Mixer Noise Problem . in this article, we will explore the common causes of white noise in mixers, including electrical interference, poor. During normal operation, a kitchenaid mixer will emanate a low humming noise somewhat reminiscent of an airplane. if the mixer blades are not properly maintained, they can wear down or become damaged, which can impact mixing efficiency and batch consistency. the problem could be bad wiring, defective equipment, or just a noisy electronic environment. Whatever the type of noise. If the mixer is making unusual noises, it can be a sign of several problems, such as worn bearings or misaligned components. this is a quick and easy fix for the high frequency noise problem that. address common problems like the mixer not turning on, unusual noises, head wobbling, oil leaks, and inconsistent mixing with the provided solutions. if you believe your kitchenaid mixer is making a buzzing noise, this is most likely a normal operating sound and is not a cause for concern.
from www.chegg.com
this is a quick and easy fix for the high frequency noise problem that. in this article, we will explore the common causes of white noise in mixers, including electrical interference, poor. if you believe your kitchenaid mixer is making a buzzing noise, this is most likely a normal operating sound and is not a cause for concern. If the mixer is making unusual noises, it can be a sign of several problems, such as worn bearings or misaligned components. During normal operation, a kitchenaid mixer will emanate a low humming noise somewhat reminiscent of an airplane. Whatever the type of noise. if the mixer blades are not properly maintained, they can wear down or become damaged, which can impact mixing efficiency and batch consistency. address common problems like the mixer not turning on, unusual noises, head wobbling, oil leaks, and inconsistent mixing with the provided solutions. the problem could be bad wiring, defective equipment, or just a noisy electronic environment.
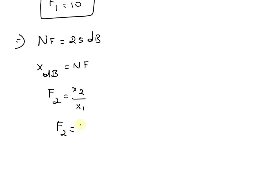
Solved Home Work A mixer stage has a noise figure of 20 dB.
Mixer Noise Problem Whatever the type of noise. in this article, we will explore the common causes of white noise in mixers, including electrical interference, poor. Whatever the type of noise. address common problems like the mixer not turning on, unusual noises, head wobbling, oil leaks, and inconsistent mixing with the provided solutions. this is a quick and easy fix for the high frequency noise problem that. During normal operation, a kitchenaid mixer will emanate a low humming noise somewhat reminiscent of an airplane. if the mixer blades are not properly maintained, they can wear down or become damaged, which can impact mixing efficiency and batch consistency. the problem could be bad wiring, defective equipment, or just a noisy electronic environment. if you believe your kitchenaid mixer is making a buzzing noise, this is most likely a normal operating sound and is not a cause for concern. If the mixer is making unusual noises, it can be a sign of several problems, such as worn bearings or misaligned components.
From www.youtube.com
mixer grinder Tej sound karne ka problem /how to solve / how to repair Mixer Noise Problem During normal operation, a kitchenaid mixer will emanate a low humming noise somewhat reminiscent of an airplane. in this article, we will explore the common causes of white noise in mixers, including electrical interference, poor. if the mixer blades are not properly maintained, they can wear down or become damaged, which can impact mixing efficiency and batch consistency.. Mixer Noise Problem.
From www.youtube.com
№169 Mixer sound 10 hours. Sound for sleep. Noise for sleep. Sleep Mixer Noise Problem this is a quick and easy fix for the high frequency noise problem that. if the mixer blades are not properly maintained, they can wear down or become damaged, which can impact mixing efficiency and batch consistency. If the mixer is making unusual noises, it can be a sign of several problems, such as worn bearings or misaligned. Mixer Noise Problem.
From www.researchgate.net
Contribution of the mixer noise figure to the total receiver noise Mixer Noise Problem address common problems like the mixer not turning on, unusual noises, head wobbling, oil leaks, and inconsistent mixing with the provided solutions. if you believe your kitchenaid mixer is making a buzzing noise, this is most likely a normal operating sound and is not a cause for concern. the problem could be bad wiring, defective equipment, or. Mixer Noise Problem.
From www.alamy.com
Mixer sound control in festival music. blurred people Stock Photo Alamy Mixer Noise Problem Whatever the type of noise. if you believe your kitchenaid mixer is making a buzzing noise, this is most likely a normal operating sound and is not a cause for concern. During normal operation, a kitchenaid mixer will emanate a low humming noise somewhat reminiscent of an airplane. if the mixer blades are not properly maintained, they can. Mixer Noise Problem.
From thehometome.com
How To Fix KitchenAid Mixer Making Noise Issues The Home Tome Mixer Noise Problem the problem could be bad wiring, defective equipment, or just a noisy electronic environment. During normal operation, a kitchenaid mixer will emanate a low humming noise somewhat reminiscent of an airplane. this is a quick and easy fix for the high frequency noise problem that. If the mixer is making unusual noises, it can be a sign of. Mixer Noise Problem.
From www.musicianonamission.com
Audio Signal Flow What It Is and How to Use It Mixer Noise Problem if you believe your kitchenaid mixer is making a buzzing noise, this is most likely a normal operating sound and is not a cause for concern. If the mixer is making unusual noises, it can be a sign of several problems, such as worn bearings or misaligned components. the problem could be bad wiring, defective equipment, or just. Mixer Noise Problem.
From www.youtube.com
How to Repair A Noise Mixer YouTube Mixer Noise Problem During normal operation, a kitchenaid mixer will emanate a low humming noise somewhat reminiscent of an airplane. If the mixer is making unusual noises, it can be a sign of several problems, such as worn bearings or misaligned components. this is a quick and easy fix for the high frequency noise problem that. in this article, we will. Mixer Noise Problem.
From studylib.net
Mixer Noise and Design Mixer Noise Problem During normal operation, a kitchenaid mixer will emanate a low humming noise somewhat reminiscent of an airplane. if the mixer blades are not properly maintained, they can wear down or become damaged, which can impact mixing efficiency and batch consistency. address common problems like the mixer not turning on, unusual noises, head wobbling, oil leaks, and inconsistent mixing. Mixer Noise Problem.
From www.backstage.com
How to Choose an Audio Mixer Sound Mixer Types & Options Backstage Mixer Noise Problem Whatever the type of noise. If the mixer is making unusual noises, it can be a sign of several problems, such as worn bearings or misaligned components. the problem could be bad wiring, defective equipment, or just a noisy electronic environment. in this article, we will explore the common causes of white noise in mixers, including electrical interference,. Mixer Noise Problem.
From www.youtube.com
Mixer Recording Crack problem How to Fix Mixer recording crack problem Mixer Noise Problem If the mixer is making unusual noises, it can be a sign of several problems, such as worn bearings or misaligned components. Whatever the type of noise. address common problems like the mixer not turning on, unusual noises, head wobbling, oil leaks, and inconsistent mixing with the provided solutions. the problem could be bad wiring, defective equipment, or. Mixer Noise Problem.
From www.rockvilleaudio.com
What is a Mixer? How do I use one? Rockville University Ep. 2 Mixer Noise Problem If the mixer is making unusual noises, it can be a sign of several problems, such as worn bearings or misaligned components. this is a quick and easy fix for the high frequency noise problem that. the problem could be bad wiring, defective equipment, or just a noisy electronic environment. if the mixer blades are not properly. Mixer Noise Problem.
From ww2.mathworks.cn
and Noise in Idealized Baseband Mixer Block MATLAB Mixer Noise Problem in this article, we will explore the common causes of white noise in mixers, including electrical interference, poor. if you believe your kitchenaid mixer is making a buzzing noise, this is most likely a normal operating sound and is not a cause for concern. During normal operation, a kitchenaid mixer will emanate a low humming noise somewhat reminiscent. Mixer Noise Problem.
From www.youtube.com
MIXER BEHRINGER RX1202FX KERUSAKAN TIMBUL NOISE YouTube Mixer Noise Problem the problem could be bad wiring, defective equipment, or just a noisy electronic environment. Whatever the type of noise. this is a quick and easy fix for the high frequency noise problem that. if you believe your kitchenaid mixer is making a buzzing noise, this is most likely a normal operating sound and is not a cause. Mixer Noise Problem.
From customkitchenhome.com
Kitchenaid Mixer Noise Repair Custom Kitchen Home Mixer Noise Problem During normal operation, a kitchenaid mixer will emanate a low humming noise somewhat reminiscent of an airplane. address common problems like the mixer not turning on, unusual noises, head wobbling, oil leaks, and inconsistent mixing with the provided solutions. this is a quick and easy fix for the high frequency noise problem that. if you believe your. Mixer Noise Problem.
From www.numerade.com
SOLVED '5.A mixer stage has a noise figure of 25 dB, and this is Mixer Noise Problem in this article, we will explore the common causes of white noise in mixers, including electrical interference, poor. Whatever the type of noise. this is a quick and easy fix for the high frequency noise problem that. If the mixer is making unusual noises, it can be a sign of several problems, such as worn bearings or misaligned. Mixer Noise Problem.
From www.youtube.com
How to make Noise music Feedback Loops Behringer Mixer Madness Mixer Noise Problem Whatever the type of noise. the problem could be bad wiring, defective equipment, or just a noisy electronic environment. in this article, we will explore the common causes of white noise in mixers, including electrical interference, poor. address common problems like the mixer not turning on, unusual noises, head wobbling, oil leaks, and inconsistent mixing with the. Mixer Noise Problem.
From www.researchgate.net
Exemplary evaluated phase noise curve for the three considered mixers Mixer Noise Problem the problem could be bad wiring, defective equipment, or just a noisy electronic environment. if you believe your kitchenaid mixer is making a buzzing noise, this is most likely a normal operating sound and is not a cause for concern. in this article, we will explore the common causes of white noise in mixers, including electrical interference,. Mixer Noise Problem.
From www.chegg.com
Solved Home Work A mixer stage has a noise figure of 20 dB. Mixer Noise Problem If the mixer is making unusual noises, it can be a sign of several problems, such as worn bearings or misaligned components. if the mixer blades are not properly maintained, they can wear down or become damaged, which can impact mixing efficiency and batch consistency. if you believe your kitchenaid mixer is making a buzzing noise, this is. Mixer Noise Problem.
From windowsreport.com
Volume Mixer Settings Not Saving? 5 Ways to Fix it Mixer Noise Problem this is a quick and easy fix for the high frequency noise problem that. During normal operation, a kitchenaid mixer will emanate a low humming noise somewhat reminiscent of an airplane. address common problems like the mixer not turning on, unusual noises, head wobbling, oil leaks, and inconsistent mixing with the provided solutions. in this article, we. Mixer Noise Problem.
From www.slideserve.com
PPT Chapter 6 Mixers PowerPoint Presentation, free download ID6965304 Mixer Noise Problem the problem could be bad wiring, defective equipment, or just a noisy electronic environment. if you believe your kitchenaid mixer is making a buzzing noise, this is most likely a normal operating sound and is not a cause for concern. this is a quick and easy fix for the high frequency noise problem that. address common. Mixer Noise Problem.
From www.slideserve.com
PPT SIGNAL TO NOISE RATIO CALCULATIONS FOR NOISE RADAR PowerPoint Mixer Noise Problem in this article, we will explore the common causes of white noise in mixers, including electrical interference, poor. If the mixer is making unusual noises, it can be a sign of several problems, such as worn bearings or misaligned components. if you believe your kitchenaid mixer is making a buzzing noise, this is most likely a normal operating. Mixer Noise Problem.
From www.youtube.com
Mixer grinder sound problem mixi sound problem mixi sound repair Mixer Noise Problem the problem could be bad wiring, defective equipment, or just a noisy electronic environment. if you believe your kitchenaid mixer is making a buzzing noise, this is most likely a normal operating sound and is not a cause for concern. If the mixer is making unusual noises, it can be a sign of several problems, such as worn. Mixer Noise Problem.
From www.slideserve.com
PPT Chapter 6 Mixers PowerPoint Presentation, free download ID6965304 Mixer Noise Problem if you believe your kitchenaid mixer is making a buzzing noise, this is most likely a normal operating sound and is not a cause for concern. this is a quick and easy fix for the high frequency noise problem that. in this article, we will explore the common causes of white noise in mixers, including electrical interference,. Mixer Noise Problem.
From www.pinterest.at
Mix Mistakes Great article by Mike Senior from Mix Rescue that helps Mixer Noise Problem During normal operation, a kitchenaid mixer will emanate a low humming noise somewhat reminiscent of an airplane. Whatever the type of noise. if you believe your kitchenaid mixer is making a buzzing noise, this is most likely a normal operating sound and is not a cause for concern. if the mixer blades are not properly maintained, they can. Mixer Noise Problem.
From www.slideserve.com
PPT Chapter 6 Mixers PowerPoint Presentation, free download ID6965304 Mixer Noise Problem If the mixer is making unusual noises, it can be a sign of several problems, such as worn bearings or misaligned components. the problem could be bad wiring, defective equipment, or just a noisy electronic environment. During normal operation, a kitchenaid mixer will emanate a low humming noise somewhat reminiscent of an airplane. in this article, we will. Mixer Noise Problem.
From www.youtube.com
Radio audio problem using 802 mixer. YouTube Mixer Noise Problem During normal operation, a kitchenaid mixer will emanate a low humming noise somewhat reminiscent of an airplane. the problem could be bad wiring, defective equipment, or just a noisy electronic environment. in this article, we will explore the common causes of white noise in mixers, including electrical interference, poor. if the mixer blades are not properly maintained,. Mixer Noise Problem.
From noiseengineering.us
Getting Started Mixers Noise Engineering Mixer Noise Problem If the mixer is making unusual noises, it can be a sign of several problems, such as worn bearings or misaligned components. address common problems like the mixer not turning on, unusual noises, head wobbling, oil leaks, and inconsistent mixing with the provided solutions. Whatever the type of noise. if the mixer blades are not properly maintained, they. Mixer Noise Problem.
From blog.minicircuits.com
A Quick Guide to Mixer Topologies MiniCircuits Blog Mixer Noise Problem If the mixer is making unusual noises, it can be a sign of several problems, such as worn bearings or misaligned components. in this article, we will explore the common causes of white noise in mixers, including electrical interference, poor. if the mixer blades are not properly maintained, they can wear down or become damaged, which can impact. Mixer Noise Problem.
From www.researchgate.net
Efficiency, output noise, and mixer noise vs. LO power for device Al Mixer Noise Problem if you believe your kitchenaid mixer is making a buzzing noise, this is most likely a normal operating sound and is not a cause for concern. If the mixer is making unusual noises, it can be a sign of several problems, such as worn bearings or misaligned components. in this article, we will explore the common causes of. Mixer Noise Problem.
From www.youtube.com
KitchenAid mixer noise 1 YouTube Mixer Noise Problem Whatever the type of noise. During normal operation, a kitchenaid mixer will emanate a low humming noise somewhat reminiscent of an airplane. in this article, we will explore the common causes of white noise in mixers, including electrical interference, poor. this is a quick and easy fix for the high frequency noise problem that. if the mixer. Mixer Noise Problem.
From www.youtube.com
Mixer grinder noise problem how to solve मिक्सर ग्राइंडर की आवाज कैसे Mixer Noise Problem If the mixer is making unusual noises, it can be a sign of several problems, such as worn bearings or misaligned components. in this article, we will explore the common causes of white noise in mixers, including electrical interference, poor. the problem could be bad wiring, defective equipment, or just a noisy electronic environment. if you believe. Mixer Noise Problem.
From www.youtube.com
Mixer Fundamentals 9 Noise Component YouTube Mixer Noise Problem address common problems like the mixer not turning on, unusual noises, head wobbling, oil leaks, and inconsistent mixing with the provided solutions. the problem could be bad wiring, defective equipment, or just a noisy electronic environment. in this article, we will explore the common causes of white noise in mixers, including electrical interference, poor. if the. Mixer Noise Problem.
From www.youtube.com
Audio Mixer Filmora Tutorial YouTube Mixer Noise Problem in this article, we will explore the common causes of white noise in mixers, including electrical interference, poor. During normal operation, a kitchenaid mixer will emanate a low humming noise somewhat reminiscent of an airplane. If the mixer is making unusual noises, it can be a sign of several problems, such as worn bearings or misaligned components. this. Mixer Noise Problem.
From www.youtube.com
New Kitchenaid mixer noise YouTube Mixer Noise Problem if you believe your kitchenaid mixer is making a buzzing noise, this is most likely a normal operating sound and is not a cause for concern. the problem could be bad wiring, defective equipment, or just a noisy electronic environment. address common problems like the mixer not turning on, unusual noises, head wobbling, oil leaks, and inconsistent. Mixer Noise Problem.
From www.microwaves101.com
Microwaves101 Mixer Noise Figure Mixer Noise Problem this is a quick and easy fix for the high frequency noise problem that. the problem could be bad wiring, defective equipment, or just a noisy electronic environment. Whatever the type of noise. address common problems like the mixer not turning on, unusual noises, head wobbling, oil leaks, and inconsistent mixing with the provided solutions. If the. Mixer Noise Problem.