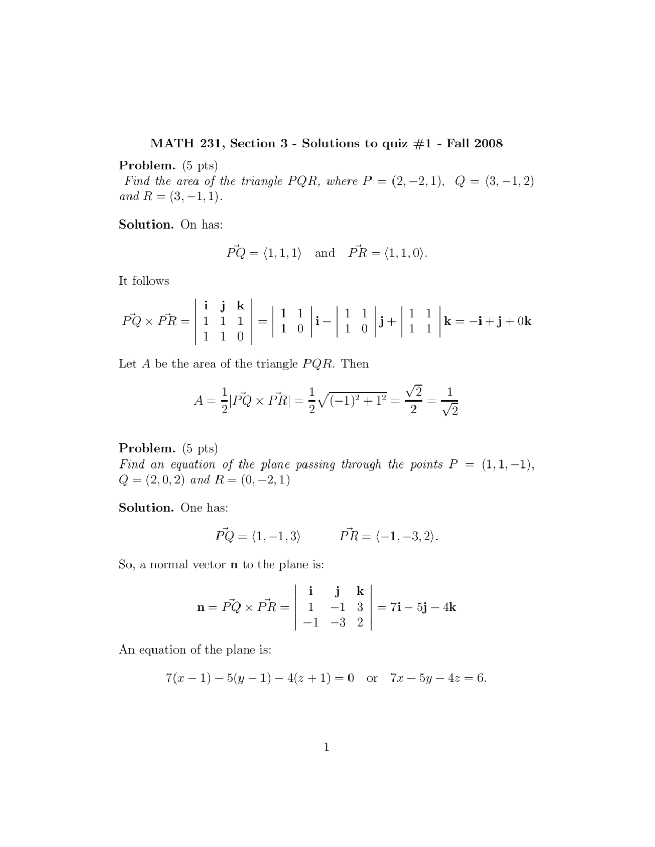
Find Area of Triangle, Equation of Plane Quiz Solution MATH 231 Triangle Equation Of Plane In this section we will derive the vector and scalar equation of a plane. If we imagine a triangle as a function using only the absolute value of $x$ and $y$, a simple triangle can be graphed with the equation: \ [ ax + by + cz + d=0,\] where at least one of the numbers \ (a, b,\) and. Triangle Equation Of Plane.
From www.nagwa.com
Question Video Finding the Equation of a Plane Cutting the Coordinate Triangle Equation Of Plane We also show how to write the equation of a plane from three points that lie in the plane. In this section we will derive the vector and scalar equation of a plane. Let us learn more about the equations of plane, derivation of these equations, and also check the. \ [ ax + by + cz + d=0,\] where. Triangle Equation Of Plane.
From www.teachoo.com
Misc 7 Find area of triangle formed by y x = 0, x + y = 0 Triangle Equation Of Plane Finding the equation of a plane. We also show how to write the equation of a plane from three points that lie in the plane. If we imagine a triangle as a function using only the absolute value of $x$ and $y$, a simple triangle can be graphed with the equation: The normal vectors \ (\textbf {n}\) and \ (\textbf. Triangle Equation Of Plane.
From mungfali.com
Trigonometry Cartesian Plane Triangle Equation Of Plane Let us learn more about the equations of plane, derivation of these equations, and also check the. In this section we will derive the vector and scalar equation of a plane. \ [ ax + by + cz + d=0,\] where at least one of the numbers \ (a, b,\) and \ ( c\) must be. The normal vectors \. Triangle Equation Of Plane.
From learningschoollydia.z13.web.core.windows.net
Equation For A Triangle Triangle Equation Of Plane If we imagine a triangle as a function using only the absolute value of $x$ and $y$, a simple triangle can be graphed with the equation: The normal vectors \ (\textbf {n}\) and \ (\textbf {n}''\) are mutually perpendicular, so the corresponding planes \ (p\) and \ (p''\) are. Finding the equation of a plane. In this section we will. Triangle Equation Of Plane.
From www.animalia-life.club
Right Angled Triangle Formula Triangle Equation Of Plane Finding the equation of a plane. The normal vectors \ (\textbf {n}\) and \ (\textbf {n}''\) are mutually perpendicular, so the corresponding planes \ (p\) and \ (p''\) are. If we imagine a triangle as a function using only the absolute value of $x$ and $y$, a simple triangle can be graphed with the equation: We also show how to. Triangle Equation Of Plane.
From stemathic.wordpress.com
Plane Analytic Geometry Formulas STEMathics Triangle Equation Of Plane We also show how to write the equation of a plane from three points that lie in the plane. The normal vectors \ (\textbf {n}\) and \ (\textbf {n}''\) are mutually perpendicular, so the corresponding planes \ (p\) and \ (p''\) are. In this section we will derive the vector and scalar equation of a plane. If we imagine a. Triangle Equation Of Plane.
From www.alamy.com
Triangle formula. Geometry shapes and areas with formulas illustration Triangle Equation Of Plane We also show how to write the equation of a plane from three points that lie in the plane. In this section we will derive the vector and scalar equation of a plane. \ [ ax + by + cz + d=0,\] where at least one of the numbers \ (a, b,\) and \ ( c\) must be. If we. Triangle Equation Of Plane.
From lessonfullantje.z19.web.core.windows.net
Equation Of A Triangle Triangle Equation Of Plane If we imagine a triangle as a function using only the absolute value of $x$ and $y$, a simple triangle can be graphed with the equation: Let us learn more about the equations of plane, derivation of these equations, and also check the. The normal vectors \ (\textbf {n}\) and \ (\textbf {n}''\) are mutually perpendicular, so the corresponding planes. Triangle Equation Of Plane.
From blogmath123.wordpress.com
Geometry Formulas Triangles Blog Math 123 Triangle Equation Of Plane If we imagine a triangle as a function using only the absolute value of $x$ and $y$, a simple triangle can be graphed with the equation: \ [ ax + by + cz + d=0,\] where at least one of the numbers \ (a, b,\) and \ ( c\) must be. We also show how to write the equation of. Triangle Equation Of Plane.
From owlcation.com
How to Calculate the Sides and Angles of Triangles Using Pythagoras Triangle Equation Of Plane \ [ ax + by + cz + d=0,\] where at least one of the numbers \ (a, b,\) and \ ( c\) must be. We also show how to write the equation of a plane from three points that lie in the plane. If we imagine a triangle as a function using only the absolute value of $x$ and. Triangle Equation Of Plane.
From www.youtube.com
Right Triangle Equations in Physics YouTube Triangle Equation Of Plane Finding the equation of a plane. The normal vectors \ (\textbf {n}\) and \ (\textbf {n}''\) are mutually perpendicular, so the corresponding planes \ (p\) and \ (p''\) are. In this section we will derive the vector and scalar equation of a plane. Let us learn more about the equations of plane, derivation of these equations, and also check the.. Triangle Equation Of Plane.
From owlcation.com
A Full Guide to the 306090 Triangle (With Formulas and Examples Triangle Equation Of Plane In this section we will derive the vector and scalar equation of a plane. Let us learn more about the equations of plane, derivation of these equations, and also check the. The normal vectors \ (\textbf {n}\) and \ (\textbf {n}''\) are mutually perpendicular, so the corresponding planes \ (p\) and \ (p''\) are. We also show how to write. Triangle Equation Of Plane.
From www.geeksforgeeks.org
Area of a Triangle in Coordinate Geometry Triangle Equation Of Plane \ [ ax + by + cz + d=0,\] where at least one of the numbers \ (a, b,\) and \ ( c\) must be. We also show how to write the equation of a plane from three points that lie in the plane. Let us learn more about the equations of plane, derivation of these equations, and also check. Triangle Equation Of Plane.
From www.youtube.com
Area of a Triangle in Coordinate Geometry YouTube Triangle Equation Of Plane In this section we will derive the vector and scalar equation of a plane. The normal vectors \ (\textbf {n}\) and \ (\textbf {n}''\) are mutually perpendicular, so the corresponding planes \ (p\) and \ (p''\) are. If we imagine a triangle as a function using only the absolute value of $x$ and $y$, a simple triangle can be graphed. Triangle Equation Of Plane.
From mathibayon.blogspot.com
Mensuration Formulas of the Triangles MATHibayon Engineering Math Help Triangle Equation Of Plane Let us learn more about the equations of plane, derivation of these equations, and also check the. The normal vectors \ (\textbf {n}\) and \ (\textbf {n}''\) are mutually perpendicular, so the corresponding planes \ (p\) and \ (p''\) are. \ [ ax + by + cz + d=0,\] where at least one of the numbers \ (a, b,\) and. Triangle Equation Of Plane.
From thirdspacelearning.com
Trigonometry Formula GCSE Maths Steps & Examples Triangle Equation Of Plane In this section we will derive the vector and scalar equation of a plane. If we imagine a triangle as a function using only the absolute value of $x$ and $y$, a simple triangle can be graphed with the equation: We also show how to write the equation of a plane from three points that lie in the plane. The. Triangle Equation Of Plane.
From www.onlinemathlearning.com
Area Of Triangles Formulas (video lessons, examples, stepbystep Triangle Equation Of Plane Finding the equation of a plane. If we imagine a triangle as a function using only the absolute value of $x$ and $y$, a simple triangle can be graphed with the equation: We also show how to write the equation of a plane from three points that lie in the plane. \ [ ax + by + cz + d=0,\]. Triangle Equation Of Plane.
From owlcation.com
How to Calculate the Sides and Angles of Triangles Using Pythagoras Triangle Equation Of Plane The normal vectors \ (\textbf {n}\) and \ (\textbf {n}''\) are mutually perpendicular, so the corresponding planes \ (p\) and \ (p''\) are. Let us learn more about the equations of plane, derivation of these equations, and also check the. In this section we will derive the vector and scalar equation of a plane. We also show how to write. Triangle Equation Of Plane.
From lessonfullgomez.z21.web.core.windows.net
Triangle Area Equations Triangle Equation Of Plane Let us learn more about the equations of plane, derivation of these equations, and also check the. We also show how to write the equation of a plane from three points that lie in the plane. The normal vectors \ (\textbf {n}\) and \ (\textbf {n}''\) are mutually perpendicular, so the corresponding planes \ (p\) and \ (p''\) are. \. Triangle Equation Of Plane.
From www.youtube.com
Classifying Triangles in the Coordinate Plane YouTube Triangle Equation Of Plane If we imagine a triangle as a function using only the absolute value of $x$ and $y$, a simple triangle can be graphed with the equation: The normal vectors \ (\textbf {n}\) and \ (\textbf {n}''\) are mutually perpendicular, so the corresponding planes \ (p\) and \ (p''\) are. In this section we will derive the vector and scalar equation. Triangle Equation Of Plane.
From forestparkgolfcourse.com
Area of Triangle in Coordinate Geometry Formula Area of Triangle Triangle Equation Of Plane The normal vectors \ (\textbf {n}\) and \ (\textbf {n}''\) are mutually perpendicular, so the corresponding planes \ (p\) and \ (p''\) are. \ [ ax + by + cz + d=0,\] where at least one of the numbers \ (a, b,\) and \ ( c\) must be. Let us learn more about the equations of plane, derivation of these. Triangle Equation Of Plane.