Lc Limit Calculation . Read further to know the meaning of lc bill. So, lc discounting is a term used for ease in place of ‘lc bill discounting’, which means discounting of a bill backed by lc. The importer is the applicant of the lc, while the exporter is the beneficiary. Banks and financial institutions that provide trade finance, working capital finance, supply chain finance, and many more funding. At trade finance global we get asked numerous questions around letters of credit, so we've put together a list of the top. It limits actual withdrawal by the borrower without affecting the actual sanction limit of the loan. In an lc, the issuing bank promises to pay the mentioned amount as per the agreed timeline and.
from www.coursehero.com
At trade finance global we get asked numerous questions around letters of credit, so we've put together a list of the top. So, lc discounting is a term used for ease in place of ‘lc bill discounting’, which means discounting of a bill backed by lc. It limits actual withdrawal by the borrower without affecting the actual sanction limit of the loan. Read further to know the meaning of lc bill. The importer is the applicant of the lc, while the exporter is the beneficiary. In an lc, the issuing bank promises to pay the mentioned amount as per the agreed timeline and. Banks and financial institutions that provide trade finance, working capital finance, supply chain finance, and many more funding.
[Solved] Find liquid limit and plastic limit . Liquid limit data Test
Lc Limit Calculation Read further to know the meaning of lc bill. Banks and financial institutions that provide trade finance, working capital finance, supply chain finance, and many more funding. The importer is the applicant of the lc, while the exporter is the beneficiary. It limits actual withdrawal by the borrower without affecting the actual sanction limit of the loan. So, lc discounting is a term used for ease in place of ‘lc bill discounting’, which means discounting of a bill backed by lc. Read further to know the meaning of lc bill. At trade finance global we get asked numerous questions around letters of credit, so we've put together a list of the top. In an lc, the issuing bank promises to pay the mentioned amount as per the agreed timeline and.
From www.researchgate.net
Review and comparison of different methods for detection limit Lc Limit Calculation In an lc, the issuing bank promises to pay the mentioned amount as per the agreed timeline and. So, lc discounting is a term used for ease in place of ‘lc bill discounting’, which means discounting of a bill backed by lc. Read further to know the meaning of lc bill. The importer is the applicant of the lc, while. Lc Limit Calculation.
From www.researchgate.net
Linearity and lower limit of quantification (LLOQ) of the LCMS/MS Lc Limit Calculation In an lc, the issuing bank promises to pay the mentioned amount as per the agreed timeline and. Banks and financial institutions that provide trade finance, working capital finance, supply chain finance, and many more funding. Read further to know the meaning of lc bill. So, lc discounting is a term used for ease in place of ‘lc bill discounting’,. Lc Limit Calculation.
From www.youtube.com
How to Solve Any Limit problem Calculus limits for beginners Limits Lc Limit Calculation In an lc, the issuing bank promises to pay the mentioned amount as per the agreed timeline and. The importer is the applicant of the lc, while the exporter is the beneficiary. Banks and financial institutions that provide trade finance, working capital finance, supply chain finance, and many more funding. So, lc discounting is a term used for ease in. Lc Limit Calculation.
From www.researchgate.net
Calculation of LC 50 value for nhexane extract (LC 50 = antilog Lc Limit Calculation At trade finance global we get asked numerous questions around letters of credit, so we've put together a list of the top. Banks and financial institutions that provide trade finance, working capital finance, supply chain finance, and many more funding. Read further to know the meaning of lc bill. It limits actual withdrawal by the borrower without affecting the actual. Lc Limit Calculation.
From www.youtube.com
How to calculate Control Limits (LCL & UCL) of U chart excel & Minitab Lc Limit Calculation So, lc discounting is a term used for ease in place of ‘lc bill discounting’, which means discounting of a bill backed by lc. In an lc, the issuing bank promises to pay the mentioned amount as per the agreed timeline and. The importer is the applicant of the lc, while the exporter is the beneficiary. Read further to know. Lc Limit Calculation.
From www.slideserve.com
PPT LETTER OF CREDIT PowerPoint Presentation, free download ID3470807 Lc Limit Calculation At trade finance global we get asked numerous questions around letters of credit, so we've put together a list of the top. So, lc discounting is a term used for ease in place of ‘lc bill discounting’, which means discounting of a bill backed by lc. Banks and financial institutions that provide trade finance, working capital finance, supply chain finance,. Lc Limit Calculation.
From www.slideserve.com
PPT LETTER OF CREDIT PowerPoint Presentation, free download ID3470807 Lc Limit Calculation Read further to know the meaning of lc bill. It limits actual withdrawal by the borrower without affecting the actual sanction limit of the loan. The importer is the applicant of the lc, while the exporter is the beneficiary. Banks and financial institutions that provide trade finance, working capital finance, supply chain finance, and many more funding. In an lc,. Lc Limit Calculation.
From www.researchgate.net
Limit cycle LC 5 2. This limit cycle is the solution trajectory of the Lc Limit Calculation Read further to know the meaning of lc bill. Banks and financial institutions that provide trade finance, working capital finance, supply chain finance, and many more funding. So, lc discounting is a term used for ease in place of ‘lc bill discounting’, which means discounting of a bill backed by lc. At trade finance global we get asked numerous questions. Lc Limit Calculation.
From www.slideserve.com
PPT Inductance PowerPoint Presentation ID726757 Lc Limit Calculation At trade finance global we get asked numerous questions around letters of credit, so we've put together a list of the top. So, lc discounting is a term used for ease in place of ‘lc bill discounting’, which means discounting of a bill backed by lc. In an lc, the issuing bank promises to pay the mentioned amount as per. Lc Limit Calculation.
From calcworkshop.com
Limits Review Lc Limit Calculation Banks and financial institutions that provide trade finance, working capital finance, supply chain finance, and many more funding. The importer is the applicant of the lc, while the exporter is the beneficiary. So, lc discounting is a term used for ease in place of ‘lc bill discounting’, which means discounting of a bill backed by lc. It limits actual withdrawal. Lc Limit Calculation.
From www.youtube.com
How to calculate LOD and LOQ by excel limit of detection limit of Lc Limit Calculation It limits actual withdrawal by the borrower without affecting the actual sanction limit of the loan. Banks and financial institutions that provide trade finance, working capital finance, supply chain finance, and many more funding. In an lc, the issuing bank promises to pay the mentioned amount as per the agreed timeline and. So, lc discounting is a term used for. Lc Limit Calculation.
From www.researchgate.net
Representative calibration curve showing limits of linearity, limit of Lc Limit Calculation The importer is the applicant of the lc, while the exporter is the beneficiary. At trade finance global we get asked numerous questions around letters of credit, so we've put together a list of the top. It limits actual withdrawal by the borrower without affecting the actual sanction limit of the loan. So, lc discounting is a term used for. Lc Limit Calculation.
From www.researchgate.net
Equations for quantification of analyte concentration using ratiometric Lc Limit Calculation It limits actual withdrawal by the borrower without affecting the actual sanction limit of the loan. Read further to know the meaning of lc bill. At trade finance global we get asked numerous questions around letters of credit, so we've put together a list of the top. The importer is the applicant of the lc, while the exporter is the. Lc Limit Calculation.
From getcalc.com
RLC Circuit Equivalent Impedance Calculator Lc Limit Calculation In an lc, the issuing bank promises to pay the mentioned amount as per the agreed timeline and. Banks and financial institutions that provide trade finance, working capital finance, supply chain finance, and many more funding. The importer is the applicant of the lc, while the exporter is the beneficiary. So, lc discounting is a term used for ease in. Lc Limit Calculation.
From www.coursehero.com
[Solved] Find liquid limit and plastic limit . Liquid limit data Test Lc Limit Calculation At trade finance global we get asked numerous questions around letters of credit, so we've put together a list of the top. Read further to know the meaning of lc bill. In an lc, the issuing bank promises to pay the mentioned amount as per the agreed timeline and. So, lc discounting is a term used for ease in place. Lc Limit Calculation.
From www.slideshare.net
Qa.spc Lc Limit Calculation The importer is the applicant of the lc, while the exporter is the beneficiary. It limits actual withdrawal by the borrower without affecting the actual sanction limit of the loan. Banks and financial institutions that provide trade finance, working capital finance, supply chain finance, and many more funding. So, lc discounting is a term used for ease in place of. Lc Limit Calculation.
From www.youtube.com
Calculating Control Limits for a c chart by hand YouTube Lc Limit Calculation Read further to know the meaning of lc bill. In an lc, the issuing bank promises to pay the mentioned amount as per the agreed timeline and. Banks and financial institutions that provide trade finance, working capital finance, supply chain finance, and many more funding. The importer is the applicant of the lc, while the exporter is the beneficiary. So,. Lc Limit Calculation.
From www.slideserve.com
PPT LETTER OF CREDIT PowerPoint Presentation, free download ID3470807 Lc Limit Calculation Banks and financial institutions that provide trade finance, working capital finance, supply chain finance, and many more funding. In an lc, the issuing bank promises to pay the mentioned amount as per the agreed timeline and. The importer is the applicant of the lc, while the exporter is the beneficiary. At trade finance global we get asked numerous questions around. Lc Limit Calculation.
From www.numerade.com
SOLVED The angular frequency related with the period of the Lc Limit Calculation So, lc discounting is a term used for ease in place of ‘lc bill discounting’, which means discounting of a bill backed by lc. Read further to know the meaning of lc bill. The importer is the applicant of the lc, while the exporter is the beneficiary. It limits actual withdrawal by the borrower without affecting the actual sanction limit. Lc Limit Calculation.
From www.researchgate.net
Continuation of system (10) starting from Hopfpoint. LC = Limit point Lc Limit Calculation So, lc discounting is a term used for ease in place of ‘lc bill discounting’, which means discounting of a bill backed by lc. At trade finance global we get asked numerous questions around letters of credit, so we've put together a list of the top. Read further to know the meaning of lc bill. In an lc, the issuing. Lc Limit Calculation.
From www.inchcalculator.com
Central Limit Theorem Calculator Inch Calculator Lc Limit Calculation In an lc, the issuing bank promises to pay the mentioned amount as per the agreed timeline and. So, lc discounting is a term used for ease in place of ‘lc bill discounting’, which means discounting of a bill backed by lc. Read further to know the meaning of lc bill. The importer is the applicant of the lc, while. Lc Limit Calculation.
From www.youtube.com
Worksheet for Assessment/Calculation of LC Limit YouTube Lc Limit Calculation So, lc discounting is a term used for ease in place of ‘lc bill discounting’, which means discounting of a bill backed by lc. Read further to know the meaning of lc bill. Banks and financial institutions that provide trade finance, working capital finance, supply chain finance, and many more funding. It limits actual withdrawal by the borrower without affecting. Lc Limit Calculation.
From www.educba.com
Central Limit Theorem Formula Calculator (Excel Template) Lc Limit Calculation At trade finance global we get asked numerous questions around letters of credit, so we've put together a list of the top. Banks and financial institutions that provide trade finance, working capital finance, supply chain finance, and many more funding. Read further to know the meaning of lc bill. In an lc, the issuing bank promises to pay the mentioned. Lc Limit Calculation.
From www.chegg.com
Solved 3 LC parallel a) Calculate the values and enter them Lc Limit Calculation Read further to know the meaning of lc bill. So, lc discounting is a term used for ease in place of ‘lc bill discounting’, which means discounting of a bill backed by lc. At trade finance global we get asked numerous questions around letters of credit, so we've put together a list of the top. Banks and financial institutions that. Lc Limit Calculation.
From brianschilling.gumroad.com
The Essential Guide to Calculus Limits Lc Limit Calculation Banks and financial institutions that provide trade finance, working capital finance, supply chain finance, and many more funding. It limits actual withdrawal by the borrower without affecting the actual sanction limit of the loan. In an lc, the issuing bank promises to pay the mentioned amount as per the agreed timeline and. The importer is the applicant of the lc,. Lc Limit Calculation.
From owlcation.com
Limit Laws and Evaluating Limits Owlcation Lc Limit Calculation It limits actual withdrawal by the borrower without affecting the actual sanction limit of the loan. So, lc discounting is a term used for ease in place of ‘lc bill discounting’, which means discounting of a bill backed by lc. The importer is the applicant of the lc, while the exporter is the beneficiary. Banks and financial institutions that provide. Lc Limit Calculation.
From sciencecalx.com
LC Resonance Frequency Calculator ScienceCalx Lc Limit Calculation In an lc, the issuing bank promises to pay the mentioned amount as per the agreed timeline and. Read further to know the meaning of lc bill. The importer is the applicant of the lc, while the exporter is the beneficiary. So, lc discounting is a term used for ease in place of ‘lc bill discounting’, which means discounting of. Lc Limit Calculation.
From physicscalculatorpro.com
LC Resonance Calculator How do you Calculate LC Circuit Resonance Lc Limit Calculation The importer is the applicant of the lc, while the exporter is the beneficiary. In an lc, the issuing bank promises to pay the mentioned amount as per the agreed timeline and. At trade finance global we get asked numerous questions around letters of credit, so we've put together a list of the top. Read further to know the meaning. Lc Limit Calculation.
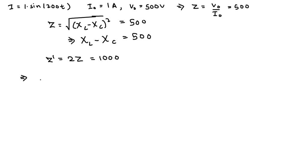
From www.numerade.com
SOLVED In LC circuit; the current equation is 1=1.0 sin (200t). If Lc Limit Calculation Read further to know the meaning of lc bill. At trade finance global we get asked numerous questions around letters of credit, so we've put together a list of the top. Banks and financial institutions that provide trade finance, working capital finance, supply chain finance, and many more funding. In an lc, the issuing bank promises to pay the mentioned. Lc Limit Calculation.
From www.researchgate.net
Theoretical predictions for the critical size Lc in the slow and fast Lc Limit Calculation It limits actual withdrawal by the borrower without affecting the actual sanction limit of the loan. So, lc discounting is a term used for ease in place of ‘lc bill discounting’, which means discounting of a bill backed by lc. Read further to know the meaning of lc bill. Banks and financial institutions that provide trade finance, working capital finance,. Lc Limit Calculation.
From www.cuemath.com
Limit Formula What is Limit Formula?, Examples Lc Limit Calculation Read further to know the meaning of lc bill. At trade finance global we get asked numerous questions around letters of credit, so we've put together a list of the top. The importer is the applicant of the lc, while the exporter is the beneficiary. In an lc, the issuing bank promises to pay the mentioned amount as per the. Lc Limit Calculation.
From www.researchgate.net
LC/MS calibration curves for IEM1925 and IEM1460. (A) The LC/MS Lc Limit Calculation At trade finance global we get asked numerous questions around letters of credit, so we've put together a list of the top. Read further to know the meaning of lc bill. So, lc discounting is a term used for ease in place of ‘lc bill discounting’, which means discounting of a bill backed by lc. Banks and financial institutions that. Lc Limit Calculation.
From www.teachoo.com
Limits Formula Sheet Chapter 13 Class 11 Maths Formulas Teachoo Lc Limit Calculation In an lc, the issuing bank promises to pay the mentioned amount as per the agreed timeline and. Banks and financial institutions that provide trade finance, working capital finance, supply chain finance, and many more funding. It limits actual withdrawal by the borrower without affecting the actual sanction limit of the loan. So, lc discounting is a term used for. Lc Limit Calculation.
From www.youtube.com
Letter of Credit Limit Calculation Non Fund Based Credit Facilities Lc Limit Calculation Read further to know the meaning of lc bill. The importer is the applicant of the lc, while the exporter is the beneficiary. At trade finance global we get asked numerous questions around letters of credit, so we've put together a list of the top. Banks and financial institutions that provide trade finance, working capital finance, supply chain finance, and. Lc Limit Calculation.
From www.tessshebaylo.com
Lc Circuit Equations Tessshebaylo Lc Limit Calculation It limits actual withdrawal by the borrower without affecting the actual sanction limit of the loan. In an lc, the issuing bank promises to pay the mentioned amount as per the agreed timeline and. At trade finance global we get asked numerous questions around letters of credit, so we've put together a list of the top. So, lc discounting is. Lc Limit Calculation.