Filter Define Transfer Function . The transfer function of a first and second order low pass filters are presented along with the cutoff frequencies. The concept of a transfer function is applicable in situations where the inputs are all in a sinusoidal steady state, i.e. The order of a transfer. Suppose that a filter’s transfer function can be written as a simplified fraction of two polynomials, i.e., h(jω) = p(ω) q(ω).
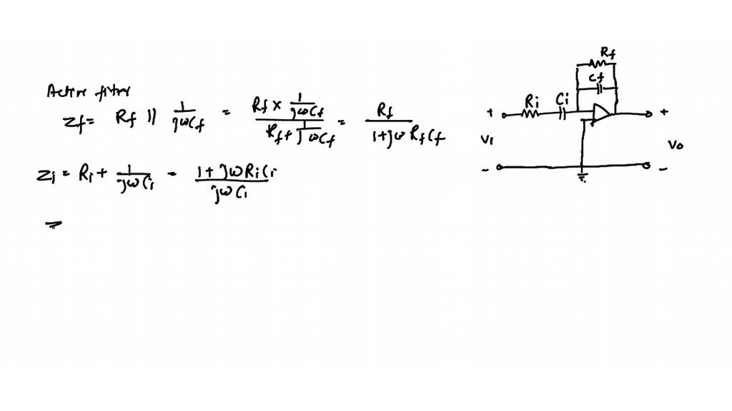
from electronics.stackexchange.com
The transfer function of a first and second order low pass filters are presented along with the cutoff frequencies. Suppose that a filter’s transfer function can be written as a simplified fraction of two polynomials, i.e., h(jω) = p(ω) q(ω). The concept of a transfer function is applicable in situations where the inputs are all in a sinusoidal steady state, i.e. The order of a transfer.
operational amplifier Transfer Function for active filter
Filter Define Transfer Function The concept of a transfer function is applicable in situations where the inputs are all in a sinusoidal steady state, i.e. Suppose that a filter’s transfer function can be written as a simplified fraction of two polynomials, i.e., h(jω) = p(ω) q(ω). The order of a transfer. The transfer function of a first and second order low pass filters are presented along with the cutoff frequencies. The concept of a transfer function is applicable in situations where the inputs are all in a sinusoidal steady state, i.e.
From www.slideserve.com
PPT Properties of Filter (Transfer Function) PowerPoint Presentation Filter Define Transfer Function Suppose that a filter’s transfer function can be written as a simplified fraction of two polynomials, i.e., h(jω) = p(ω) q(ω). The order of a transfer. The concept of a transfer function is applicable in situations where the inputs are all in a sinusoidal steady state, i.e. The transfer function of a first and second order low pass filters are. Filter Define Transfer Function.
From www.slideserve.com
PPT Properties of Filter (Transfer Function) PowerPoint Presentation Filter Define Transfer Function The order of a transfer. The transfer function of a first and second order low pass filters are presented along with the cutoff frequencies. Suppose that a filter’s transfer function can be written as a simplified fraction of two polynomials, i.e., h(jω) = p(ω) q(ω). The concept of a transfer function is applicable in situations where the inputs are all. Filter Define Transfer Function.
From www.researchgate.net
Filter transfer functions. Download Scientific Diagram Filter Define Transfer Function The transfer function of a first and second order low pass filters are presented along with the cutoff frequencies. Suppose that a filter’s transfer function can be written as a simplified fraction of two polynomials, i.e., h(jω) = p(ω) q(ω). The concept of a transfer function is applicable in situations where the inputs are all in a sinusoidal steady state,. Filter Define Transfer Function.
From www.numerade.com
SOLVEDDefine the transfer function for a filter. Describe how the Filter Define Transfer Function The concept of a transfer function is applicable in situations where the inputs are all in a sinusoidal steady state, i.e. Suppose that a filter’s transfer function can be written as a simplified fraction of two polynomials, i.e., h(jω) = p(ω) q(ω). The order of a transfer. The transfer function of a first and second order low pass filters are. Filter Define Transfer Function.
From www.slideserve.com
PPT Cascaded Integrator Comb Filter PowerPoint Presentation, free Filter Define Transfer Function The concept of a transfer function is applicable in situations where the inputs are all in a sinusoidal steady state, i.e. Suppose that a filter’s transfer function can be written as a simplified fraction of two polynomials, i.e., h(jω) = p(ω) q(ω). The transfer function of a first and second order low pass filters are presented along with the cutoff. Filter Define Transfer Function.
From digitalsoundandmusic.com
7.3.5 Defining FIR and IIR Filters with ZTransforms, Filter Diagrams Filter Define Transfer Function The concept of a transfer function is applicable in situations where the inputs are all in a sinusoidal steady state, i.e. The transfer function of a first and second order low pass filters are presented along with the cutoff frequencies. Suppose that a filter’s transfer function can be written as a simplified fraction of two polynomials, i.e., h(jω) = p(ω). Filter Define Transfer Function.
From www.researchgate.net
Proposed Optical Filters Transfer function Download Scientific Diagram Filter Define Transfer Function Suppose that a filter’s transfer function can be written as a simplified fraction of two polynomials, i.e., h(jω) = p(ω) q(ω). The order of a transfer. The concept of a transfer function is applicable in situations where the inputs are all in a sinusoidal steady state, i.e. The transfer function of a first and second order low pass filters are. Filter Define Transfer Function.
From www.slideserve.com
PPT Chapter 6 PowerPoint Presentation, free download ID572272 Filter Define Transfer Function Suppose that a filter’s transfer function can be written as a simplified fraction of two polynomials, i.e., h(jω) = p(ω) q(ω). The concept of a transfer function is applicable in situations where the inputs are all in a sinusoidal steady state, i.e. The transfer function of a first and second order low pass filters are presented along with the cutoff. Filter Define Transfer Function.
From control.com
Transfer Function Analysis Basic Alternating Current (AC) Theory Filter Define Transfer Function The concept of a transfer function is applicable in situations where the inputs are all in a sinusoidal steady state, i.e. The transfer function of a first and second order low pass filters are presented along with the cutoff frequencies. The order of a transfer. Suppose that a filter’s transfer function can be written as a simplified fraction of two. Filter Define Transfer Function.
From www.youtube.com
Second Order Filter Transfer Function What is the General Form Filter Define Transfer Function The concept of a transfer function is applicable in situations where the inputs are all in a sinusoidal steady state, i.e. Suppose that a filter’s transfer function can be written as a simplified fraction of two polynomials, i.e., h(jω) = p(ω) q(ω). The transfer function of a first and second order low pass filters are presented along with the cutoff. Filter Define Transfer Function.
From usermanualaduncity.z13.web.core.windows.net
Active High Pass Filter Transfer Function Filter Define Transfer Function The transfer function of a first and second order low pass filters are presented along with the cutoff frequencies. The concept of a transfer function is applicable in situations where the inputs are all in a sinusoidal steady state, i.e. Suppose that a filter’s transfer function can be written as a simplified fraction of two polynomials, i.e., h(jω) = p(ω). Filter Define Transfer Function.
From www.physicsforums.com
Transfer function of cascaded filters Filter Define Transfer Function Suppose that a filter’s transfer function can be written as a simplified fraction of two polynomials, i.e., h(jω) = p(ω) q(ω). The order of a transfer. The concept of a transfer function is applicable in situations where the inputs are all in a sinusoidal steady state, i.e. The transfer function of a first and second order low pass filters are. Filter Define Transfer Function.
From www.slideserve.com
PPT Introduction to Filters PowerPoint Presentation, free download Filter Define Transfer Function The transfer function of a first and second order low pass filters are presented along with the cutoff frequencies. The concept of a transfer function is applicable in situations where the inputs are all in a sinusoidal steady state, i.e. The order of a transfer. Suppose that a filter’s transfer function can be written as a simplified fraction of two. Filter Define Transfer Function.
From www.slideserve.com
PPT Lecture 15 ContinuousTime Transfer Functions PowerPoint Filter Define Transfer Function The order of a transfer. The concept of a transfer function is applicable in situations where the inputs are all in a sinusoidal steady state, i.e. The transfer function of a first and second order low pass filters are presented along with the cutoff frequencies. Suppose that a filter’s transfer function can be written as a simplified fraction of two. Filter Define Transfer Function.
From www.researchgate.net
Magnitude of the three transfer functions Lfilter, ideal LCLfilter Filter Define Transfer Function The order of a transfer. The transfer function of a first and second order low pass filters are presented along with the cutoff frequencies. Suppose that a filter’s transfer function can be written as a simplified fraction of two polynomials, i.e., h(jω) = p(ω) q(ω). The concept of a transfer function is applicable in situations where the inputs are all. Filter Define Transfer Function.
From www.chegg.com
Solved The transfer function of a continuous lowpass filter Filter Define Transfer Function Suppose that a filter’s transfer function can be written as a simplified fraction of two polynomials, i.e., h(jω) = p(ω) q(ω). The concept of a transfer function is applicable in situations where the inputs are all in a sinusoidal steady state, i.e. The transfer function of a first and second order low pass filters are presented along with the cutoff. Filter Define Transfer Function.
From www.slideserve.com
PPT Implementation of Digital Filters in FPGA’s PowerPoint Filter Define Transfer Function Suppose that a filter’s transfer function can be written as a simplified fraction of two polynomials, i.e., h(jω) = p(ω) q(ω). The concept of a transfer function is applicable in situations where the inputs are all in a sinusoidal steady state, i.e. The transfer function of a first and second order low pass filters are presented along with the cutoff. Filter Define Transfer Function.
From www.slideserve.com
PPT Active Filters PowerPoint Presentation, free download ID7021104 Filter Define Transfer Function Suppose that a filter’s transfer function can be written as a simplified fraction of two polynomials, i.e., h(jω) = p(ω) q(ω). The order of a transfer. The transfer function of a first and second order low pass filters are presented along with the cutoff frequencies. The concept of a transfer function is applicable in situations where the inputs are all. Filter Define Transfer Function.
From www.chegg.com
Solved LOW PASS FILTER Find the transfer function, Filter Define Transfer Function The order of a transfer. The transfer function of a first and second order low pass filters are presented along with the cutoff frequencies. The concept of a transfer function is applicable in situations where the inputs are all in a sinusoidal steady state, i.e. Suppose that a filter’s transfer function can be written as a simplified fraction of two. Filter Define Transfer Function.
From www.slideserve.com
PPT Cascaded Integrator Comb Filter PowerPoint Presentation ID6357699 Filter Define Transfer Function Suppose that a filter’s transfer function can be written as a simplified fraction of two polynomials, i.e., h(jω) = p(ω) q(ω). The order of a transfer. The concept of a transfer function is applicable in situations where the inputs are all in a sinusoidal steady state, i.e. The transfer function of a first and second order low pass filters are. Filter Define Transfer Function.
From www.youtube.com
Plotting Analog Filter Transfer Functions in the splane YouTube Filter Define Transfer Function The transfer function of a first and second order low pass filters are presented along with the cutoff frequencies. The concept of a transfer function is applicable in situations where the inputs are all in a sinusoidal steady state, i.e. The order of a transfer. Suppose that a filter’s transfer function can be written as a simplified fraction of two. Filter Define Transfer Function.
From www.slideserve.com
PPT Chapter 7 Finite Impulse Response(FIR) Filter Design PowerPoint Filter Define Transfer Function The concept of a transfer function is applicable in situations where the inputs are all in a sinusoidal steady state, i.e. The order of a transfer. The transfer function of a first and second order low pass filters are presented along with the cutoff frequencies. Suppose that a filter’s transfer function can be written as a simplified fraction of two. Filter Define Transfer Function.
From www.slideserve.com
PPT Chap. 14 Introduction to Frequency Selective Circuits PowerPoint Filter Define Transfer Function The concept of a transfer function is applicable in situations where the inputs are all in a sinusoidal steady state, i.e. The transfer function of a first and second order low pass filters are presented along with the cutoff frequencies. Suppose that a filter’s transfer function can be written as a simplified fraction of two polynomials, i.e., h(jω) = p(ω). Filter Define Transfer Function.
From www.researchgate.net
The Bode diagram of the LCL filter transfer function for different Filter Define Transfer Function The concept of a transfer function is applicable in situations where the inputs are all in a sinusoidal steady state, i.e. The order of a transfer. Suppose that a filter’s transfer function can be written as a simplified fraction of two polynomials, i.e., h(jω) = p(ω) q(ω). The transfer function of a first and second order low pass filters are. Filter Define Transfer Function.
From www.slideserve.com
PPT Chapter 2. Fourier Representation of Signals and Systems Filter Define Transfer Function The order of a transfer. The concept of a transfer function is applicable in situations where the inputs are all in a sinusoidal steady state, i.e. The transfer function of a first and second order low pass filters are presented along with the cutoff frequencies. Suppose that a filter’s transfer function can be written as a simplified fraction of two. Filter Define Transfer Function.
From itecnotes.com
RC Filter Is This Cascaded RC Filter Transfer Function Explanation Filter Define Transfer Function The order of a transfer. The transfer function of a first and second order low pass filters are presented along with the cutoff frequencies. Suppose that a filter’s transfer function can be written as a simplified fraction of two polynomials, i.e., h(jω) = p(ω) q(ω). The concept of a transfer function is applicable in situations where the inputs are all. Filter Define Transfer Function.
From www.youtube.com
Identify the type of filter from given transfer functions (IIR LPF Filter Define Transfer Function The transfer function of a first and second order low pass filters are presented along with the cutoff frequencies. Suppose that a filter’s transfer function can be written as a simplified fraction of two polynomials, i.e., h(jω) = p(ω) q(ω). The order of a transfer. The concept of a transfer function is applicable in situations where the inputs are all. Filter Define Transfer Function.
From www.youtube.com
RC High pass filter Transfer function and frequency response YouTube Filter Define Transfer Function The order of a transfer. Suppose that a filter’s transfer function can be written as a simplified fraction of two polynomials, i.e., h(jω) = p(ω) q(ω). The concept of a transfer function is applicable in situations where the inputs are all in a sinusoidal steady state, i.e. The transfer function of a first and second order low pass filters are. Filter Define Transfer Function.
From www.chegg.com
Solved Two filters with transfer functions H1 (z) = 1+z^1 + Filter Define Transfer Function Suppose that a filter’s transfer function can be written as a simplified fraction of two polynomials, i.e., h(jω) = p(ω) q(ω). The transfer function of a first and second order low pass filters are presented along with the cutoff frequencies. The concept of a transfer function is applicable in situations where the inputs are all in a sinusoidal steady state,. Filter Define Transfer Function.
From guidedbcindy.z21.web.core.windows.net
Active High Pass Filter Transfer Function Filter Define Transfer Function The concept of a transfer function is applicable in situations where the inputs are all in a sinusoidal steady state, i.e. Suppose that a filter’s transfer function can be written as a simplified fraction of two polynomials, i.e., h(jω) = p(ω) q(ω). The transfer function of a first and second order low pass filters are presented along with the cutoff. Filter Define Transfer Function.
From www.youtube.com
Frequency Response and Transfer function of an Op Amp based second Filter Define Transfer Function Suppose that a filter’s transfer function can be written as a simplified fraction of two polynomials, i.e., h(jω) = p(ω) q(ω). The order of a transfer. The transfer function of a first and second order low pass filters are presented along with the cutoff frequencies. The concept of a transfer function is applicable in situations where the inputs are all. Filter Define Transfer Function.
From www.slideserve.com
PPT Filter & Transfer Function PowerPoint Presentation, free download Filter Define Transfer Function The transfer function of a first and second order low pass filters are presented along with the cutoff frequencies. The concept of a transfer function is applicable in situations where the inputs are all in a sinusoidal steady state, i.e. The order of a transfer. Suppose that a filter’s transfer function can be written as a simplified fraction of two. Filter Define Transfer Function.
From electronics.stackexchange.com
operational amplifier Transfer Function for active filter Filter Define Transfer Function The concept of a transfer function is applicable in situations where the inputs are all in a sinusoidal steady state, i.e. Suppose that a filter’s transfer function can be written as a simplified fraction of two polynomials, i.e., h(jω) = p(ω) q(ω). The order of a transfer. The transfer function of a first and second order low pass filters are. Filter Define Transfer Function.
From www.youtube.com
Transfer function of FIRST ORDER LOW PASS FILTER Opamp Low Pass Filter Define Transfer Function The order of a transfer. Suppose that a filter’s transfer function can be written as a simplified fraction of two polynomials, i.e., h(jω) = p(ω) q(ω). The transfer function of a first and second order low pass filters are presented along with the cutoff frequencies. The concept of a transfer function is applicable in situations where the inputs are all. Filter Define Transfer Function.
From www.slideserve.com
PPT CHAPTER 6 INTRODUCTION TO PASSIVE FILTERS PowerPoint Filter Define Transfer Function The transfer function of a first and second order low pass filters are presented along with the cutoff frequencies. Suppose that a filter’s transfer function can be written as a simplified fraction of two polynomials, i.e., h(jω) = p(ω) q(ω). The order of a transfer. The concept of a transfer function is applicable in situations where the inputs are all. Filter Define Transfer Function.