Federal Rules Of Civil Procedure Service Of Process . 84 rows find the full text of the federal rules of civil procedure, as amended to december 1, 2023. The rules for service of process in the united states are governed by the federal rules of civil procedure (frcp). Rule 4.1 covers serving and. Find out the requirements, methods, and. Rules of practice and procedure and rules of evidence for cases in the united states district courts (including proceedings before magistrate. The federal rules of civil procedure govern civil proceedings in the united states district courts. Defendants who do this, may get more. Service of process, pleadings, motions and orders. Learn how to serve a summons and complaint on a defendant in a civil action under the federal rules of civil procedure. Learn how to serve and file pleadings and other papers in civil actions under rule 5 of the frcp. These rules outline the procedures for serving legal. The purpose of the federal rules of civil. Federal rules of civil procedure.
from www.bol.com
Federal rules of civil procedure. These rules outline the procedures for serving legal. Rule 4.1 covers serving and. Rules of practice and procedure and rules of evidence for cases in the united states district courts (including proceedings before magistrate. Service of process, pleadings, motions and orders. The purpose of the federal rules of civil. Learn how to serve and file pleadings and other papers in civil actions under rule 5 of the frcp. The federal rules of civil procedure govern civil proceedings in the united states district courts. Learn how to serve a summons and complaint on a defendant in a civil action under the federal rules of civil procedure. Defendants who do this, may get more.
Federal Rule of Civil Procedure With Forms 9781475075694 United
Federal Rules Of Civil Procedure Service Of Process 84 rows find the full text of the federal rules of civil procedure, as amended to december 1, 2023. Defendants who do this, may get more. Rules of practice and procedure and rules of evidence for cases in the united states district courts (including proceedings before magistrate. 84 rows find the full text of the federal rules of civil procedure, as amended to december 1, 2023. The purpose of the federal rules of civil. The rules for service of process in the united states are governed by the federal rules of civil procedure (frcp). The federal rules of civil procedure govern civil proceedings in the united states district courts. Learn how to serve and file pleadings and other papers in civil actions under rule 5 of the frcp. Learn how to serve a summons and complaint on a defendant in a civil action under the federal rules of civil procedure. Rule 4.1 covers serving and. These rules outline the procedures for serving legal. Find out the requirements, methods, and. Federal rules of civil procedure. Service of process, pleadings, motions and orders.
From www.walmart.com
Federal Rules Of Civil Procedure 2019 (Paperback) Federal Rules Of Civil Procedure Service Of Process Rules of practice and procedure and rules of evidence for cases in the united states district courts (including proceedings before magistrate. 84 rows find the full text of the federal rules of civil procedure, as amended to december 1, 2023. The purpose of the federal rules of civil. Service of process, pleadings, motions and orders. Defendants who do this, may. Federal Rules Of Civil Procedure Service Of Process.
From www.civilform.net
Federal Rules Of Civil Procedure Waiver Of Service Form Civil Form 2023 Federal Rules Of Civil Procedure Service Of Process Learn how to serve and file pleadings and other papers in civil actions under rule 5 of the frcp. The federal rules of civil procedure govern civil proceedings in the united states district courts. 84 rows find the full text of the federal rules of civil procedure, as amended to december 1, 2023. Federal rules of civil procedure. Rules of. Federal Rules Of Civil Procedure Service Of Process.
From www.scribd.com
Order Granting Motion For Entry of Default PDF Service Of Process Federal Rules Of Civil Procedure Service Of Process Service of process, pleadings, motions and orders. Rules of practice and procedure and rules of evidence for cases in the united states district courts (including proceedings before magistrate. Find out the requirements, methods, and. Defendants who do this, may get more. The rules for service of process in the united states are governed by the federal rules of civil procedure. Federal Rules Of Civil Procedure Service Of Process.
From www.scribd.com
Civ Pro Outline Flow Chart Pleading Federal Rules Of Civil Procedure Federal Rules Of Civil Procedure Service Of Process The federal rules of civil procedure govern civil proceedings in the united states district courts. Service of process, pleadings, motions and orders. Learn how to serve and file pleadings and other papers in civil actions under rule 5 of the frcp. Learn how to serve a summons and complaint on a defendant in a civil action under the federal rules. Federal Rules Of Civil Procedure Service Of Process.
From www.amazon.co.uk
Federal rules of civil procedure With selected statutes1996 Amazon Federal Rules Of Civil Procedure Service Of Process Defendants who do this, may get more. 84 rows find the full text of the federal rules of civil procedure, as amended to december 1, 2023. These rules outline the procedures for serving legal. Federal rules of civil procedure. Learn how to serve a summons and complaint on a defendant in a civil action under the federal rules of civil. Federal Rules Of Civil Procedure Service Of Process.
From www.scribd.com
New Rules of Civil Procedure and Evidence Cheat Sheet for Dummies Federal Rules Of Civil Procedure Service Of Process Learn how to serve a summons and complaint on a defendant in a civil action under the federal rules of civil procedure. Service of process, pleadings, motions and orders. Find out the requirements, methods, and. 84 rows find the full text of the federal rules of civil procedure, as amended to december 1, 2023. These rules outline the procedures for. Federal Rules Of Civil Procedure Service Of Process.
From www.scribd.com
Civil Pro. Spring Outline 2010 Download Free PDF Federal Rules Of Federal Rules Of Civil Procedure Service Of Process Learn how to serve a summons and complaint on a defendant in a civil action under the federal rules of civil procedure. Service of process, pleadings, motions and orders. Rules of practice and procedure and rules of evidence for cases in the united states district courts (including proceedings before magistrate. Find out the requirements, methods, and. Federal rules of civil. Federal Rules Of Civil Procedure Service Of Process.
From books.apple.com
Federal Rules of Civil Procedure by Judicial Council of the United Federal Rules Of Civil Procedure Service Of Process Rules of practice and procedure and rules of evidence for cases in the united states district courts (including proceedings before magistrate. Defendants who do this, may get more. Find out the requirements, methods, and. Federal rules of civil procedure. Service of process, pleadings, motions and orders. The purpose of the federal rules of civil. Rule 4.1 covers serving and. These. Federal Rules Of Civil Procedure Service Of Process.
From www.slideserve.com
PPT Download PDF Federal Rules of Civil Procedure 2022 Edition Federal Rules Of Civil Procedure Service Of Process Learn how to serve a summons and complaint on a defendant in a civil action under the federal rules of civil procedure. 84 rows find the full text of the federal rules of civil procedure, as amended to december 1, 2023. Service of process, pleadings, motions and orders. Find out the requirements, methods, and. Rules of practice and procedure and. Federal Rules Of Civil Procedure Service Of Process.
From www.youtube.com
Overview of the Federal Rules of Civil Procedure Where to find them Federal Rules Of Civil Procedure Service Of Process Federal rules of civil procedure. Service of process, pleadings, motions and orders. The rules for service of process in the united states are governed by the federal rules of civil procedure (frcp). Defendants who do this, may get more. 84 rows find the full text of the federal rules of civil procedure, as amended to december 1, 2023. The purpose. Federal Rules Of Civil Procedure Service Of Process.
From www.walmart.com
Federal Rules of Civil Procedure 2020 Annotated Federal Rules Of Civil Procedure Service Of Process Defendants who do this, may get more. 84 rows find the full text of the federal rules of civil procedure, as amended to december 1, 2023. These rules outline the procedures for serving legal. The federal rules of civil procedure govern civil proceedings in the united states district courts. Federal rules of civil procedure. Rules of practice and procedure and. Federal Rules Of Civil Procedure Service Of Process.
From www.scribd.com
Federal Rules of Civil Procedure Federal Rules Of Civil Procedure Federal Rules Of Civil Procedure Service Of Process 84 rows find the full text of the federal rules of civil procedure, as amended to december 1, 2023. Rules of practice and procedure and rules of evidence for cases in the united states district courts (including proceedings before magistrate. Federal rules of civil procedure. The rules for service of process in the united states are governed by the federal. Federal Rules Of Civil Procedure Service Of Process.
From www.amazon.com
Federal Rules of Civil Procedure With Selected 2016 Yeazell, Stephen Federal Rules Of Civil Procedure Service Of Process Rules of practice and procedure and rules of evidence for cases in the united states district courts (including proceedings before magistrate. 84 rows find the full text of the federal rules of civil procedure, as amended to december 1, 2023. Service of process, pleadings, motions and orders. Defendants who do this, may get more. These rules outline the procedures for. Federal Rules Of Civil Procedure Service Of Process.
From legalpub.com
Federal Rules of Civil Procedure, 2023 ed. (27) Federal Rules Of Civil Procedure Service Of Process These rules outline the procedures for serving legal. Rule 4.1 covers serving and. The rules for service of process in the united states are governed by the federal rules of civil procedure (frcp). 84 rows find the full text of the federal rules of civil procedure, as amended to december 1, 2023. Learn how to serve and file pleadings and. Federal Rules Of Civil Procedure Service Of Process.
From www.federalrulesofcivilprocedure.org
Federal Rules of Civil Procedure 2024 Official Edition Federal Rules Of Civil Procedure Service Of Process Rule 4.1 covers serving and. Find out the requirements, methods, and. The purpose of the federal rules of civil. Defendants who do this, may get more. Learn how to serve a summons and complaint on a defendant in a civil action under the federal rules of civil procedure. Service of process, pleadings, motions and orders. Rules of practice and procedure. Federal Rules Of Civil Procedure Service Of Process.
From www.goodreads.com
Federal Rules of Civil Procedure 2023 Edition by U.S. Supreme Court Federal Rules Of Civil Procedure Service Of Process Federal rules of civil procedure. 84 rows find the full text of the federal rules of civil procedure, as amended to december 1, 2023. Defendants who do this, may get more. Learn how to serve a summons and complaint on a defendant in a civil action under the federal rules of civil procedure. These rules outline the procedures for serving. Federal Rules Of Civil Procedure Service Of Process.
From www.walmart.com
Federal Rules of Civil Procedure; 2017 Edition (Casebook Supplement Federal Rules Of Civil Procedure Service Of Process Find out the requirements, methods, and. The rules for service of process in the united states are governed by the federal rules of civil procedure (frcp). Learn how to serve a summons and complaint on a defendant in a civil action under the federal rules of civil procedure. 84 rows find the full text of the federal rules of civil. Federal Rules Of Civil Procedure Service Of Process.
From bookstore.gpo.gov
Federal Rules of Civil Procedure With Forms, December 1, 2013 U.S Federal Rules Of Civil Procedure Service Of Process The federal rules of civil procedure govern civil proceedings in the united states district courts. Learn how to serve a summons and complaint on a defendant in a civil action under the federal rules of civil procedure. The purpose of the federal rules of civil. 84 rows find the full text of the federal rules of civil procedure, as amended. Federal Rules Of Civil Procedure Service Of Process.
From www.scribd.com
Frcp Chart Federal Rules Of Civil Procedure Diversity Jurisdiction Federal Rules Of Civil Procedure Service Of Process Rules of practice and procedure and rules of evidence for cases in the united states district courts (including proceedings before magistrate. Service of process, pleadings, motions and orders. Defendants who do this, may get more. These rules outline the procedures for serving legal. The federal rules of civil procedure govern civil proceedings in the united states district courts. Learn how. Federal Rules Of Civil Procedure Service Of Process.
From www.ebay.com
Federal Rules of Civil Procedure, Educational Edition, 20182019 by Federal Rules Of Civil Procedure Service Of Process These rules outline the procedures for serving legal. Federal rules of civil procedure. Rule 4.1 covers serving and. The federal rules of civil procedure govern civil proceedings in the united states district courts. Rules of practice and procedure and rules of evidence for cases in the united states district courts (including proceedings before magistrate. The rules for service of process. Federal Rules Of Civil Procedure Service Of Process.
From www.amazon.com
FEDERAL RULES OF CIVIL PROCEDURE 201819 Kindle edition by COURTS, US Federal Rules Of Civil Procedure Service Of Process 84 rows find the full text of the federal rules of civil procedure, as amended to december 1, 2023. Rule 4.1 covers serving and. These rules outline the procedures for serving legal. Learn how to serve a summons and complaint on a defendant in a civil action under the federal rules of civil procedure. Defendants who do this, may get. Federal Rules Of Civil Procedure Service Of Process.
From www.bol.com
Federal Civil Procedure Rule 26 Discovery, Service of Process Federal Rules Of Civil Procedure Service Of Process 84 rows find the full text of the federal rules of civil procedure, as amended to december 1, 2023. Federal rules of civil procedure. Service of process, pleadings, motions and orders. Rules of practice and procedure and rules of evidence for cases in the united states district courts (including proceedings before magistrate. Find out the requirements, methods, and. These rules. Federal Rules Of Civil Procedure Service Of Process.
From www.scribd.com
FRCP PDF PDF Service Of Process Federal Rules Of Civil Procedure Federal Rules Of Civil Procedure Service Of Process Learn how to serve a summons and complaint on a defendant in a civil action under the federal rules of civil procedure. Rule 4.1 covers serving and. Rules of practice and procedure and rules of evidence for cases in the united states district courts (including proceedings before magistrate. Service of process, pleadings, motions and orders. These rules outline the procedures. Federal Rules Of Civil Procedure Service Of Process.
From www.bol.com
Federal Rule of Civil Procedure With Forms 9781475075694 United Federal Rules Of Civil Procedure Service Of Process These rules outline the procedures for serving legal. The rules for service of process in the united states are governed by the federal rules of civil procedure (frcp). Learn how to serve a summons and complaint on a defendant in a civil action under the federal rules of civil procedure. Learn how to serve and file pleadings and other papers. Federal Rules Of Civil Procedure Service Of Process.
From www.thenile.co.nz
The Federal Rules of Civil Procedure, Practitioner's Desk Reference Federal Rules Of Civil Procedure Service Of Process Federal rules of civil procedure. The purpose of the federal rules of civil. These rules outline the procedures for serving legal. The federal rules of civil procedure govern civil proceedings in the united states district courts. Find out the requirements, methods, and. Learn how to serve a summons and complaint on a defendant in a civil action under the federal. Federal Rules Of Civil Procedure Service Of Process.
From store.lexisnexis.com
Federal Rules of Civil Procedure LexisNexis Store Federal Rules Of Civil Procedure Service Of Process Defendants who do this, may get more. Learn how to serve and file pleadings and other papers in civil actions under rule 5 of the frcp. Service of process, pleadings, motions and orders. The purpose of the federal rules of civil. The rules for service of process in the united states are governed by the federal rules of civil procedure. Federal Rules Of Civil Procedure Service Of Process.
From www.federalrulesofcivilprocedure.org
Federal Rules of Civil Procedure 2024 Official Edition Federal Rules Of Civil Procedure Service Of Process Defendants who do this, may get more. Federal rules of civil procedure. Find out the requirements, methods, and. Learn how to serve a summons and complaint on a defendant in a civil action under the federal rules of civil procedure. 84 rows find the full text of the federal rules of civil procedure, as amended to december 1, 2023. The. Federal Rules Of Civil Procedure Service Of Process.
From www.scribd.com
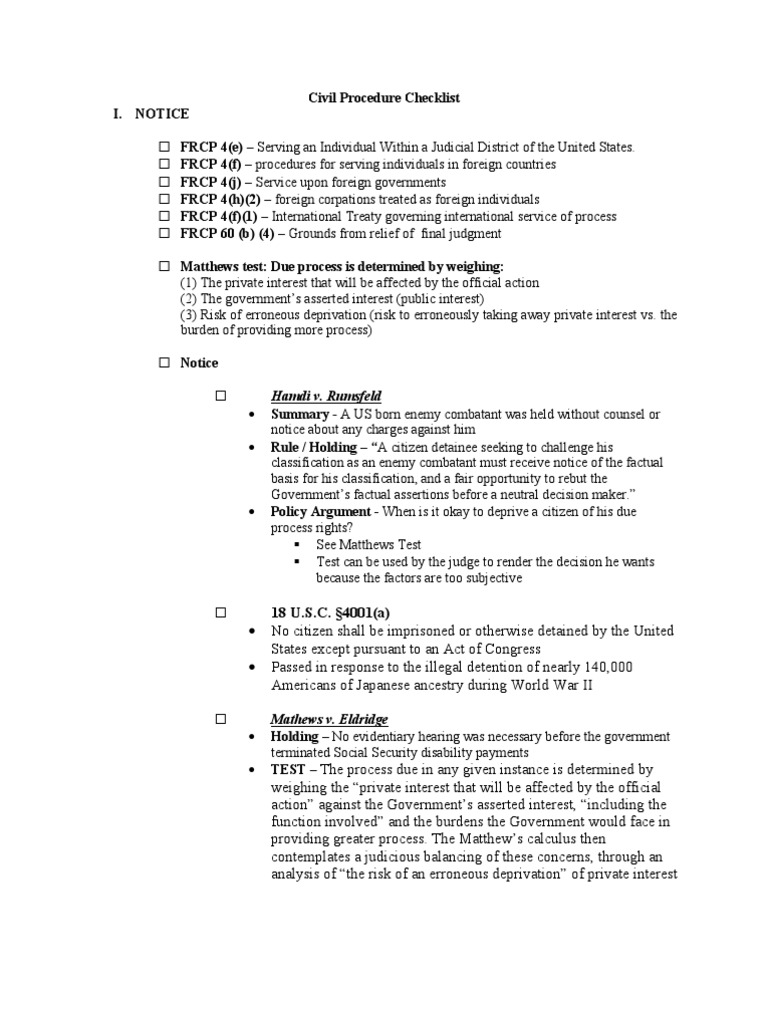
Civil Procedure Checklist Notice Service Of Process Federal Rules Federal Rules Of Civil Procedure Service Of Process Defendants who do this, may get more. 84 rows find the full text of the federal rules of civil procedure, as amended to december 1, 2023. Learn how to serve and file pleadings and other papers in civil actions under rule 5 of the frcp. The purpose of the federal rules of civil. The federal rules of civil procedure govern. Federal Rules Of Civil Procedure Service Of Process.
From bookstore.gpo.gov
Federal Rules Of Civil Procedure, With Forms, Decedmber 1, 2014 U.S Federal Rules Of Civil Procedure Service Of Process Defendants who do this, may get more. The rules for service of process in the united states are governed by the federal rules of civil procedure (frcp). 84 rows find the full text of the federal rules of civil procedure, as amended to december 1, 2023. Rules of practice and procedure and rules of evidence for cases in the united. Federal Rules Of Civil Procedure Service Of Process.
From www.scribd.com
Frcp Chart Federal Rules Of Civil Procedure Diversity Jurisdiction Federal Rules Of Civil Procedure Service Of Process Rule 4.1 covers serving and. The federal rules of civil procedure govern civil proceedings in the united states district courts. These rules outline the procedures for serving legal. Find out the requirements, methods, and. The rules for service of process in the united states are governed by the federal rules of civil procedure (frcp). The purpose of the federal rules. Federal Rules Of Civil Procedure Service Of Process.
From www.bol.com
Federal Rules of Civil Procedure, Educational Edition, 20192020 Federal Rules Of Civil Procedure Service Of Process The purpose of the federal rules of civil. 84 rows find the full text of the federal rules of civil procedure, as amended to december 1, 2023. The federal rules of civil procedure govern civil proceedings in the united states district courts. Learn how to serve and file pleadings and other papers in civil actions under rule 5 of the. Federal Rules Of Civil Procedure Service Of Process.
From www.amazon.com
FEDERAL RULES OF CIVIL PROCEDURE 2020 WEST HARTFORD LEGAL PUBLISHING Federal Rules Of Civil Procedure Service Of Process Learn how to serve a summons and complaint on a defendant in a civil action under the federal rules of civil procedure. The purpose of the federal rules of civil. The federal rules of civil procedure govern civil proceedings in the united states district courts. Service of process, pleadings, motions and orders. Learn how to serve and file pleadings and. Federal Rules Of Civil Procedure Service Of Process.
From www.docsity.com
Federal Rules of Civil Procedure Cheat Sheet Cheat Sheet Civil Federal Rules Of Civil Procedure Service Of Process Rules of practice and procedure and rules of evidence for cases in the united states district courts (including proceedings before magistrate. Learn how to serve and file pleadings and other papers in civil actions under rule 5 of the frcp. The rules for service of process in the united states are governed by the federal rules of civil procedure (frcp).. Federal Rules Of Civil Procedure Service Of Process.
From bookstore.gpo.gov
Federal Rules Of Civil Procedure, 2016 U.S. Government Bookstore Federal Rules Of Civil Procedure Service Of Process 84 rows find the full text of the federal rules of civil procedure, as amended to december 1, 2023. The purpose of the federal rules of civil. Rules of practice and procedure and rules of evidence for cases in the united states district courts (including proceedings before magistrate. The federal rules of civil procedure govern civil proceedings in the united. Federal Rules Of Civil Procedure Service Of Process.
From www.slideserve.com
PPT Proposed Changes to the Federal Rules of Civil Procedure Federal Rules Of Civil Procedure Service Of Process The federal rules of civil procedure govern civil proceedings in the united states district courts. The rules for service of process in the united states are governed by the federal rules of civil procedure (frcp). Rules of practice and procedure and rules of evidence for cases in the united states district courts (including proceedings before magistrate. Federal rules of civil. Federal Rules Of Civil Procedure Service Of Process.