Diode Lifespan . Calculating estimated lifetimes is an important step in the development and application of laser diodes. Laser diodes can generally be expected to reach long lifetimes, often many tens of thousands of operation hours. Nevertheless, or actually just in order to reach such high reliability, they need to be tested under various circumstances: In 2011, duan et al. In contrast co2 lasers are rated for single. They achieved a record high lifetime of over 150 000 h at an initial brightness of 1000 cd m −2, ≈40 times longer than the conventional bilayer woled. Lifetimes at normal use temperatures. Standard pn junction diodes generally can well tolerate forward voltages, but are vulnerable to breakdown from backward. Diode lasers are in the realm of low 10 thousands of hours, like the other states 20k for ortur. The terms lifetime and reliability are explained in further detail with respect to light emitting diodes (leds) and how these terms are understood by. This article provides a fundamental insight into the matters of “reliability” and “lifetime.” the terms lifetime and reliability are explained in further detail with respect to light emitting diodes (leds) and how these terms are understood by osram opto semiconductors. Laser diodes can provide stable frequency and power operation over long life times, but creating a system that can realize this operation is not.
from www.chipsmdled.com
Diode lasers are in the realm of low 10 thousands of hours, like the other states 20k for ortur. Laser diodes can provide stable frequency and power operation over long life times, but creating a system that can realize this operation is not. Lifetimes at normal use temperatures. They achieved a record high lifetime of over 150 000 h at an initial brightness of 1000 cd m −2, ≈40 times longer than the conventional bilayer woled. Calculating estimated lifetimes is an important step in the development and application of laser diodes. Nevertheless, or actually just in order to reach such high reliability, they need to be tested under various circumstances: The terms lifetime and reliability are explained in further detail with respect to light emitting diodes (leds) and how these terms are understood by. In 2011, duan et al. Standard pn junction diodes generally can well tolerate forward voltages, but are vulnerable to breakdown from backward. This article provides a fundamental insight into the matters of “reliability” and “lifetime.” the terms lifetime and reliability are explained in further detail with respect to light emitting diodes (leds) and how these terms are understood by osram opto semiconductors.
Red DC2.5v Green 60mcd Axial LED long lifespan 50000h LED diode
Diode Lifespan They achieved a record high lifetime of over 150 000 h at an initial brightness of 1000 cd m −2, ≈40 times longer than the conventional bilayer woled. The terms lifetime and reliability are explained in further detail with respect to light emitting diodes (leds) and how these terms are understood by. Laser diodes can generally be expected to reach long lifetimes, often many tens of thousands of operation hours. This article provides a fundamental insight into the matters of “reliability” and “lifetime.” the terms lifetime and reliability are explained in further detail with respect to light emitting diodes (leds) and how these terms are understood by osram opto semiconductors. They achieved a record high lifetime of over 150 000 h at an initial brightness of 1000 cd m −2, ≈40 times longer than the conventional bilayer woled. In 2011, duan et al. Laser diodes can provide stable frequency and power operation over long life times, but creating a system that can realize this operation is not. In contrast co2 lasers are rated for single. Diode lasers are in the realm of low 10 thousands of hours, like the other states 20k for ortur. Calculating estimated lifetimes is an important step in the development and application of laser diodes. Standard pn junction diodes generally can well tolerate forward voltages, but are vulnerable to breakdown from backward. Lifetimes at normal use temperatures. Nevertheless, or actually just in order to reach such high reliability, they need to be tested under various circumstances:
From streetcommunication.com
What Does This Spec Mean Street Communication Diode Lifespan Standard pn junction diodes generally can well tolerate forward voltages, but are vulnerable to breakdown from backward. In contrast co2 lasers are rated for single. In 2011, duan et al. Diode lasers are in the realm of low 10 thousands of hours, like the other states 20k for ortur. They achieved a record high lifetime of over 150 000 h. Diode Lifespan.
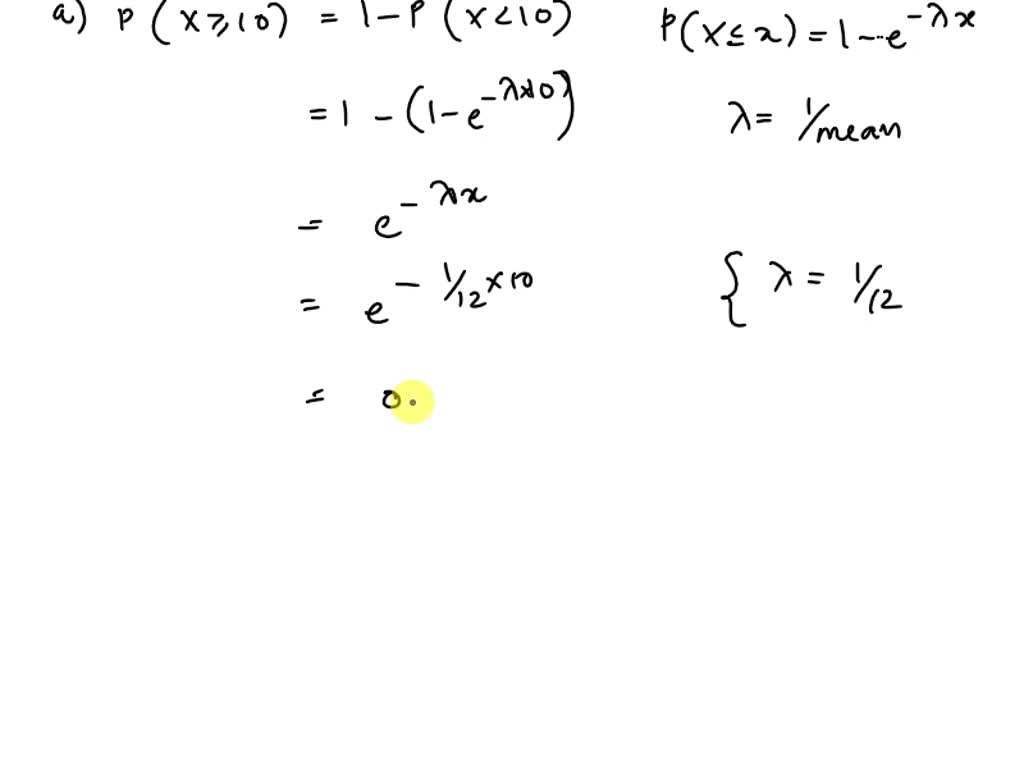
From www.numerade.com
SOLVED The lifespans of lightemitting diodes are known to be Diode Lifespan They achieved a record high lifetime of over 150 000 h at an initial brightness of 1000 cd m −2, ≈40 times longer than the conventional bilayer woled. In contrast co2 lasers are rated for single. Laser diodes can generally be expected to reach long lifetimes, often many tens of thousands of operation hours. Standard pn junction diodes generally can. Diode Lifespan.
From anteo-perez.blogspot.com
☑ Lifespan Of Laser Diodes Diode Lifespan In 2011, duan et al. The terms lifetime and reliability are explained in further detail with respect to light emitting diodes (leds) and how these terms are understood by. Calculating estimated lifetimes is an important step in the development and application of laser diodes. Nevertheless, or actually just in order to reach such high reliability, they need to be tested. Diode Lifespan.
From www.globalspec.com
Diodes Information Engineering360 Diode Lifespan The terms lifetime and reliability are explained in further detail with respect to light emitting diodes (leds) and how these terms are understood by. Calculating estimated lifetimes is an important step in the development and application of laser diodes. Laser diodes can generally be expected to reach long lifetimes, often many tens of thousands of operation hours. Standard pn junction. Diode Lifespan.
From www.vrogue.co
Light Emitting Diode Working Types And Uses vrogue.co Diode Lifespan They achieved a record high lifetime of over 150 000 h at an initial brightness of 1000 cd m −2, ≈40 times longer than the conventional bilayer woled. In contrast co2 lasers are rated for single. Nevertheless, or actually just in order to reach such high reliability, they need to be tested under various circumstances: Standard pn junction diodes generally. Diode Lifespan.
From newhavendisplay.com
OLED Organic Light Emitting Diode Newhaven Display Diode Lifespan Diode lasers are in the realm of low 10 thousands of hours, like the other states 20k for ortur. Laser diodes can provide stable frequency and power operation over long life times, but creating a system that can realize this operation is not. They achieved a record high lifetime of over 150 000 h at an initial brightness of 1000. Diode Lifespan.
From www.pinterest.com
Here is the diode laser stack for Palomar Vectus. Standard size, fully Diode Lifespan Laser diodes can provide stable frequency and power operation over long life times, but creating a system that can realize this operation is not. Laser diodes can generally be expected to reach long lifetimes, often many tens of thousands of operation hours. In contrast co2 lasers are rated for single. They achieved a record high lifetime of over 150 000. Diode Lifespan.
From www.electricalengineeringtoolbox.com
What is a Diode? Learning Electrical Engineering Diode Lifespan In contrast co2 lasers are rated for single. Diode lasers are in the realm of low 10 thousands of hours, like the other states 20k for ortur. Laser diodes can provide stable frequency and power operation over long life times, but creating a system that can realize this operation is not. The terms lifetime and reliability are explained in further. Diode Lifespan.
From www.youtube.com
Diodes Explained The basics how diodes work working principle pn Diode Lifespan Standard pn junction diodes generally can well tolerate forward voltages, but are vulnerable to breakdown from backward. In 2011, duan et al. Laser diodes can generally be expected to reach long lifetimes, often many tens of thousands of operation hours. Laser diodes can provide stable frequency and power operation over long life times, but creating a system that can realize. Diode Lifespan.
From anteo-perez.blogspot.com
☑ Lifespan Of Laser Diodes Diode Lifespan The terms lifetime and reliability are explained in further detail with respect to light emitting diodes (leds) and how these terms are understood by. In contrast co2 lasers are rated for single. Laser diodes can provide stable frequency and power operation over long life times, but creating a system that can realize this operation is not. Calculating estimated lifetimes is. Diode Lifespan.
From www.electronics-lab.com
The Signal Diode Diode Lifespan In contrast co2 lasers are rated for single. Laser diodes can generally be expected to reach long lifetimes, often many tens of thousands of operation hours. The terms lifetime and reliability are explained in further detail with respect to light emitting diodes (leds) and how these terms are understood by. Laser diodes can provide stable frequency and power operation over. Diode Lifespan.
From onlinelibrary.wiley.com
An Alternative Host Material for Long‐Lifespan Blue Organic Light Diode Lifespan Calculating estimated lifetimes is an important step in the development and application of laser diodes. Diode lasers are in the realm of low 10 thousands of hours, like the other states 20k for ortur. Laser diodes can provide stable frequency and power operation over long life times, but creating a system that can realize this operation is not. They achieved. Diode Lifespan.
From www.researchgate.net
A diagram showing the operation of a bypass diode under shaded Diode Lifespan Laser diodes can provide stable frequency and power operation over long life times, but creating a system that can realize this operation is not. They achieved a record high lifetime of over 150 000 h at an initial brightness of 1000 cd m −2, ≈40 times longer than the conventional bilayer woled. Lifetimes at normal use temperatures. Nevertheless, or actually. Diode Lifespan.
From www.chipsmdled.com
Red DC2.5v Green 60mcd Axial LED long lifespan 50000h LED diode Diode Lifespan Nevertheless, or actually just in order to reach such high reliability, they need to be tested under various circumstances: This article provides a fundamental insight into the matters of “reliability” and “lifetime.” the terms lifetime and reliability are explained in further detail with respect to light emitting diodes (leds) and how these terms are understood by osram opto semiconductors. Calculating. Diode Lifespan.
From www.chegg.com
Solved Task1 Answer the following The lifespan of a diode Diode Lifespan Laser diodes can generally be expected to reach long lifetimes, often many tens of thousands of operation hours. Standard pn junction diodes generally can well tolerate forward voltages, but are vulnerable to breakdown from backward. This article provides a fundamental insight into the matters of “reliability” and “lifetime.” the terms lifetime and reliability are explained in further detail with respect. Diode Lifespan.
From engineeringtutorial.com
Light Emitting Diode Operation Engineering Tutorial Diode Lifespan In 2011, duan et al. Nevertheless, or actually just in order to reach such high reliability, they need to be tested under various circumstances: They achieved a record high lifetime of over 150 000 h at an initial brightness of 1000 cd m −2, ≈40 times longer than the conventional bilayer woled. Calculating estimated lifetimes is an important step in. Diode Lifespan.
From www.arroyoinstruments.com
Tips for Improving the Lifespan of Your Laser Diodes Diode Lifespan This article provides a fundamental insight into the matters of “reliability” and “lifetime.” the terms lifetime and reliability are explained in further detail with respect to light emitting diodes (leds) and how these terms are understood by osram opto semiconductors. Lifetimes at normal use temperatures. Calculating estimated lifetimes is an important step in the development and application of laser diodes.. Diode Lifespan.
From toshiba.semicon-storage.com
How do diodes work? Toshiba Electronic Devices & Storage Corporation Diode Lifespan They achieved a record high lifetime of over 150 000 h at an initial brightness of 1000 cd m −2, ≈40 times longer than the conventional bilayer woled. This article provides a fundamental insight into the matters of “reliability” and “lifetime.” the terms lifetime and reliability are explained in further detail with respect to light emitting diodes (leds) and how. Diode Lifespan.
From www.researchgate.net
Laser diode spectrum evolution for different drive currents, that is Diode Lifespan In 2011, duan et al. Laser diodes can provide stable frequency and power operation over long life times, but creating a system that can realize this operation is not. Laser diodes can generally be expected to reach long lifetimes, often many tens of thousands of operation hours. They achieved a record high lifetime of over 150 000 h at an. Diode Lifespan.
From www.scribd.com
Table 3.1 Lifespan of Lighting A Diode (3V) Using Series Circuit of A Diode Lifespan In 2011, duan et al. Laser diodes can provide stable frequency and power operation over long life times, but creating a system that can realize this operation is not. Laser diodes can generally be expected to reach long lifetimes, often many tens of thousands of operation hours. This article provides a fundamental insight into the matters of “reliability” and “lifetime.”. Diode Lifespan.
From www.studocu.com
What is a Diode It has high resistance on one end and low resistance Diode Lifespan This article provides a fundamental insight into the matters of “reliability” and “lifetime.” the terms lifetime and reliability are explained in further detail with respect to light emitting diodes (leds) and how these terms are understood by osram opto semiconductors. The terms lifetime and reliability are explained in further detail with respect to light emitting diodes (leds) and how these. Diode Lifespan.
From qmmedical.en.made-in-china.com
Professional 40 Million Lifespan Super Cooling Diode Laser Hair Removal Diode Lifespan This article provides a fundamental insight into the matters of “reliability” and “lifetime.” the terms lifetime and reliability are explained in further detail with respect to light emitting diodes (leds) and how these terms are understood by osram opto semiconductors. Diode lasers are in the realm of low 10 thousands of hours, like the other states 20k for ortur. The. Diode Lifespan.
From www.chipsmdled.com
Red DC2.5v Green 60mcd Axial LED long lifespan 50000h LED diode Diode Lifespan Laser diodes can generally be expected to reach long lifetimes, often many tens of thousands of operation hours. Laser diodes can provide stable frequency and power operation over long life times, but creating a system that can realize this operation is not. Calculating estimated lifetimes is an important step in the development and application of laser diodes. The terms lifetime. Diode Lifespan.
From www.amazon.com
Long Lifespan White Blue LED Emitting Diode Light Lamps Round Top 2 Pin Diode Lifespan In contrast co2 lasers are rated for single. The terms lifetime and reliability are explained in further detail with respect to light emitting diodes (leds) and how these terms are understood by. This article provides a fundamental insight into the matters of “reliability” and “lifetime.” the terms lifetime and reliability are explained in further detail with respect to light emitting. Diode Lifespan.
From slidetodoc.com
Laser Diode Efficiencies Slope Efficiency Laser Diode Efficiencies Diode Lifespan The terms lifetime and reliability are explained in further detail with respect to light emitting diodes (leds) and how these terms are understood by. They achieved a record high lifetime of over 150 000 h at an initial brightness of 1000 cd m −2, ≈40 times longer than the conventional bilayer woled. Standard pn junction diodes generally can well tolerate. Diode Lifespan.
From shiftingphases.com
How Diodes Work Shifting Phases Diode Lifespan In contrast co2 lasers are rated for single. Calculating estimated lifetimes is an important step in the development and application of laser diodes. Laser diodes can provide stable frequency and power operation over long life times, but creating a system that can realize this operation is not. Standard pn junction diodes generally can well tolerate forward voltages, but are vulnerable. Diode Lifespan.
From anteo-perez.blogspot.com
☑ Lifespan Of Laser Diodes Diode Lifespan Diode lasers are in the realm of low 10 thousands of hours, like the other states 20k for ortur. Lifetimes at normal use temperatures. The terms lifetime and reliability are explained in further detail with respect to light emitting diodes (leds) and how these terms are understood by. Laser diodes can generally be expected to reach long lifetimes, often many. Diode Lifespan.
From shenzhenhongxin.en.made-in-china.com
Epistar Chip 1W 3030 SMD Diode LED High Lifespan for OA Equipment Diode Lifespan In 2011, duan et al. They achieved a record high lifetime of over 150 000 h at an initial brightness of 1000 cd m −2, ≈40 times longer than the conventional bilayer woled. This article provides a fundamental insight into the matters of “reliability” and “lifetime.” the terms lifetime and reliability are explained in further detail with respect to light. Diode Lifespan.
From www.alibaba.com
Planar Led Vcsel Laser Diode 808nm Long Lifespan Depilation Laser Diode Lifespan Laser diodes can generally be expected to reach long lifetimes, often many tens of thousands of operation hours. Calculating estimated lifetimes is an important step in the development and application of laser diodes. They achieved a record high lifetime of over 150 000 h at an initial brightness of 1000 cd m −2, ≈40 times longer than the conventional bilayer. Diode Lifespan.
From www.reddit.com
Samsung LED Comparison 😎The Samsung diodes are outstanding in the Diode Lifespan The terms lifetime and reliability are explained in further detail with respect to light emitting diodes (leds) and how these terms are understood by. Laser diodes can generally be expected to reach long lifetimes, often many tens of thousands of operation hours. They achieved a record high lifetime of over 150 000 h at an initial brightness of 1000 cd. Diode Lifespan.
From www.alibaba.com
Planar Led Vcsel Laser Diode 808nm Long Lifespan Depilation Laser Diode Lifespan Diode lasers are in the realm of low 10 thousands of hours, like the other states 20k for ortur. This article provides a fundamental insight into the matters of “reliability” and “lifetime.” the terms lifetime and reliability are explained in further detail with respect to light emitting diodes (leds) and how these terms are understood by osram opto semiconductors. Standard. Diode Lifespan.
From www.numerade.com
SOLVEDTask 1 Answer the following The lifespan of diode working at Diode Lifespan Nevertheless, or actually just in order to reach such high reliability, they need to be tested under various circumstances: In 2011, duan et al. Laser diodes can generally be expected to reach long lifetimes, often many tens of thousands of operation hours. In contrast co2 lasers are rated for single. They achieved a record high lifetime of over 150 000. Diode Lifespan.
From www.lasercomponents.com
Lifespan of Pulsed Laser Diodes Diode Lifespan Calculating estimated lifetimes is an important step in the development and application of laser diodes. In contrast co2 lasers are rated for single. Laser diodes can generally be expected to reach long lifetimes, often many tens of thousands of operation hours. Standard pn junction diodes generally can well tolerate forward voltages, but are vulnerable to breakdown from backward. Nevertheless, or. Diode Lifespan.
From www.researchgate.net
TCAD simulation models of a single cell of a (a) Si PiN diode, (b) SiC Diode Lifespan In 2011, duan et al. Lifetimes at normal use temperatures. Laser diodes can provide stable frequency and power operation over long life times, but creating a system that can realize this operation is not. Standard pn junction diodes generally can well tolerate forward voltages, but are vulnerable to breakdown from backward. Diode lasers are in the realm of low 10. Diode Lifespan.
From www.lifewire.com
What Are Diodes and What Are They Used For? Diode Lifespan Lifetimes at normal use temperatures. In 2011, duan et al. Standard pn junction diodes generally can well tolerate forward voltages, but are vulnerable to breakdown from backward. Laser diodes can generally be expected to reach long lifetimes, often many tens of thousands of operation hours. They achieved a record high lifetime of over 150 000 h at an initial brightness. Diode Lifespan.