Waxes In Organic Chemistry . How are waxes like beeswax. Waxes are esters of fatty acids with long chain monohydric alcohols (one hydroxyl group). Explore the fascinating world of waxes in the realm of organic chemistry. The carboxylic acid usually has. Waxes are a class of lipids that are generally solid, waxy substances at room temperature. What are the primary components of waxes in organic chemistry, and where can they be sourced from? Identify waxes as being mixtures of long‑chain esters, and write the general structure for such compounds. This comprehensive guide delves into the meaning, chemical. Natural waxes are often mixtures of such esters, and. Identify fats and oils as being.
from wou.edu
The carboxylic acid usually has. What are the primary components of waxes in organic chemistry, and where can they be sourced from? Waxes are a class of lipids that are generally solid, waxy substances at room temperature. Identify fats and oils as being. This comprehensive guide delves into the meaning, chemical. How are waxes like beeswax. Natural waxes are often mixtures of such esters, and. Identify waxes as being mixtures of long‑chain esters, and write the general structure for such compounds. Explore the fascinating world of waxes in the realm of organic chemistry. Waxes are esters of fatty acids with long chain monohydric alcohols (one hydroxyl group).
CH103 Chapter 6 Natural Products and Organic Chemistry Chemistry
Waxes In Organic Chemistry What are the primary components of waxes in organic chemistry, and where can they be sourced from? Identify fats and oils as being. Waxes are esters of fatty acids with long chain monohydric alcohols (one hydroxyl group). This comprehensive guide delves into the meaning, chemical. Explore the fascinating world of waxes in the realm of organic chemistry. What are the primary components of waxes in organic chemistry, and where can they be sourced from? The carboxylic acid usually has. Natural waxes are often mixtures of such esters, and. How are waxes like beeswax. Identify waxes as being mixtures of long‑chain esters, and write the general structure for such compounds. Waxes are a class of lipids that are generally solid, waxy substances at room temperature.
From www.researchgate.net
Summary of waxes tested Download Table Waxes In Organic Chemistry Explore the fascinating world of waxes in the realm of organic chemistry. Waxes are esters of fatty acids with long chain monohydric alcohols (one hydroxyl group). Natural waxes are often mixtures of such esters, and. This comprehensive guide delves into the meaning, chemical. Identify fats and oils as being. The carboxylic acid usually has. Identify waxes as being mixtures of. Waxes In Organic Chemistry.
From stock.adobe.com
Organic molecules vector illustration. Labeled chemical educational Waxes In Organic Chemistry Identify fats and oils as being. This comprehensive guide delves into the meaning, chemical. Natural waxes are often mixtures of such esters, and. Waxes are a class of lipids that are generally solid, waxy substances at room temperature. Waxes are esters of fatty acids with long chain monohydric alcohols (one hydroxyl group). The carboxylic acid usually has. Identify waxes as. Waxes In Organic Chemistry.
From www.saubhaya.com
Chemical Makeup Of Wax Saubhaya Makeup Waxes In Organic Chemistry This comprehensive guide delves into the meaning, chemical. Identify fats and oils as being. Identify waxes as being mixtures of long‑chain esters, and write the general structure for such compounds. The carboxylic acid usually has. How are waxes like beeswax. What are the primary components of waxes in organic chemistry, and where can they be sourced from? Waxes are a. Waxes In Organic Chemistry.
From www.slideserve.com
PPT Lipids PowerPoint Presentation, free download ID6250806 Waxes In Organic Chemistry Identify fats and oils as being. This comprehensive guide delves into the meaning, chemical. How are waxes like beeswax. Identify waxes as being mixtures of long‑chain esters, and write the general structure for such compounds. What are the primary components of waxes in organic chemistry, and where can they be sourced from? Explore the fascinating world of waxes in the. Waxes In Organic Chemistry.
From www.docsity.com
Lipids, Waxes and Fats of Organic Chemistry Lecture Notes CH 332 Waxes In Organic Chemistry The carboxylic acid usually has. How are waxes like beeswax. Identify fats and oils as being. What are the primary components of waxes in organic chemistry, and where can they be sourced from? Explore the fascinating world of waxes in the realm of organic chemistry. Natural waxes are often mixtures of such esters, and. Waxes are a class of lipids. Waxes In Organic Chemistry.
From www.youtube.com
Survey of Organic Waxes, Triglycerides, & Phospholipids YouTube Waxes In Organic Chemistry What are the primary components of waxes in organic chemistry, and where can they be sourced from? The carboxylic acid usually has. Identify waxes as being mixtures of long‑chain esters, and write the general structure for such compounds. Waxes are esters of fatty acids with long chain monohydric alcohols (one hydroxyl group). Waxes are a class of lipids that are. Waxes In Organic Chemistry.
From courses.lumenlearning.com
17.1 Fatty Acids The Basics of General, Organic, and Biological Chemistry Waxes In Organic Chemistry The carboxylic acid usually has. Waxes are esters of fatty acids with long chain monohydric alcohols (one hydroxyl group). Natural waxes are often mixtures of such esters, and. This comprehensive guide delves into the meaning, chemical. Waxes are a class of lipids that are generally solid, waxy substances at room temperature. Identify waxes as being mixtures of long‑chain esters, and. Waxes In Organic Chemistry.
From shamrocktechnologies.com
Micronized Wax Shamrock Technologies Waxes In Organic Chemistry Explore the fascinating world of waxes in the realm of organic chemistry. Waxes are a class of lipids that are generally solid, waxy substances at room temperature. Waxes are esters of fatty acids with long chain monohydric alcohols (one hydroxyl group). What are the primary components of waxes in organic chemistry, and where can they be sourced from? Identify fats. Waxes In Organic Chemistry.
From ibiologia.com
Waxes Structure Functions Biochemistry Examples Waxes In Organic Chemistry Natural waxes are often mixtures of such esters, and. Waxes are a class of lipids that are generally solid, waxy substances at room temperature. Waxes are esters of fatty acids with long chain monohydric alcohols (one hydroxyl group). This comprehensive guide delves into the meaning, chemical. What are the primary components of waxes in organic chemistry, and where can they. Waxes In Organic Chemistry.
From www.scribd.com
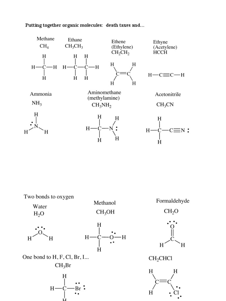
Putting Together Organic Molecules Death Taxes and PDF Molecules Waxes In Organic Chemistry Identify waxes as being mixtures of long‑chain esters, and write the general structure for such compounds. Natural waxes are often mixtures of such esters, and. The carboxylic acid usually has. Identify fats and oils as being. Explore the fascinating world of waxes in the realm of organic chemistry. Waxes are a class of lipids that are generally solid, waxy substances. Waxes In Organic Chemistry.
From slideplayer.com
Organic Chemistry Lecture 3 ppt download Waxes In Organic Chemistry Identify waxes as being mixtures of long‑chain esters, and write the general structure for such compounds. What are the primary components of waxes in organic chemistry, and where can they be sourced from? Waxes are esters of fatty acids with long chain monohydric alcohols (one hydroxyl group). How are waxes like beeswax. This comprehensive guide delves into the meaning, chemical.. Waxes In Organic Chemistry.
From www.globalspec.com
Waxes and Wax Compounds Selection Guide Types, Features, Applications Waxes In Organic Chemistry Waxes are a class of lipids that are generally solid, waxy substances at room temperature. What are the primary components of waxes in organic chemistry, and where can they be sourced from? Natural waxes are often mixtures of such esters, and. Identify waxes as being mixtures of long‑chain esters, and write the general structure for such compounds. Explore the fascinating. Waxes In Organic Chemistry.
From www.slideserve.com
PPT HL Chemistry Option B Human Biochemistry PowerPoint Waxes In Organic Chemistry Waxes are a class of lipids that are generally solid, waxy substances at room temperature. Identify waxes as being mixtures of long‑chain esters, and write the general structure for such compounds. Explore the fascinating world of waxes in the realm of organic chemistry. Identify fats and oils as being. Waxes are esters of fatty acids with long chain monohydric alcohols. Waxes In Organic Chemistry.
From www.scribd.com
Chemistry of Waxes PDF PDF Wax Alkane Waxes In Organic Chemistry How are waxes like beeswax. Waxes are esters of fatty acids with long chain monohydric alcohols (one hydroxyl group). This comprehensive guide delves into the meaning, chemical. Identify fats and oils as being. The carboxylic acid usually has. What are the primary components of waxes in organic chemistry, and where can they be sourced from? Identify waxes as being mixtures. Waxes In Organic Chemistry.
From warreninstitute.org
Mastering The Art Of Naming Organic Compounds With IUPAC Nomenclature Waxes In Organic Chemistry The carboxylic acid usually has. Natural waxes are often mixtures of such esters, and. Waxes are esters of fatty acids with long chain monohydric alcohols (one hydroxyl group). Waxes are a class of lipids that are generally solid, waxy substances at room temperature. Identify waxes as being mixtures of long‑chain esters, and write the general structure for such compounds. How. Waxes In Organic Chemistry.
From www.slideserve.com
PPT A biological compound that is not soluble in water, but is Waxes In Organic Chemistry Waxes are esters of fatty acids with long chain monohydric alcohols (one hydroxyl group). This comprehensive guide delves into the meaning, chemical. Identify waxes as being mixtures of long‑chain esters, and write the general structure for such compounds. The carboxylic acid usually has. Explore the fascinating world of waxes in the realm of organic chemistry. Identify fats and oils as. Waxes In Organic Chemistry.
From ibiologia.com
Waxes Structure Functions Biochemistry Examples Waxes In Organic Chemistry Identify fats and oils as being. What are the primary components of waxes in organic chemistry, and where can they be sourced from? Waxes are a class of lipids that are generally solid, waxy substances at room temperature. Identify waxes as being mixtures of long‑chain esters, and write the general structure for such compounds. Explore the fascinating world of waxes. Waxes In Organic Chemistry.
From www.studyorgo.com
Organic Chemistry of Lipids Waxes In Organic Chemistry Waxes are a class of lipids that are generally solid, waxy substances at room temperature. What are the primary components of waxes in organic chemistry, and where can they be sourced from? This comprehensive guide delves into the meaning, chemical. Explore the fascinating world of waxes in the realm of organic chemistry. Natural waxes are often mixtures of such esters,. Waxes In Organic Chemistry.
From www.neetexambooster.in
Organic chemistry Some basic principles and processes Important Waxes In Organic Chemistry Identify waxes as being mixtures of long‑chain esters, and write the general structure for such compounds. How are waxes like beeswax. Natural waxes are often mixtures of such esters, and. This comprehensive guide delves into the meaning, chemical. Explore the fascinating world of waxes in the realm of organic chemistry. Waxes are a class of lipids that are generally solid,. Waxes In Organic Chemistry.
From wou.edu
CH103 Chapter 6 Natural Products and Organic Chemistry Chemistry Waxes In Organic Chemistry Waxes are esters of fatty acids with long chain monohydric alcohols (one hydroxyl group). The carboxylic acid usually has. Identify waxes as being mixtures of long‑chain esters, and write the general structure for such compounds. Waxes are a class of lipids that are generally solid, waxy substances at room temperature. Explore the fascinating world of waxes in the realm of. Waxes In Organic Chemistry.
From slideplayer.com
Organic Chemistry Lecture 3 ppt download Waxes In Organic Chemistry What are the primary components of waxes in organic chemistry, and where can they be sourced from? Identify waxes as being mixtures of long‑chain esters, and write the general structure for such compounds. The carboxylic acid usually has. Identify fats and oils as being. Waxes are esters of fatty acids with long chain monohydric alcohols (one hydroxyl group). This comprehensive. Waxes In Organic Chemistry.
From slideplayer.com
Organic Chemistry Lecture 3 ppt download Waxes In Organic Chemistry Identify waxes as being mixtures of long‑chain esters, and write the general structure for such compounds. Natural waxes are often mixtures of such esters, and. The carboxylic acid usually has. Waxes are a class of lipids that are generally solid, waxy substances at room temperature. How are waxes like beeswax. Explore the fascinating world of waxes in the realm of. Waxes In Organic Chemistry.
From www.slideserve.com
PPT Waxes PowerPoint Presentation, free download ID9453206 Waxes In Organic Chemistry How are waxes like beeswax. Explore the fascinating world of waxes in the realm of organic chemistry. The carboxylic acid usually has. Identify fats and oils as being. What are the primary components of waxes in organic chemistry, and where can they be sourced from? Identify waxes as being mixtures of long‑chain esters, and write the general structure for such. Waxes In Organic Chemistry.
From www.scienceprofonline.com
What Is a Lipid? Organic Chemistry of Fats, Phospholipids, Waxes & Steroids Waxes In Organic Chemistry What are the primary components of waxes in organic chemistry, and where can they be sourced from? Identify fats and oils as being. Identify waxes as being mixtures of long‑chain esters, and write the general structure for such compounds. The carboxylic acid usually has. Explore the fascinating world of waxes in the realm of organic chemistry. How are waxes like. Waxes In Organic Chemistry.
From slideplayer.com
Organic Chemistry Lecture 3 ppt download Waxes In Organic Chemistry Natural waxes are often mixtures of such esters, and. Explore the fascinating world of waxes in the realm of organic chemistry. How are waxes like beeswax. Waxes are esters of fatty acids with long chain monohydric alcohols (one hydroxyl group). Identify fats and oils as being. This comprehensive guide delves into the meaning, chemical. Identify waxes as being mixtures of. Waxes In Organic Chemistry.
From www.youtube.com
What are Waxes? Structure, Ester Bond Formation, Occurrence and Waxes In Organic Chemistry The carboxylic acid usually has. Waxes are a class of lipids that are generally solid, waxy substances at room temperature. Identify waxes as being mixtures of long‑chain esters, and write the general structure for such compounds. This comprehensive guide delves into the meaning, chemical. Explore the fascinating world of waxes in the realm of organic chemistry. Natural waxes are often. Waxes In Organic Chemistry.
From slideplayer.com
Organic Chemistry Lecture 3 ppt download Waxes In Organic Chemistry What are the primary components of waxes in organic chemistry, and where can they be sourced from? Natural waxes are often mixtures of such esters, and. Identify fats and oils as being. How are waxes like beeswax. This comprehensive guide delves into the meaning, chemical. Explore the fascinating world of waxes in the realm of organic chemistry. Waxes are esters. Waxes In Organic Chemistry.
From inm-suit.blogspot.com
Beading Wax Composition / Dental Waxes Waxes are a diverse class of Waxes In Organic Chemistry This comprehensive guide delves into the meaning, chemical. How are waxes like beeswax. What are the primary components of waxes in organic chemistry, and where can they be sourced from? Identify waxes as being mixtures of long‑chain esters, and write the general structure for such compounds. Identify fats and oils as being. Waxes are a class of lipids that are. Waxes In Organic Chemistry.
From www.chem.ucla.edu
Illustrated Glossary of Organic Chemistry Wax Waxes In Organic Chemistry How are waxes like beeswax. The carboxylic acid usually has. Identify fats and oils as being. This comprehensive guide delves into the meaning, chemical. Explore the fascinating world of waxes in the realm of organic chemistry. Natural waxes are often mixtures of such esters, and. Waxes are a class of lipids that are generally solid, waxy substances at room temperature.. Waxes In Organic Chemistry.
From www.slideserve.com
PPT HL Chemistry Option B Human Biochemistry PowerPoint Waxes In Organic Chemistry Explore the fascinating world of waxes in the realm of organic chemistry. Natural waxes are often mixtures of such esters, and. Waxes are esters of fatty acids with long chain monohydric alcohols (one hydroxyl group). This comprehensive guide delves into the meaning, chemical. Identify waxes as being mixtures of long‑chain esters, and write the general structure for such compounds. How. Waxes In Organic Chemistry.
From www.slideserve.com
PPT Waxes PowerPoint Presentation, free download ID5425167 Waxes In Organic Chemistry How are waxes like beeswax. What are the primary components of waxes in organic chemistry, and where can they be sourced from? Explore the fascinating world of waxes in the realm of organic chemistry. Identify waxes as being mixtures of long‑chain esters, and write the general structure for such compounds. The carboxylic acid usually has. Natural waxes are often mixtures. Waxes In Organic Chemistry.
From www.slideserve.com
PPT LIPIDS PowerPoint Presentation, free download ID2815490 Waxes In Organic Chemistry This comprehensive guide delves into the meaning, chemical. How are waxes like beeswax. Explore the fascinating world of waxes in the realm of organic chemistry. What are the primary components of waxes in organic chemistry, and where can they be sourced from? The carboxylic acid usually has. Waxes are esters of fatty acids with long chain monohydric alcohols (one hydroxyl. Waxes In Organic Chemistry.
From shutterwaves.com
2IN1 ORGANIC CHEMISTRY Poster Chart with Functional Groups and ISOMERS Waxes In Organic Chemistry Waxes are esters of fatty acids with long chain monohydric alcohols (one hydroxyl group). Identify fats and oils as being. Identify waxes as being mixtures of long‑chain esters, and write the general structure for such compounds. What are the primary components of waxes in organic chemistry, and where can they be sourced from? How are waxes like beeswax. Natural waxes. Waxes In Organic Chemistry.
From slideplayer.com
Organic Chemistry Organic molecules that have a carbon skeleton and Waxes In Organic Chemistry Waxes are esters of fatty acids with long chain monohydric alcohols (one hydroxyl group). Waxes are a class of lipids that are generally solid, waxy substances at room temperature. The carboxylic acid usually has. Identify waxes as being mixtures of long‑chain esters, and write the general structure for such compounds. Natural waxes are often mixtures of such esters, and. Identify. Waxes In Organic Chemistry.
From chem.libretexts.org
Wax Chemistry LibreTexts Waxes In Organic Chemistry Waxes are esters of fatty acids with long chain monohydric alcohols (one hydroxyl group). Identify waxes as being mixtures of long‑chain esters, and write the general structure for such compounds. Natural waxes are often mixtures of such esters, and. The carboxylic acid usually has. Explore the fascinating world of waxes in the realm of organic chemistry. Waxes are a class. Waxes In Organic Chemistry.