What Counts As Proof Of Residency In Wyoming . The documents must contain your name and current physical. proof of wyoming residency if you do not have a current wyoming driver’s license or a current wyoming identification card,. proof of residency in the us varies by state and is not mandated on a federal level. what documents do i need to provide as proof of residency in wyoming? both the wyoming constitution and wyoming statute require voters in wyoming to be wyoming residents and. Proof of current residence (must present two) note: a guide to meeting residency requirements for hunting, fishing, trapping licenses and preference points in wyoming. Documents such as a lease agreement, utility bills, driver's license, voter. Each state has the right to determine what types of documents it will accept.
from proof-of-residency.cocodoc.com
proof of residency in the us varies by state and is not mandated on a federal level. a guide to meeting residency requirements for hunting, fishing, trapping licenses and preference points in wyoming. what documents do i need to provide as proof of residency in wyoming? Each state has the right to determine what types of documents it will accept. The documents must contain your name and current physical. Documents such as a lease agreement, utility bills, driver's license, voter. Proof of current residence (must present two) note: proof of wyoming residency if you do not have a current wyoming driver’s license or a current wyoming identification card,. both the wyoming constitution and wyoming statute require voters in wyoming to be wyoming residents and.
Proof of Residency Letter Free Examples l CocoDoc
What Counts As Proof Of Residency In Wyoming Proof of current residence (must present two) note: what documents do i need to provide as proof of residency in wyoming? The documents must contain your name and current physical. Proof of current residence (must present two) note: Documents such as a lease agreement, utility bills, driver's license, voter. Each state has the right to determine what types of documents it will accept. a guide to meeting residency requirements for hunting, fishing, trapping licenses and preference points in wyoming. proof of residency in the us varies by state and is not mandated on a federal level. proof of wyoming residency if you do not have a current wyoming driver’s license or a current wyoming identification card,. both the wyoming constitution and wyoming statute require voters in wyoming to be wyoming residents and.
From templatelab.com
36 Proof Of Residency Letters (from Family Member / Landlord) ᐅ TemplateLab What Counts As Proof Of Residency In Wyoming a guide to meeting residency requirements for hunting, fishing, trapping licenses and preference points in wyoming. both the wyoming constitution and wyoming statute require voters in wyoming to be wyoming residents and. Documents such as a lease agreement, utility bills, driver's license, voter. proof of wyoming residency if you do not have a current wyoming driver’s license. What Counts As Proof Of Residency In Wyoming.
From www.typecalendar.com
Free Printable Proof Of Residency Letter Templates [PDF, Word] Examples What Counts As Proof Of Residency In Wyoming a guide to meeting residency requirements for hunting, fishing, trapping licenses and preference points in wyoming. Documents such as a lease agreement, utility bills, driver's license, voter. Proof of current residence (must present two) note: what documents do i need to provide as proof of residency in wyoming? proof of wyoming residency if you do not have. What Counts As Proof Of Residency In Wyoming.
From mungfali.com
Proof Of Residency Form Templates What Counts As Proof Of Residency In Wyoming Documents such as a lease agreement, utility bills, driver's license, voter. proof of wyoming residency if you do not have a current wyoming driver’s license or a current wyoming identification card,. a guide to meeting residency requirements for hunting, fishing, trapping licenses and preference points in wyoming. both the wyoming constitution and wyoming statute require voters in. What Counts As Proof Of Residency In Wyoming.
From www.typecalendar.com
Free Printable Proof Of Residency Letter Templates [PDF, Word] Examples What Counts As Proof Of Residency In Wyoming proof of residency in the us varies by state and is not mandated on a federal level. Proof of current residence (must present two) note: Documents such as a lease agreement, utility bills, driver's license, voter. a guide to meeting residency requirements for hunting, fishing, trapping licenses and preference points in wyoming. Each state has the right to. What Counts As Proof Of Residency In Wyoming.
From www.youtube.com
What counts as proof of residency in Arizona? YouTube What Counts As Proof Of Residency In Wyoming proof of wyoming residency if you do not have a current wyoming driver’s license or a current wyoming identification card,. The documents must contain your name and current physical. Each state has the right to determine what types of documents it will accept. Documents such as a lease agreement, utility bills, driver's license, voter. both the wyoming constitution. What Counts As Proof Of Residency In Wyoming.
From templatelab.com
36 Proof Of Residency Letters (from Family Member / Landlord) ᐅ TemplateLab What Counts As Proof Of Residency In Wyoming a guide to meeting residency requirements for hunting, fishing, trapping licenses and preference points in wyoming. Each state has the right to determine what types of documents it will accept. proof of wyoming residency if you do not have a current wyoming driver’s license or a current wyoming identification card,. Proof of current residence (must present two) note:. What Counts As Proof Of Residency In Wyoming.
From www.typecalendar.com
Free Printable Proof Of Residency Letter Templates [PDF, Word] Examples What Counts As Proof Of Residency In Wyoming proof of wyoming residency if you do not have a current wyoming driver’s license or a current wyoming identification card,. The documents must contain your name and current physical. what documents do i need to provide as proof of residency in wyoming? Proof of current residence (must present two) note: proof of residency in the us varies. What Counts As Proof Of Residency In Wyoming.
From formspal.com
Proof Of Residency From Homeowner PDF Form FormsPal What Counts As Proof Of Residency In Wyoming both the wyoming constitution and wyoming statute require voters in wyoming to be wyoming residents and. The documents must contain your name and current physical. Each state has the right to determine what types of documents it will accept. Documents such as a lease agreement, utility bills, driver's license, voter. proof of wyoming residency if you do not. What Counts As Proof Of Residency In Wyoming.
From www.typecalendar.com
Free Printable Proof Of Residency Letter Templates [PDF, Word] Examples What Counts As Proof Of Residency In Wyoming Proof of current residence (must present two) note: a guide to meeting residency requirements for hunting, fishing, trapping licenses and preference points in wyoming. proof of wyoming residency if you do not have a current wyoming driver’s license or a current wyoming identification card,. Documents such as a lease agreement, utility bills, driver's license, voter. both the. What Counts As Proof Of Residency In Wyoming.
From www.doctemplates.net
20+ Free (Affidavit) Proof of Residency Letter Templates What Counts As Proof Of Residency In Wyoming Each state has the right to determine what types of documents it will accept. proof of wyoming residency if you do not have a current wyoming driver’s license or a current wyoming identification card,. a guide to meeting residency requirements for hunting, fishing, trapping licenses and preference points in wyoming. both the wyoming constitution and wyoming statute. What Counts As Proof Of Residency In Wyoming.
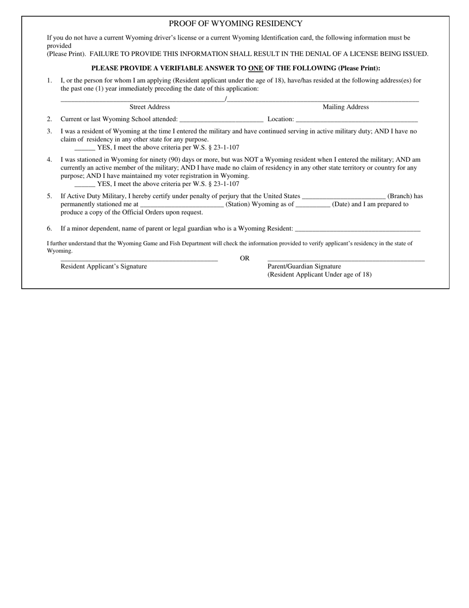
From www.templateroller.com
Wyoming Proof of Wyoming Residency Fill Out, Sign Online and Download What Counts As Proof Of Residency In Wyoming Documents such as a lease agreement, utility bills, driver's license, voter. both the wyoming constitution and wyoming statute require voters in wyoming to be wyoming residents and. proof of residency in the us varies by state and is not mandated on a federal level. a guide to meeting residency requirements for hunting, fishing, trapping licenses and preference. What Counts As Proof Of Residency In Wyoming.
From eforms.com
Free Proof of Residency Letter (Affidavit of Residence) PDF Word What Counts As Proof Of Residency In Wyoming both the wyoming constitution and wyoming statute require voters in wyoming to be wyoming residents and. what documents do i need to provide as proof of residency in wyoming? The documents must contain your name and current physical. proof of residency in the us varies by state and is not mandated on a federal level. Documents such. What Counts As Proof Of Residency In Wyoming.
From www.bizzlibrary.com
Get Your Proof of Residency Letter Now Owner and Resident Options What Counts As Proof Of Residency In Wyoming Proof of current residence (must present two) note: Each state has the right to determine what types of documents it will accept. what documents do i need to provide as proof of residency in wyoming? The documents must contain your name and current physical. both the wyoming constitution and wyoming statute require voters in wyoming to be wyoming. What Counts As Proof Of Residency In Wyoming.
From printableformsfree.com
Printable Proof Of Residency Form Printable Forms Free Online What Counts As Proof Of Residency In Wyoming Documents such as a lease agreement, utility bills, driver's license, voter. The documents must contain your name and current physical. Proof of current residence (must present two) note: a guide to meeting residency requirements for hunting, fishing, trapping licenses and preference points in wyoming. what documents do i need to provide as proof of residency in wyoming? . What Counts As Proof Of Residency In Wyoming.
From www.thesisterworld.com
What Counts as Proof of Residency? Clarifying Common Questions What Counts As Proof Of Residency In Wyoming Documents such as a lease agreement, utility bills, driver's license, voter. Each state has the right to determine what types of documents it will accept. Proof of current residence (must present two) note: proof of residency in the us varies by state and is not mandated on a federal level. a guide to meeting residency requirements for hunting,. What Counts As Proof Of Residency In Wyoming.
From www.templateroller.com
Proof of Residency Letter Template Download Printable PDF Templateroller What Counts As Proof Of Residency In Wyoming proof of wyoming residency if you do not have a current wyoming driver’s license or a current wyoming identification card,. Proof of current residence (must present two) note: a guide to meeting residency requirements for hunting, fishing, trapping licenses and preference points in wyoming. both the wyoming constitution and wyoming statute require voters in wyoming to be. What Counts As Proof Of Residency In Wyoming.
From www.docformats.com
What Counts as Proof of Residency? By State What Counts As Proof Of Residency In Wyoming both the wyoming constitution and wyoming statute require voters in wyoming to be wyoming residents and. Documents such as a lease agreement, utility bills, driver's license, voter. The documents must contain your name and current physical. a guide to meeting residency requirements for hunting, fishing, trapping licenses and preference points in wyoming. proof of wyoming residency if. What Counts As Proof Of Residency In Wyoming.
From classfullfiddlier.z21.web.core.windows.net
Proof Of Residency Letter Sample What Counts As Proof Of Residency In Wyoming proof of wyoming residency if you do not have a current wyoming driver’s license or a current wyoming identification card,. Each state has the right to determine what types of documents it will accept. a guide to meeting residency requirements for hunting, fishing, trapping licenses and preference points in wyoming. Proof of current residence (must present two) note:. What Counts As Proof Of Residency In Wyoming.
From www.typecalendar.com
Free Printable Proof Of Residency Letter Templates [PDF, Word] Examples What Counts As Proof Of Residency In Wyoming The documents must contain your name and current physical. both the wyoming constitution and wyoming statute require voters in wyoming to be wyoming residents and. Documents such as a lease agreement, utility bills, driver's license, voter. Proof of current residence (must present two) note: proof of wyoming residency if you do not have a current wyoming driver’s license. What Counts As Proof Of Residency In Wyoming.
From www.typecalendar.com
Free Printable Proof Of Residency Letter Templates [PDF, Word] Examples What Counts As Proof Of Residency In Wyoming both the wyoming constitution and wyoming statute require voters in wyoming to be wyoming residents and. proof of residency in the us varies by state and is not mandated on a federal level. The documents must contain your name and current physical. a guide to meeting residency requirements for hunting, fishing, trapping licenses and preference points in. What Counts As Proof Of Residency In Wyoming.
From templatelab.com
36 Proof Of Residency Letters (from Family Member / Landlord) ᐅ TemplateLab What Counts As Proof Of Residency In Wyoming Proof of current residence (must present two) note: proof of residency in the us varies by state and is not mandated on a federal level. what documents do i need to provide as proof of residency in wyoming? The documents must contain your name and current physical. Each state has the right to determine what types of documents. What Counts As Proof Of Residency In Wyoming.
From editable-form.com
Our Editable Form For Proof Of Residence Form Is Your Good Luck What Counts As Proof Of Residency In Wyoming Each state has the right to determine what types of documents it will accept. proof of wyoming residency if you do not have a current wyoming driver’s license or a current wyoming identification card,. what documents do i need to provide as proof of residency in wyoming? both the wyoming constitution and wyoming statute require voters in. What Counts As Proof Of Residency In Wyoming.
From templatelab.com
36 Proof Of Residency Letters (from Family Member / Landlord) ᐅ TemplateLab What Counts As Proof Of Residency In Wyoming Each state has the right to determine what types of documents it will accept. proof of wyoming residency if you do not have a current wyoming driver’s license or a current wyoming identification card,. both the wyoming constitution and wyoming statute require voters in wyoming to be wyoming residents and. Proof of current residence (must present two) note:. What Counts As Proof Of Residency In Wyoming.
From thedailykenn.blogspot.com
Wyoming governor vetoes proofofresidency proposal DailyKenn What Counts As Proof Of Residency In Wyoming a guide to meeting residency requirements for hunting, fishing, trapping licenses and preference points in wyoming. Documents such as a lease agreement, utility bills, driver's license, voter. both the wyoming constitution and wyoming statute require voters in wyoming to be wyoming residents and. Proof of current residence (must present two) note: The documents must contain your name and. What Counts As Proof Of Residency In Wyoming.
From eforms.com
Free DMV Proof of Residency (Address) Letter PDF Word eForms What Counts As Proof Of Residency In Wyoming what documents do i need to provide as proof of residency in wyoming? Proof of current residence (must present two) note: The documents must contain your name and current physical. a guide to meeting residency requirements for hunting, fishing, trapping licenses and preference points in wyoming. both the wyoming constitution and wyoming statute require voters in wyoming. What Counts As Proof Of Residency In Wyoming.
From www.usnotarycenter.com
How to apply for IRS Form 6166 Certification of U.S. Tax Residency? What Counts As Proof Of Residency In Wyoming Each state has the right to determine what types of documents it will accept. what documents do i need to provide as proof of residency in wyoming? a guide to meeting residency requirements for hunting, fishing, trapping licenses and preference points in wyoming. The documents must contain your name and current physical. Proof of current residence (must present. What Counts As Proof Of Residency In Wyoming.
From www.typecalendar.com
Free Printable Proof Of Residency Letter Templates [PDF, Word] Examples What Counts As Proof Of Residency In Wyoming both the wyoming constitution and wyoming statute require voters in wyoming to be wyoming residents and. proof of wyoming residency if you do not have a current wyoming driver’s license or a current wyoming identification card,. a guide to meeting residency requirements for hunting, fishing, trapping licenses and preference points in wyoming. The documents must contain your. What Counts As Proof Of Residency In Wyoming.
From www.youtube.com
The Proof of Residence Document Explained. YouTube What Counts As Proof Of Residency In Wyoming Documents such as a lease agreement, utility bills, driver's license, voter. Proof of current residence (must present two) note: proof of wyoming residency if you do not have a current wyoming driver’s license or a current wyoming identification card,. both the wyoming constitution and wyoming statute require voters in wyoming to be wyoming residents and. proof of. What Counts As Proof Of Residency In Wyoming.
From www.bestcollections.org
Free Printable Proof of Residency Letters (Word, PDF) Best Collections What Counts As Proof Of Residency In Wyoming proof of wyoming residency if you do not have a current wyoming driver’s license or a current wyoming identification card,. Proof of current residence (must present two) note: both the wyoming constitution and wyoming statute require voters in wyoming to be wyoming residents and. what documents do i need to provide as proof of residency in wyoming?. What Counts As Proof Of Residency In Wyoming.
From www.typecalendar.com
Free Printable Proof Of Residency Letter Templates [PDF, Word] Examples What Counts As Proof Of Residency In Wyoming Each state has the right to determine what types of documents it will accept. what documents do i need to provide as proof of residency in wyoming? a guide to meeting residency requirements for hunting, fishing, trapping licenses and preference points in wyoming. proof of wyoming residency if you do not have a current wyoming driver’s license. What Counts As Proof Of Residency In Wyoming.
From www.typecalendar.com
Free Printable Proof Of Residency Letter Templates [PDF, Word] Examples What Counts As Proof Of Residency In Wyoming Documents such as a lease agreement, utility bills, driver's license, voter. proof of residency in the us varies by state and is not mandated on a federal level. Each state has the right to determine what types of documents it will accept. a guide to meeting residency requirements for hunting, fishing, trapping licenses and preference points in wyoming.. What Counts As Proof Of Residency In Wyoming.
From www.youtube.com
What counts as proof of residency? YouTube What Counts As Proof Of Residency In Wyoming The documents must contain your name and current physical. proof of residency in the us varies by state and is not mandated on a federal level. Each state has the right to determine what types of documents it will accept. Documents such as a lease agreement, utility bills, driver's license, voter. proof of wyoming residency if you do. What Counts As Proof Of Residency In Wyoming.
From proof-of-residency.cocodoc.com
Proof of Residency Letter Free Examples l CocoDoc What Counts As Proof Of Residency In Wyoming Proof of current residence (must present two) note: Documents such as a lease agreement, utility bills, driver's license, voter. what documents do i need to provide as proof of residency in wyoming? both the wyoming constitution and wyoming statute require voters in wyoming to be wyoming residents and. Each state has the right to determine what types of. What Counts As Proof Of Residency In Wyoming.
From www.pdffiller.com
Proof Of Residency Fill Online, Printable, Fillable, Blank pdfFiller What Counts As Proof Of Residency In Wyoming what documents do i need to provide as proof of residency in wyoming? Each state has the right to determine what types of documents it will accept. a guide to meeting residency requirements for hunting, fishing, trapping licenses and preference points in wyoming. proof of wyoming residency if you do not have a current wyoming driver’s license. What Counts As Proof Of Residency In Wyoming.
From templatelab.com
36 Proof Of Residency Letters (from Family Member / Landlord) ᐅ TemplateLab What Counts As Proof Of Residency In Wyoming a guide to meeting residency requirements for hunting, fishing, trapping licenses and preference points in wyoming. what documents do i need to provide as proof of residency in wyoming? proof of residency in the us varies by state and is not mandated on a federal level. both the wyoming constitution and wyoming statute require voters in. What Counts As Proof Of Residency In Wyoming.