What Is A Confidential Human Source . Introduction to human sources introduces the process of contacting, assessing, handling, coding and remunerating human sources while adhering to case. The “confidential human source policy manual” establishes fbi policy and procedure for the operation and administration of confidential. Many of the fbi’s “confidential human sources” are immigrants, and the bureau has been accused of leveraging immigration status to bend the will of reluctant recruits. The authority for the cbsa to conduct surveillance (annex a) and use confidential human sources (annex b) is derived from the agency's. The attorney general’s guidelines sets forth procedures on the management of informants, including vetting potential informants and. These guidelines apply to the use of a confidential human source in a foreign country only to the extent that confidential human source is reasonably.
from theintercept.com
The authority for the cbsa to conduct surveillance (annex a) and use confidential human sources (annex b) is derived from the agency's. Introduction to human sources introduces the process of contacting, assessing, handling, coding and remunerating human sources while adhering to case. Many of the fbi’s “confidential human sources” are immigrants, and the bureau has been accused of leveraging immigration status to bend the will of reluctant recruits. The “confidential human source policy manual” establishes fbi policy and procedure for the operation and administration of confidential. These guidelines apply to the use of a confidential human source in a foreign country only to the extent that confidential human source is reasonably. The attorney general’s guidelines sets forth procedures on the management of informants, including vetting potential informants and.
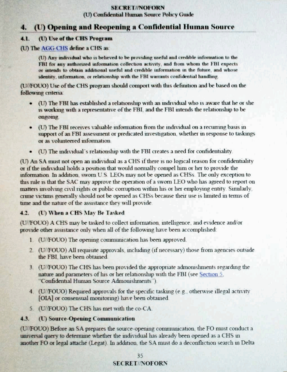
Confidential Human Source Policy Guide The Intercept
What Is A Confidential Human Source The authority for the cbsa to conduct surveillance (annex a) and use confidential human sources (annex b) is derived from the agency's. The attorney general’s guidelines sets forth procedures on the management of informants, including vetting potential informants and. The authority for the cbsa to conduct surveillance (annex a) and use confidential human sources (annex b) is derived from the agency's. These guidelines apply to the use of a confidential human source in a foreign country only to the extent that confidential human source is reasonably. The “confidential human source policy manual” establishes fbi policy and procedure for the operation and administration of confidential. Introduction to human sources introduces the process of contacting, assessing, handling, coding and remunerating human sources while adhering to case. Many of the fbi’s “confidential human sources” are immigrants, and the bureau has been accused of leveraging immigration status to bend the will of reluctant recruits.
From www.hsmtraining.com
Human Sources Managing Confidential Informants The book of how to What Is A Confidential Human Source The authority for the cbsa to conduct surveillance (annex a) and use confidential human sources (annex b) is derived from the agency's. Introduction to human sources introduces the process of contacting, assessing, handling, coding and remunerating human sources while adhering to case. The “confidential human source policy manual” establishes fbi policy and procedure for the operation and administration of confidential.. What Is A Confidential Human Source.
From theintercept.com
Confidential Human Source Policy Guide The Intercept What Is A Confidential Human Source These guidelines apply to the use of a confidential human source in a foreign country only to the extent that confidential human source is reasonably. The “confidential human source policy manual” establishes fbi policy and procedure for the operation and administration of confidential. The attorney general’s guidelines sets forth procedures on the management of informants, including vetting potential informants and.. What Is A Confidential Human Source.
From www.theblackvault.com
Audit of the Federal Bureau of Investigation's Management of its What Is A Confidential Human Source Many of the fbi’s “confidential human sources” are immigrants, and the bureau has been accused of leveraging immigration status to bend the will of reluctant recruits. The attorney general’s guidelines sets forth procedures on the management of informants, including vetting potential informants and. Introduction to human sources introduces the process of contacting, assessing, handling, coding and remunerating human sources while. What Is A Confidential Human Source.
From theintercept.com
Confidential Human Source Policy Guide The Intercept What Is A Confidential Human Source The authority for the cbsa to conduct surveillance (annex a) and use confidential human sources (annex b) is derived from the agency's. These guidelines apply to the use of a confidential human source in a foreign country only to the extent that confidential human source is reasonably. Many of the fbi’s “confidential human sources” are immigrants, and the bureau has. What Is A Confidential Human Source.
From theintercept.com
Confidential Human Source Policy Guide The Intercept What Is A Confidential Human Source These guidelines apply to the use of a confidential human source in a foreign country only to the extent that confidential human source is reasonably. Introduction to human sources introduces the process of contacting, assessing, handling, coding and remunerating human sources while adhering to case. The attorney general’s guidelines sets forth procedures on the management of informants, including vetting potential. What Is A Confidential Human Source.
From theintercept.com
Confidential Human Source Policy Guide The Intercept What Is A Confidential Human Source Introduction to human sources introduces the process of contacting, assessing, handling, coding and remunerating human sources while adhering to case. Many of the fbi’s “confidential human sources” are immigrants, and the bureau has been accused of leveraging immigration status to bend the will of reluctant recruits. These guidelines apply to the use of a confidential human source in a foreign. What Is A Confidential Human Source.
From theintercept.com
Confidential Human Source Policy Guide The Intercept What Is A Confidential Human Source Many of the fbi’s “confidential human sources” are immigrants, and the bureau has been accused of leveraging immigration status to bend the will of reluctant recruits. These guidelines apply to the use of a confidential human source in a foreign country only to the extent that confidential human source is reasonably. The “confidential human source policy manual” establishes fbi policy. What Is A Confidential Human Source.
From theintercept.com
Confidential Human Source Policy Guide The Intercept What Is A Confidential Human Source The authority for the cbsa to conduct surveillance (annex a) and use confidential human sources (annex b) is derived from the agency's. Introduction to human sources introduces the process of contacting, assessing, handling, coding and remunerating human sources while adhering to case. The attorney general’s guidelines sets forth procedures on the management of informants, including vetting potential informants and. Many. What Is A Confidential Human Source.
From theintercept.com
Confidential Human Source Policy Guide The Intercept What Is A Confidential Human Source Introduction to human sources introduces the process of contacting, assessing, handling, coding and remunerating human sources while adhering to case. These guidelines apply to the use of a confidential human source in a foreign country only to the extent that confidential human source is reasonably. The attorney general’s guidelines sets forth procedures on the management of informants, including vetting potential. What Is A Confidential Human Source.
From theintercept.com
Confidential Human Source Policy Guide The Intercept What Is A Confidential Human Source Introduction to human sources introduces the process of contacting, assessing, handling, coding and remunerating human sources while adhering to case. These guidelines apply to the use of a confidential human source in a foreign country only to the extent that confidential human source is reasonably. Many of the fbi’s “confidential human sources” are immigrants, and the bureau has been accused. What Is A Confidential Human Source.
From theintercept.com
Confidential Human Source Policy Guide The Intercept What Is A Confidential Human Source The “confidential human source policy manual” establishes fbi policy and procedure for the operation and administration of confidential. Introduction to human sources introduces the process of contacting, assessing, handling, coding and remunerating human sources while adhering to case. These guidelines apply to the use of a confidential human source in a foreign country only to the extent that confidential human. What Is A Confidential Human Source.
From theintercept.com
Confidential Human Source Policy Guide The Intercept What Is A Confidential Human Source Many of the fbi’s “confidential human sources” are immigrants, and the bureau has been accused of leveraging immigration status to bend the will of reluctant recruits. The “confidential human source policy manual” establishes fbi policy and procedure for the operation and administration of confidential. Introduction to human sources introduces the process of contacting, assessing, handling, coding and remunerating human sources. What Is A Confidential Human Source.
From theintercept.com
Confidential Human Source Policy Guide The Intercept What Is A Confidential Human Source These guidelines apply to the use of a confidential human source in a foreign country only to the extent that confidential human source is reasonably. The “confidential human source policy manual” establishes fbi policy and procedure for the operation and administration of confidential. The authority for the cbsa to conduct surveillance (annex a) and use confidential human sources (annex b). What Is A Confidential Human Source.
From theintercept.com
Confidential Human Source Policy Guide The Intercept What Is A Confidential Human Source The attorney general’s guidelines sets forth procedures on the management of informants, including vetting potential informants and. Many of the fbi’s “confidential human sources” are immigrants, and the bureau has been accused of leveraging immigration status to bend the will of reluctant recruits. The authority for the cbsa to conduct surveillance (annex a) and use confidential human sources (annex b). What Is A Confidential Human Source.
From theintercept.com
Confidential Human Source Policy Guide The Intercept What Is A Confidential Human Source The attorney general’s guidelines sets forth procedures on the management of informants, including vetting potential informants and. Many of the fbi’s “confidential human sources” are immigrants, and the bureau has been accused of leveraging immigration status to bend the will of reluctant recruits. The “confidential human source policy manual” establishes fbi policy and procedure for the operation and administration of. What Is A Confidential Human Source.
From theintercept.com
Confidential Human Source Policy Guide The Intercept What Is A Confidential Human Source Many of the fbi’s “confidential human sources” are immigrants, and the bureau has been accused of leveraging immigration status to bend the will of reluctant recruits. These guidelines apply to the use of a confidential human source in a foreign country only to the extent that confidential human source is reasonably. The attorney general’s guidelines sets forth procedures on the. What Is A Confidential Human Source.
From theintercept.com
Confidential Human Source Policy Guide The Intercept What Is A Confidential Human Source Many of the fbi’s “confidential human sources” are immigrants, and the bureau has been accused of leveraging immigration status to bend the will of reluctant recruits. Introduction to human sources introduces the process of contacting, assessing, handling, coding and remunerating human sources while adhering to case. These guidelines apply to the use of a confidential human source in a foreign. What Is A Confidential Human Source.
From theintercept.com
Confidential Human Source Policy Guide The Intercept What Is A Confidential Human Source The “confidential human source policy manual” establishes fbi policy and procedure for the operation and administration of confidential. Many of the fbi’s “confidential human sources” are immigrants, and the bureau has been accused of leveraging immigration status to bend the will of reluctant recruits. Introduction to human sources introduces the process of contacting, assessing, handling, coding and remunerating human sources. What Is A Confidential Human Source.
From c-vine.com
DOJ OIG Report Audit of the Federal Bureau of Investigation’s What Is A Confidential Human Source The “confidential human source policy manual” establishes fbi policy and procedure for the operation and administration of confidential. Many of the fbi’s “confidential human sources” are immigrants, and the bureau has been accused of leveraging immigration status to bend the will of reluctant recruits. The attorney general’s guidelines sets forth procedures on the management of informants, including vetting potential informants. What Is A Confidential Human Source.
From theintercept.com
Confidential Human Source Policy Guide The Intercept What Is A Confidential Human Source The attorney general’s guidelines sets forth procedures on the management of informants, including vetting potential informants and. These guidelines apply to the use of a confidential human source in a foreign country only to the extent that confidential human source is reasonably. The “confidential human source policy manual” establishes fbi policy and procedure for the operation and administration of confidential.. What Is A Confidential Human Source.
From theintercept.com
Confidential Human Source Policy Guide The Intercept What Is A Confidential Human Source Many of the fbi’s “confidential human sources” are immigrants, and the bureau has been accused of leveraging immigration status to bend the will of reluctant recruits. Introduction to human sources introduces the process of contacting, assessing, handling, coding and remunerating human sources while adhering to case. The authority for the cbsa to conduct surveillance (annex a) and use confidential human. What Is A Confidential Human Source.
From theintercept.com
Confidential Human Source Policy Guide The Intercept What Is A Confidential Human Source The attorney general’s guidelines sets forth procedures on the management of informants, including vetting potential informants and. Many of the fbi’s “confidential human sources” are immigrants, and the bureau has been accused of leveraging immigration status to bend the will of reluctant recruits. These guidelines apply to the use of a confidential human source in a foreign country only to. What Is A Confidential Human Source.
From theintercept.com
Confidential Human Source Policy Guide The Intercept What Is A Confidential Human Source The “confidential human source policy manual” establishes fbi policy and procedure for the operation and administration of confidential. Many of the fbi’s “confidential human sources” are immigrants, and the bureau has been accused of leveraging immigration status to bend the will of reluctant recruits. The authority for the cbsa to conduct surveillance (annex a) and use confidential human sources (annex. What Is A Confidential Human Source.
From theintercept.com
Confidential Human Source Policy Guide The Intercept What Is A Confidential Human Source The authority for the cbsa to conduct surveillance (annex a) and use confidential human sources (annex b) is derived from the agency's. These guidelines apply to the use of a confidential human source in a foreign country only to the extent that confidential human source is reasonably. Many of the fbi’s “confidential human sources” are immigrants, and the bureau has. What Is A Confidential Human Source.
From theintercept.com
Confidential Human Source Policy Guide The Intercept What Is A Confidential Human Source These guidelines apply to the use of a confidential human source in a foreign country only to the extent that confidential human source is reasonably. Many of the fbi’s “confidential human sources” are immigrants, and the bureau has been accused of leveraging immigration status to bend the will of reluctant recruits. The authority for the cbsa to conduct surveillance (annex. What Is A Confidential Human Source.
From theintercept.com
Confidential Human Source Policy Guide The Intercept What Is A Confidential Human Source Introduction to human sources introduces the process of contacting, assessing, handling, coding and remunerating human sources while adhering to case. Many of the fbi’s “confidential human sources” are immigrants, and the bureau has been accused of leveraging immigration status to bend the will of reluctant recruits. The attorney general’s guidelines sets forth procedures on the management of informants, including vetting. What Is A Confidential Human Source.
From theintercept.com
Confidential Human Source Policy Guide The Intercept What Is A Confidential Human Source Introduction to human sources introduces the process of contacting, assessing, handling, coding and remunerating human sources while adhering to case. The “confidential human source policy manual” establishes fbi policy and procedure for the operation and administration of confidential. These guidelines apply to the use of a confidential human source in a foreign country only to the extent that confidential human. What Is A Confidential Human Source.
From theintercept.com
Confidential Human Source Policy Guide The Intercept What Is A Confidential Human Source Introduction to human sources introduces the process of contacting, assessing, handling, coding and remunerating human sources while adhering to case. These guidelines apply to the use of a confidential human source in a foreign country only to the extent that confidential human source is reasonably. The authority for the cbsa to conduct surveillance (annex a) and use confidential human sources. What Is A Confidential Human Source.
From theintercept.com
Confidential Human Source Policy Guide The Intercept What Is A Confidential Human Source These guidelines apply to the use of a confidential human source in a foreign country only to the extent that confidential human source is reasonably. The “confidential human source policy manual” establishes fbi policy and procedure for the operation and administration of confidential. The authority for the cbsa to conduct surveillance (annex a) and use confidential human sources (annex b). What Is A Confidential Human Source.
From theintercept.com
Confidential Human Source Policy Guide The Intercept What Is A Confidential Human Source The authority for the cbsa to conduct surveillance (annex a) and use confidential human sources (annex b) is derived from the agency's. Many of the fbi’s “confidential human sources” are immigrants, and the bureau has been accused of leveraging immigration status to bend the will of reluctant recruits. The attorney general’s guidelines sets forth procedures on the management of informants,. What Is A Confidential Human Source.
From www.scribd.com
IG Report On FBI Confidential Human Sources PDF What Is A Confidential Human Source The authority for the cbsa to conduct surveillance (annex a) and use confidential human sources (annex b) is derived from the agency's. These guidelines apply to the use of a confidential human source in a foreign country only to the extent that confidential human source is reasonably. Many of the fbi’s “confidential human sources” are immigrants, and the bureau has. What Is A Confidential Human Source.
From theintercept.com
Confidential Human Source Policy Guide The Intercept What Is A Confidential Human Source The “confidential human source policy manual” establishes fbi policy and procedure for the operation and administration of confidential. These guidelines apply to the use of a confidential human source in a foreign country only to the extent that confidential human source is reasonably. The attorney general’s guidelines sets forth procedures on the management of informants, including vetting potential informants and.. What Is A Confidential Human Source.
From www.youtube.com
Audit of the FBI’s Management of its Confidential Human Source What Is A Confidential Human Source Many of the fbi’s “confidential human sources” are immigrants, and the bureau has been accused of leveraging immigration status to bend the will of reluctant recruits. The attorney general’s guidelines sets forth procedures on the management of informants, including vetting potential informants and. The authority for the cbsa to conduct surveillance (annex a) and use confidential human sources (annex b). What Is A Confidential Human Source.
From theintercept.com
Confidential Human Source Policy Guide The Intercept What Is A Confidential Human Source Many of the fbi’s “confidential human sources” are immigrants, and the bureau has been accused of leveraging immigration status to bend the will of reluctant recruits. The authority for the cbsa to conduct surveillance (annex a) and use confidential human sources (annex b) is derived from the agency's. These guidelines apply to the use of a confidential human source in. What Is A Confidential Human Source.
From theintercept.com
Confidential Human Source Policy Guide The Intercept What Is A Confidential Human Source The “confidential human source policy manual” establishes fbi policy and procedure for the operation and administration of confidential. The authority for the cbsa to conduct surveillance (annex a) and use confidential human sources (annex b) is derived from the agency's. Many of the fbi’s “confidential human sources” are immigrants, and the bureau has been accused of leveraging immigration status to. What Is A Confidential Human Source.