What Is I Hat J Hat K Hat . To take advantage of the method, we need to know the cross product of the cartesian coordinate axis unit vectors \ (\hat {i}\), \ (\hat {j}\) and \ (\hat {k}\) with each other. I just finished learning about vector components in my class, and i was hoping to understand the vector notation i hat, j hat, and k. The third unit vector \(\hat{k}\). We saw that there are standard unit vectors called i, j, and k. You're basically saying that you do not accept the definition $$\hat{i} \times \hat{j}:=\hat{k},$$ or at least do not wish to use.
from www.doubtnut.com
I just finished learning about vector components in my class, and i was hoping to understand the vector notation i hat, j hat, and k. To take advantage of the method, we need to know the cross product of the cartesian coordinate axis unit vectors \ (\hat {i}\), \ (\hat {j}\) and \ (\hat {k}\) with each other. The third unit vector \(\hat{k}\). We saw that there are standard unit vectors called i, j, and k. You're basically saying that you do not accept the definition $$\hat{i} \times \hat{j}:=\hat{k},$$ or at least do not wish to use.
[Malayalam] If vec(a)=hat(i)+hat(j)+hat(k) and vec(b)=2hat(i)+0hat(j)
What Is I Hat J Hat K Hat To take advantage of the method, we need to know the cross product of the cartesian coordinate axis unit vectors \ (\hat {i}\), \ (\hat {j}\) and \ (\hat {k}\) with each other. The third unit vector \(\hat{k}\). I just finished learning about vector components in my class, and i was hoping to understand the vector notation i hat, j hat, and k. We saw that there are standard unit vectors called i, j, and k. You're basically saying that you do not accept the definition $$\hat{i} \times \hat{j}:=\hat{k},$$ or at least do not wish to use. To take advantage of the method, we need to know the cross product of the cartesian coordinate axis unit vectors \ (\hat {i}\), \ (\hat {j}\) and \ (\hat {k}\) with each other.
From exoypyvpw.blob.core.windows.net
What Is I Hat And J Hat at Arthur Lagasse blog What Is I Hat J Hat K Hat You're basically saying that you do not accept the definition $$\hat{i} \times \hat{j}:=\hat{k},$$ or at least do not wish to use. I just finished learning about vector components in my class, and i was hoping to understand the vector notation i hat, j hat, and k. The third unit vector \(\hat{k}\). To take advantage of the method, we need to. What Is I Hat J Hat K Hat.
From www.youtube.com
The angle between the Vector `(hat(i)+hat(j))` and `(hat(j)+hat(k))` is What Is I Hat J Hat K Hat We saw that there are standard unit vectors called i, j, and k. The third unit vector \(\hat{k}\). You're basically saying that you do not accept the definition $$\hat{i} \times \hat{j}:=\hat{k},$$ or at least do not wish to use. To take advantage of the method, we need to know the cross product of the cartesian coordinate axis unit vectors \. What Is I Hat J Hat K Hat.
From www.youtube.com
Let \( \vec{a}=\hat{j}\hat{k} \) and \( \vec{c}=\hat{i}\hat{j}\hat{k What Is I Hat J Hat K Hat To take advantage of the method, we need to know the cross product of the cartesian coordinate axis unit vectors \ (\hat {i}\), \ (\hat {j}\) and \ (\hat {k}\) with each other. I just finished learning about vector components in my class, and i was hoping to understand the vector notation i hat, j hat, and k. You're basically. What Is I Hat J Hat K Hat.
From www.youtube.com
ihat/jhat Vector Addition (1.391.40) YouTube What Is I Hat J Hat K Hat We saw that there are standard unit vectors called i, j, and k. To take advantage of the method, we need to know the cross product of the cartesian coordinate axis unit vectors \ (\hat {i}\), \ (\hat {j}\) and \ (\hat {k}\) with each other. The third unit vector \(\hat{k}\). You're basically saying that you do not accept the. What Is I Hat J Hat K Hat.
From exoypyvpw.blob.core.windows.net
What Is I Hat And J Hat at Arthur Lagasse blog What Is I Hat J Hat K Hat You're basically saying that you do not accept the definition $$\hat{i} \times \hat{j}:=\hat{k},$$ or at least do not wish to use. To take advantage of the method, we need to know the cross product of the cartesian coordinate axis unit vectors \ (\hat {i}\), \ (\hat {j}\) and \ (\hat {k}\) with each other. The third unit vector \(\hat{k}\). I. What Is I Hat J Hat K Hat.
From courses.lumenlearning.com
2.4 Products of Vectors University Physics Volume 1 What Is I Hat J Hat K Hat We saw that there are standard unit vectors called i, j, and k. To take advantage of the method, we need to know the cross product of the cartesian coordinate axis unit vectors \ (\hat {i}\), \ (\hat {j}\) and \ (\hat {k}\) with each other. I just finished learning about vector components in my class, and i was hoping. What Is I Hat J Hat K Hat.
From www.youtube.com
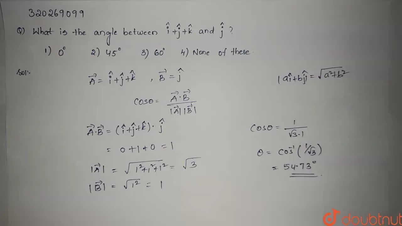
What is the angle between `hat(i) + hat(j) + hat(k) and hat(j)` Class What Is I Hat J Hat K Hat You're basically saying that you do not accept the definition $$\hat{i} \times \hat{j}:=\hat{k},$$ or at least do not wish to use. The third unit vector \(\hat{k}\). To take advantage of the method, we need to know the cross product of the cartesian coordinate axis unit vectors \ (\hat {i}\), \ (\hat {j}\) and \ (\hat {k}\) with each other. I. What Is I Hat J Hat K Hat.
From www.youtube.com
Write the value of `(hat i . (hat j xx hat k) + hat j (hat i xx hat k What Is I Hat J Hat K Hat I just finished learning about vector components in my class, and i was hoping to understand the vector notation i hat, j hat, and k. You're basically saying that you do not accept the definition $$\hat{i} \times \hat{j}:=\hat{k},$$ or at least do not wish to use. To take advantage of the method, we need to know the cross product of. What Is I Hat J Hat K Hat.
From www.doubtnut.com
[Malayalam] If vec(a)=hat(i)+hat(j)+hat(k) and vec(b)=2hat(i)+0hat(j) What Is I Hat J Hat K Hat The third unit vector \(\hat{k}\). We saw that there are standard unit vectors called i, j, and k. You're basically saying that you do not accept the definition $$\hat{i} \times \hat{j}:=\hat{k},$$ or at least do not wish to use. To take advantage of the method, we need to know the cross product of the cartesian coordinate axis unit vectors \. What Is I Hat J Hat K Hat.
From www.youtube.com
Let \( \vec{a}=2 \hat{i}+3 \hat{j}, \vec{b}=\hat{i}+3 \hat{j}+\hat What Is I Hat J Hat K Hat You're basically saying that you do not accept the definition $$\hat{i} \times \hat{j}:=\hat{k},$$ or at least do not wish to use. I just finished learning about vector components in my class, and i was hoping to understand the vector notation i hat, j hat, and k. The third unit vector \(\hat{k}\). To take advantage of the method, we need to. What Is I Hat J Hat K Hat.
From www.toppr.com
If ( vec { a } = 2 hat { i } + hat { j } hat { k } , vec { b } = 4 What Is I Hat J Hat K Hat You're basically saying that you do not accept the definition $$\hat{i} \times \hat{j}:=\hat{k},$$ or at least do not wish to use. To take advantage of the method, we need to know the cross product of the cartesian coordinate axis unit vectors \ (\hat {i}\), \ (\hat {j}\) and \ (\hat {k}\) with each other. We saw that there are standard. What Is I Hat J Hat K Hat.
From www.youtube.com
If \( \hat{i}+2 \hat{j}+3 \hat{k} \) and \( 2 \hat{i}\hat{j}+4 \hat{k What Is I Hat J Hat K Hat We saw that there are standard unit vectors called i, j, and k. I just finished learning about vector components in my class, and i was hoping to understand the vector notation i hat, j hat, and k. To take advantage of the method, we need to know the cross product of the cartesian coordinate axis unit vectors \ (\hat. What Is I Hat J Hat K Hat.
From www.doubtnut.com
यदि vec a = hat i + hat j + hat k और vec b = hat i + 2 hat j + hat k त What Is I Hat J Hat K Hat To take advantage of the method, we need to know the cross product of the cartesian coordinate axis unit vectors \ (\hat {i}\), \ (\hat {j}\) and \ (\hat {k}\) with each other. We saw that there are standard unit vectors called i, j, and k. You're basically saying that you do not accept the definition $$\hat{i} \times \hat{j}:=\hat{k},$$ or. What Is I Hat J Hat K Hat.
From www.youtube.com
Given, two vectors are `hat(i)hat(j) and hat(i)+2hat(j)`, the unit What Is I Hat J Hat K Hat To take advantage of the method, we need to know the cross product of the cartesian coordinate axis unit vectors \ (\hat {i}\), \ (\hat {j}\) and \ (\hat {k}\) with each other. The third unit vector \(\hat{k}\). We saw that there are standard unit vectors called i, j, and k. You're basically saying that you do not accept the. What Is I Hat J Hat K Hat.
From www.doubtnut.com
[Odia] What is the value of (hat i+hat j)×(hat j+hat k).(hat k+hat i)? What Is I Hat J Hat K Hat You're basically saying that you do not accept the definition $$\hat{i} \times \hat{j}:=\hat{k},$$ or at least do not wish to use. To take advantage of the method, we need to know the cross product of the cartesian coordinate axis unit vectors \ (\hat {i}\), \ (\hat {j}\) and \ (\hat {k}\) with each other. I just finished learning about vector. What Is I Hat J Hat K Hat.
From www.youtube.com
The angle between the vectors `(hat i + hat j + hat k)` and `( hat i What Is I Hat J Hat K Hat I just finished learning about vector components in my class, and i was hoping to understand the vector notation i hat, j hat, and k. To take advantage of the method, we need to know the cross product of the cartesian coordinate axis unit vectors \ (\hat {i}\), \ (\hat {j}\) and \ (\hat {k}\) with each other. The third. What Is I Hat J Hat K Hat.
From www.youtube.com
If the vectors \( a=\hat{i}\hat{j}+2 \hat{k}, b=2 \hat{i}+4 \hat{j What Is I Hat J Hat K Hat To take advantage of the method, we need to know the cross product of the cartesian coordinate axis unit vectors \ (\hat {i}\), \ (\hat {j}\) and \ (\hat {k}\) with each other. I just finished learning about vector components in my class, and i was hoping to understand the vector notation i hat, j hat, and k. You're basically. What Is I Hat J Hat K Hat.
From www.youtube.com
The scalar product of the vector \( \hat{i}+\hat{j}+\hat{k} \) with a What Is I Hat J Hat K Hat To take advantage of the method, we need to know the cross product of the cartesian coordinate axis unit vectors \ (\hat {i}\), \ (\hat {j}\) and \ (\hat {k}\) with each other. I just finished learning about vector components in my class, and i was hoping to understand the vector notation i hat, j hat, and k. You're basically. What Is I Hat J Hat K Hat.
From www.doubtnut.com
[Tamil] What is the angle between hat(i) + hat(j) + hat(k) and hat(j) What Is I Hat J Hat K Hat The third unit vector \(\hat{k}\). You're basically saying that you do not accept the definition $$\hat{i} \times \hat{j}:=\hat{k},$$ or at least do not wish to use. To take advantage of the method, we need to know the cross product of the cartesian coordinate axis unit vectors \ (\hat {i}\), \ (\hat {j}\) and \ (\hat {k}\) with each other. We. What Is I Hat J Hat K Hat.
From www.toppr.com
Obtain the magnitude and direction cosines of vector (vec {A} vec {B What Is I Hat J Hat K Hat We saw that there are standard unit vectors called i, j, and k. I just finished learning about vector components in my class, and i was hoping to understand the vector notation i hat, j hat, and k. You're basically saying that you do not accept the definition $$\hat{i} \times \hat{j}:=\hat{k},$$ or at least do not wish to use. The. What Is I Hat J Hat K Hat.
From www.toppr.com
A force vec {F} = 2hat {i} + 3hat {j} + hat {k} acts on a body. The What Is I Hat J Hat K Hat We saw that there are standard unit vectors called i, j, and k. You're basically saying that you do not accept the definition $$\hat{i} \times \hat{j}:=\hat{k},$$ or at least do not wish to use. The third unit vector \(\hat{k}\). To take advantage of the method, we need to know the cross product of the cartesian coordinate axis unit vectors \. What Is I Hat J Hat K Hat.
From www.youtube.com
Equation of the plane that contains the lines `r=(hat(i)+hat(j))+lambda What Is I Hat J Hat K Hat The third unit vector \(\hat{k}\). I just finished learning about vector components in my class, and i was hoping to understand the vector notation i hat, j hat, and k. You're basically saying that you do not accept the definition $$\hat{i} \times \hat{j}:=\hat{k},$$ or at least do not wish to use. We saw that there are standard unit vectors called. What Is I Hat J Hat K Hat.
From www.toppr.com
If vec{u}=(hat{i}+hat{j}hat{k}) and vec{b}=(hat{i}+2hat{j}hat{k What Is I Hat J Hat K Hat I just finished learning about vector components in my class, and i was hoping to understand the vector notation i hat, j hat, and k. The third unit vector \(\hat{k}\). You're basically saying that you do not accept the definition $$\hat{i} \times \hat{j}:=\hat{k},$$ or at least do not wish to use. To take advantage of the method, we need to. What Is I Hat J Hat K Hat.
From www.youtube.com
The vector equation of the plane through the point `hat(i)+2hat(j)hat What Is I Hat J Hat K Hat The third unit vector \(\hat{k}\). You're basically saying that you do not accept the definition $$\hat{i} \times \hat{j}:=\hat{k},$$ or at least do not wish to use. We saw that there are standard unit vectors called i, j, and k. To take advantage of the method, we need to know the cross product of the cartesian coordinate axis unit vectors \. What Is I Hat J Hat K Hat.
From www.youtube.com
Q16. The value of 1 for which two vectors 2 hat i hat j +2 hat k and What Is I Hat J Hat K Hat You're basically saying that you do not accept the definition $$\hat{i} \times \hat{j}:=\hat{k},$$ or at least do not wish to use. We saw that there are standard unit vectors called i, j, and k. I just finished learning about vector components in my class, and i was hoping to understand the vector notation i hat, j hat, and k. The. What Is I Hat J Hat K Hat.
From exoypyvpw.blob.core.windows.net
What Is I Hat And J Hat at Arthur Lagasse blog What Is I Hat J Hat K Hat You're basically saying that you do not accept the definition $$\hat{i} \times \hat{j}:=\hat{k},$$ or at least do not wish to use. I just finished learning about vector components in my class, and i was hoping to understand the vector notation i hat, j hat, and k. The third unit vector \(\hat{k}\). To take advantage of the method, we need to. What Is I Hat J Hat K Hat.
From www.toppr.com
0.7 .2 DT.e vector of length 3 unit which is perpendicular to ( hat What Is I Hat J Hat K Hat The third unit vector \(\hat{k}\). To take advantage of the method, we need to know the cross product of the cartesian coordinate axis unit vectors \ (\hat {i}\), \ (\hat {j}\) and \ (\hat {k}\) with each other. We saw that there are standard unit vectors called i, j, and k. You're basically saying that you do not accept the. What Is I Hat J Hat K Hat.
From www.youtube.com
If vector `hat(i)+hat(j)+hat(k), hat(i)hat(j)+hat(k)` and `2hat(i What Is I Hat J Hat K Hat We saw that there are standard unit vectors called i, j, and k. To take advantage of the method, we need to know the cross product of the cartesian coordinate axis unit vectors \ (\hat {i}\), \ (\hat {j}\) and \ (\hat {k}\) with each other. The third unit vector \(\hat{k}\). You're basically saying that you do not accept the. What Is I Hat J Hat K Hat.
From brainly.in
If vec A = hat i + 3 hat j + 2 hat K and vec B = 3 hat i + hat j + 2 What Is I Hat J Hat K Hat The third unit vector \(\hat{k}\). To take advantage of the method, we need to know the cross product of the cartesian coordinate axis unit vectors \ (\hat {i}\), \ (\hat {j}\) and \ (\hat {k}\) with each other. We saw that there are standard unit vectors called i, j, and k. You're basically saying that you do not accept the. What Is I Hat J Hat K Hat.
From www.toppr.com
18. The value of ( hat { i } . ( hat { j } times hat { k } ) + hat { j What Is I Hat J Hat K Hat To take advantage of the method, we need to know the cross product of the cartesian coordinate axis unit vectors \ (\hat {i}\), \ (\hat {j}\) and \ (\hat {k}\) with each other. I just finished learning about vector components in my class, and i was hoping to understand the vector notation i hat, j hat, and k. We saw. What Is I Hat J Hat K Hat.
From www.doubtnut.com
The three vectors hat i+hat j,hat j+hat k, hat k+hat i taken two at a What Is I Hat J Hat K Hat The third unit vector \(\hat{k}\). To take advantage of the method, we need to know the cross product of the cartesian coordinate axis unit vectors \ (\hat {i}\), \ (\hat {j}\) and \ (\hat {k}\) with each other. You're basically saying that you do not accept the definition $$\hat{i} \times \hat{j}:=\hat{k},$$ or at least do not wish to use. We. What Is I Hat J Hat K Hat.
From www.youtube.com
"Find the unit vector of `4hat(i)3hat(j)+hat(k)`" YouTube What Is I Hat J Hat K Hat I just finished learning about vector components in my class, and i was hoping to understand the vector notation i hat, j hat, and k. To take advantage of the method, we need to know the cross product of the cartesian coordinate axis unit vectors \ (\hat {i}\), \ (\hat {j}\) and \ (\hat {k}\) with each other. The third. What Is I Hat J Hat K Hat.
From www.toppr.com
Let ( a = hat { i } + hat { j } + hat { k } , vec { b } = hat { i What Is I Hat J Hat K Hat You're basically saying that you do not accept the definition $$\hat{i} \times \hat{j}:=\hat{k},$$ or at least do not wish to use. We saw that there are standard unit vectors called i, j, and k. The third unit vector \(\hat{k}\). To take advantage of the method, we need to know the cross product of the cartesian coordinate axis unit vectors \. What Is I Hat J Hat K Hat.
From exoypyvpw.blob.core.windows.net
What Is I Hat And J Hat at Arthur Lagasse blog What Is I Hat J Hat K Hat You're basically saying that you do not accept the definition $$\hat{i} \times \hat{j}:=\hat{k},$$ or at least do not wish to use. I just finished learning about vector components in my class, and i was hoping to understand the vector notation i hat, j hat, and k. We saw that there are standard unit vectors called i, j, and k. To. What Is I Hat J Hat K Hat.
From www.youtube.com
A vector equally inclined to the vectors `hat(i)hat(j)+hat(k) and hat What Is I Hat J Hat K Hat The third unit vector \(\hat{k}\). We saw that there are standard unit vectors called i, j, and k. I just finished learning about vector components in my class, and i was hoping to understand the vector notation i hat, j hat, and k. You're basically saying that you do not accept the definition $$\hat{i} \times \hat{j}:=\hat{k},$$ or at least do. What Is I Hat J Hat K Hat.