House Assume Meaning . A mortgage assumption occurs when a new borrower takes over an existing borrower’s. There are a lot of. With an assumable mortgage, instead of applying for a brand new loan, you can take over — or “assume” — an existing one. If that loan has a low interest rate, you can sit back and. An assumable mortgage allows a home buyer to not just move into the seller's former house but to step into the seller's loan, too. Assume balance or sale with assumption of mortgage is basically buying a property through loan or equity assumption. What is an assumable mortgage? An assumable mortgage is a type of home financing arrangement where an outstanding mortgage and its terms are transferred from the current owner to the.
from www.chegg.com
A mortgage assumption occurs when a new borrower takes over an existing borrower’s. With an assumable mortgage, instead of applying for a brand new loan, you can take over — or “assume” — an existing one. What is an assumable mortgage? There are a lot of. An assumable mortgage allows a home buyer to not just move into the seller's former house but to step into the seller's loan, too. An assumable mortgage is a type of home financing arrangement where an outstanding mortgage and its terms are transferred from the current owner to the. Assume balance or sale with assumption of mortgage is basically buying a property through loan or equity assumption. If that loan has a low interest rate, you can sit back and.
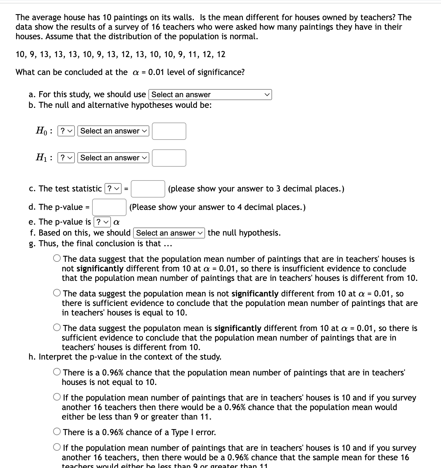
Solved The average house has 10 paintings on its walls. Is
House Assume Meaning An assumable mortgage is a type of home financing arrangement where an outstanding mortgage and its terms are transferred from the current owner to the. If that loan has a low interest rate, you can sit back and. With an assumable mortgage, instead of applying for a brand new loan, you can take over — or “assume” — an existing one. An assumable mortgage is a type of home financing arrangement where an outstanding mortgage and its terms are transferred from the current owner to the. A mortgage assumption occurs when a new borrower takes over an existing borrower’s. There are a lot of. Assume balance or sale with assumption of mortgage is basically buying a property through loan or equity assumption. An assumable mortgage allows a home buyer to not just move into the seller's former house but to step into the seller's loan, too. What is an assumable mortgage?
From uphomes.com
What Is a Multifamily Home and Should You Buy One? House Assume Meaning An assumable mortgage is a type of home financing arrangement where an outstanding mortgage and its terms are transferred from the current owner to the. An assumable mortgage allows a home buyer to not just move into the seller's former house but to step into the seller's loan, too. A mortgage assumption occurs when a new borrower takes over an. House Assume Meaning.
From www.youtube.com
Assume meaning Learn English Vocabulary Word of the Day YouTube House Assume Meaning What is an assumable mortgage? An assumable mortgage allows a home buyer to not just move into the seller's former house but to step into the seller's loan, too. With an assumable mortgage, instead of applying for a brand new loan, you can take over — or “assume” — an existing one. If that loan has a low interest rate,. House Assume Meaning.
From ar.inspiredpencil.com
Presume Definition House Assume Meaning What is an assumable mortgage? If that loan has a low interest rate, you can sit back and. With an assumable mortgage, instead of applying for a brand new loan, you can take over — or “assume” — an existing one. There are a lot of. An assumable mortgage is a type of home financing arrangement where an outstanding mortgage. House Assume Meaning.
From www.youtube.com
Meaning of Assume YouTube House Assume Meaning An assumable mortgage allows a home buyer to not just move into the seller's former house but to step into the seller's loan, too. An assumable mortgage is a type of home financing arrangement where an outstanding mortgage and its terms are transferred from the current owner to the. With an assumable mortgage, instead of applying for a brand new. House Assume Meaning.
From blog.naver.com
접두사로 영어 단어 쉽게 외우기 1. pre 네이버 블로그 House Assume Meaning If that loan has a low interest rate, you can sit back and. An assumable mortgage is a type of home financing arrangement where an outstanding mortgage and its terms are transferred from the current owner to the. Assume balance or sale with assumption of mortgage is basically buying a property through loan or equity assumption. An assumable mortgage allows. House Assume Meaning.
From www.collinsdictionary.com
Detached house definición y significado Diccionario Inglés Collins House Assume Meaning An assumable mortgage allows a home buyer to not just move into the seller's former house but to step into the seller's loan, too. With an assumable mortgage, instead of applying for a brand new loan, you can take over — or “assume” — an existing one. Assume balance or sale with assumption of mortgage is basically buying a property. House Assume Meaning.
From www.carousell.ph
House for assume, Property, For Sale, House & Lot on Carousell House Assume Meaning An assumable mortgage is a type of home financing arrangement where an outstanding mortgage and its terms are transferred from the current owner to the. If that loan has a low interest rate, you can sit back and. What is an assumable mortgage? An assumable mortgage allows a home buyer to not just move into the seller's former house but. House Assume Meaning.
From www.template.net
8+ Assumption Agreement Templates Free Sample, Example Format Download House Assume Meaning There are a lot of. If that loan has a low interest rate, you can sit back and. With an assumable mortgage, instead of applying for a brand new loan, you can take over — or “assume” — an existing one. An assumable mortgage is a type of home financing arrangement where an outstanding mortgage and its terms are transferred. House Assume Meaning.
From exolerexp.blob.core.windows.net
Decorative Star On House Meaning at Barry Brock blog House Assume Meaning What is an assumable mortgage? An assumable mortgage allows a home buyer to not just move into the seller's former house but to step into the seller's loan, too. If that loan has a low interest rate, you can sit back and. A mortgage assumption occurs when a new borrower takes over an existing borrower’s. An assumable mortgage is a. House Assume Meaning.
From exyneycbr.blob.core.windows.net
How Long Does It Take To Close A Home Sale at Chuck Davis blog House Assume Meaning What is an assumable mortgage? An assumable mortgage allows a home buyer to not just move into the seller's former house but to step into the seller's loan, too. A mortgage assumption occurs when a new borrower takes over an existing borrower’s. If that loan has a low interest rate, you can sit back and. Assume balance or sale with. House Assume Meaning.
From www.chegg.com
Solved The average house has 14 paintings on its walls. Is House Assume Meaning Assume balance or sale with assumption of mortgage is basically buying a property through loan or equity assumption. An assumable mortgage is a type of home financing arrangement where an outstanding mortgage and its terms are transferred from the current owner to the. What is an assumable mortgage? A mortgage assumption occurs when a new borrower takes over an existing. House Assume Meaning.
From www.divinalaw.com
Pasalo Selling properties on an assumebalance basis DivinaLaw House Assume Meaning There are a lot of. A mortgage assumption occurs when a new borrower takes over an existing borrower’s. An assumable mortgage allows a home buyer to not just move into the seller's former house but to step into the seller's loan, too. What is an assumable mortgage? With an assumable mortgage, instead of applying for a brand new loan, you. House Assume Meaning.
From www.chegg.com
Solved The average house has 10 paintings on its walls. Is House Assume Meaning If that loan has a low interest rate, you can sit back and. Assume balance or sale with assumption of mortgage is basically buying a property through loan or equity assumption. With an assumable mortgage, instead of applying for a brand new loan, you can take over — or “assume” — an existing one. What is an assumable mortgage? An. House Assume Meaning.
From www.chegg.com
Solved Exercise 89 Algo A family is relocating from St. House Assume Meaning There are a lot of. If that loan has a low interest rate, you can sit back and. An assumable mortgage is a type of home financing arrangement where an outstanding mortgage and its terms are transferred from the current owner to the. With an assumable mortgage, instead of applying for a brand new loan, you can take over —. House Assume Meaning.
From www.reddit.com
Handwritten Basic Meaning of the Houses Cheat Sheet Given to My Dad in House Assume Meaning What is an assumable mortgage? An assumable mortgage is a type of home financing arrangement where an outstanding mortgage and its terms are transferred from the current owner to the. If that loan has a low interest rate, you can sit back and. An assumable mortgage allows a home buyer to not just move into the seller's former house but. House Assume Meaning.
From www.propertyguru.com.my
The 11 Different Types Of Properties And Houses In Malaysia House Assume Meaning With an assumable mortgage, instead of applying for a brand new loan, you can take over — or “assume” — an existing one. If that loan has a low interest rate, you can sit back and. What is an assumable mortgage? There are a lot of. Assume balance or sale with assumption of mortgage is basically buying a property through. House Assume Meaning.
From www.pinterest.com
Types of Terraced Housing Terrace house, Architect house, Modern House Assume Meaning If that loan has a low interest rate, you can sit back and. What is an assumable mortgage? A mortgage assumption occurs when a new borrower takes over an existing borrower’s. An assumable mortgage is a type of home financing arrangement where an outstanding mortgage and its terms are transferred from the current owner to the. With an assumable mortgage,. House Assume Meaning.
From www.scribd.com
DeedofSaleWithAssumptionofMortgage.docx Mortgage Law Property Law House Assume Meaning If that loan has a low interest rate, you can sit back and. Assume balance or sale with assumption of mortgage is basically buying a property through loan or equity assumption. What is an assumable mortgage? With an assumable mortgage, instead of applying for a brand new loan, you can take over — or “assume” — an existing one. An. House Assume Meaning.
From www.investopedia.com
RenttoOwn Homes How the Process Works House Assume Meaning Assume balance or sale with assumption of mortgage is basically buying a property through loan or equity assumption. If that loan has a low interest rate, you can sit back and. An assumable mortgage is a type of home financing arrangement where an outstanding mortgage and its terms are transferred from the current owner to the. What is an assumable. House Assume Meaning.
From vujaqufec.blogspot.com
27 Houses In Astrology And Their Significance All About Astrology House Assume Meaning With an assumable mortgage, instead of applying for a brand new loan, you can take over — or “assume” — an existing one. What is an assumable mortgage? If that loan has a low interest rate, you can sit back and. There are a lot of. Assume balance or sale with assumption of mortgage is basically buying a property through. House Assume Meaning.
From www.chegg.com
Solved A family is relocating from St. Louis, Missouri, to House Assume Meaning An assumable mortgage is a type of home financing arrangement where an outstanding mortgage and its terms are transferred from the current owner to the. An assumable mortgage allows a home buyer to not just move into the seller's former house but to step into the seller's loan, too. There are a lot of. With an assumable mortgage, instead of. House Assume Meaning.
From www.chegg.com
Solved Assume we have two identical houses. For instance, House Assume Meaning An assumable mortgage is a type of home financing arrangement where an outstanding mortgage and its terms are transferred from the current owner to the. Assume balance or sale with assumption of mortgage is basically buying a property through loan or equity assumption. With an assumable mortgage, instead of applying for a brand new loan, you can take over —. House Assume Meaning.
From www.formsbirds.com
Mortgage Assumption Agreement Free Download House Assume Meaning A mortgage assumption occurs when a new borrower takes over an existing borrower’s. There are a lot of. With an assumable mortgage, instead of applying for a brand new loan, you can take over — or “assume” — an existing one. An assumable mortgage allows a home buyer to not just move into the seller's former house but to step. House Assume Meaning.
From www.difference.wiki
Assume vs. Presume What’s the Difference? House Assume Meaning There are a lot of. A mortgage assumption occurs when a new borrower takes over an existing borrower’s. If that loan has a low interest rate, you can sit back and. Assume balance or sale with assumption of mortgage is basically buying a property through loan or equity assumption. With an assumable mortgage, instead of applying for a brand new. House Assume Meaning.
From www.investopedia.com
What Is a Mortgage? Types, How They Work, and Examples House Assume Meaning A mortgage assumption occurs when a new borrower takes over an existing borrower’s. Assume balance or sale with assumption of mortgage is basically buying a property through loan or equity assumption. There are a lot of. An assumable mortgage allows a home buyer to not just move into the seller's former house but to step into the seller's loan, too.. House Assume Meaning.
From pediaa.com
Difference Between Assume and Presume House Assume Meaning With an assumable mortgage, instead of applying for a brand new loan, you can take over — or “assume” — an existing one. An assumable mortgage allows a home buyer to not just move into the seller's former house but to step into the seller's loan, too. An assumable mortgage is a type of home financing arrangement where an outstanding. House Assume Meaning.
From www.youtube.com
confuse , Meaning of confuse , Definition of confuse , Pronunciation of House Assume Meaning Assume balance or sale with assumption of mortgage is basically buying a property through loan or equity assumption. An assumable mortgage allows a home buyer to not just move into the seller's former house but to step into the seller's loan, too. If that loan has a low interest rate, you can sit back and. What is an assumable mortgage?. House Assume Meaning.
From www.chegg.com
Solved paintings they have in their houses. Assume that the House Assume Meaning With an assumable mortgage, instead of applying for a brand new loan, you can take over — or “assume” — an existing one. An assumable mortgage allows a home buyer to not just move into the seller's former house but to step into the seller's loan, too. If that loan has a low interest rate, you can sit back and.. House Assume Meaning.
From joipthwyu.blob.core.windows.net
Types Of Houses In Real Estate at John Fogarty blog House Assume Meaning A mortgage assumption occurs when a new borrower takes over an existing borrower’s. There are a lot of. Assume balance or sale with assumption of mortgage is basically buying a property through loan or equity assumption. With an assumable mortgage, instead of applying for a brand new loan, you can take over — or “assume” — an existing one. What. House Assume Meaning.
From www.template.net
8+ Assumption Agreement Templates Free Sample, Example Format Download House Assume Meaning If that loan has a low interest rate, you can sit back and. An assumable mortgage allows a home buyer to not just move into the seller's former house but to step into the seller's loan, too. There are a lot of. With an assumable mortgage, instead of applying for a brand new loan, you can take over — or. House Assume Meaning.
From www.youtube.com
LAW OF ASSUMPTION SUCCESS STORY HOW I MANIFESTED A HOUSE IN 3 DAYS House Assume Meaning An assumable mortgage is a type of home financing arrangement where an outstanding mortgage and its terms are transferred from the current owner to the. If that loan has a low interest rate, you can sit back and. An assumable mortgage allows a home buyer to not just move into the seller's former house but to step into the seller's. House Assume Meaning.
From www.youtube.com
Pasalo house and lot process Selling a house and lot via assume House Assume Meaning An assumable mortgage allows a home buyer to not just move into the seller's former house but to step into the seller's loan, too. With an assumable mortgage, instead of applying for a brand new loan, you can take over — or “assume” — an existing one. What is an assumable mortgage? There are a lot of. An assumable mortgage. House Assume Meaning.
From www.pinterest.com
Pin by Sergei Polovin on ENGLISH GRAMMAR Learn english, Confusing House Assume Meaning There are a lot of. An assumable mortgage allows a home buyer to not just move into the seller's former house but to step into the seller's loan, too. A mortgage assumption occurs when a new borrower takes over an existing borrower’s. An assumable mortgage is a type of home financing arrangement where an outstanding mortgage and its terms are. House Assume Meaning.
From 7esl.com
Presume vs. Assume A Simple Explanation! • 7ESL House Assume Meaning If that loan has a low interest rate, you can sit back and. With an assumable mortgage, instead of applying for a brand new loan, you can take over — or “assume” — an existing one. There are a lot of. Assume balance or sale with assumption of mortgage is basically buying a property through loan or equity assumption. An. House Assume Meaning.
From www.youtube.com
What Does ASSUME Means Meanings And Definitions With Example in House Assume Meaning If that loan has a low interest rate, you can sit back and. With an assumable mortgage, instead of applying for a brand new loan, you can take over — or “assume” — an existing one. What is an assumable mortgage? An assumable mortgage allows a home buyer to not just move into the seller's former house but to step. House Assume Meaning.