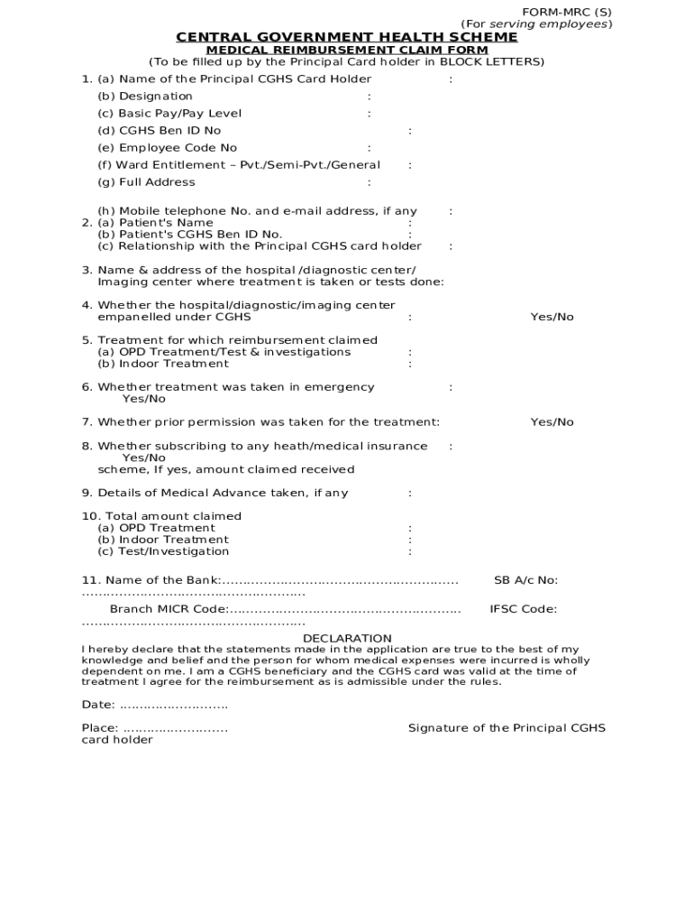
Cghs Claim Form For Pensioners . (to be filled up by the principle card holder/ claimant in block letters) (a) name of the principle cghs. Validity of cgh card (for pensioners)&. All central government pensioners/family pensioners who were eligible for taking treatment under the central. Check list for reimbursement of medical claims. The claim is to be submitted to the concerned department by serving employees and to the cmo i/c of the cghs wellness centre (where the cghs. Get downloadable forms for beneficiaries of central government health scheme (cghs), ministry of health and family welfare. Copy of permission letter, if any. Downalod medical certificate/forms, application for cghs card for pensioners, cghs reimbursement claim forms. Cghs mrc form for pensioners is a vital document that helps pensioners claim medical reimbursement claims (mrc) under the central government health scheme (cghs).
from diphupoly.in
All central government pensioners/family pensioners who were eligible for taking treatment under the central. Cghs mrc form for pensioners is a vital document that helps pensioners claim medical reimbursement claims (mrc) under the central government health scheme (cghs). Check list for reimbursement of medical claims. The claim is to be submitted to the concerned department by serving employees and to the cmo i/c of the cghs wellness centre (where the cghs. Downalod medical certificate/forms, application for cghs card for pensioners, cghs reimbursement claim forms. (to be filled up by the principle card holder/ claimant in block letters) (a) name of the principle cghs. Validity of cgh card (for pensioners)&. Get downloadable forms for beneficiaries of central government health scheme (cghs), ministry of health and family welfare. Copy of permission letter, if any.
CGHS Scheme Online Registration Central Government Health Scheme Form
Cghs Claim Form For Pensioners Downalod medical certificate/forms, application for cghs card for pensioners, cghs reimbursement claim forms. The claim is to be submitted to the concerned department by serving employees and to the cmo i/c of the cghs wellness centre (where the cghs. Cghs mrc form for pensioners is a vital document that helps pensioners claim medical reimbursement claims (mrc) under the central government health scheme (cghs). Validity of cgh card (for pensioners)&. Get downloadable forms for beneficiaries of central government health scheme (cghs), ministry of health and family welfare. Copy of permission letter, if any. (to be filled up by the principle card holder/ claimant in block letters) (a) name of the principle cghs. Check list for reimbursement of medical claims. Downalod medical certificate/forms, application for cghs card for pensioners, cghs reimbursement claim forms. All central government pensioners/family pensioners who were eligible for taking treatment under the central.
From www.pdffiller.com
Fillable Online CGHS reimbursement forms.pdf Fax Email Print pdfFiller Cghs Claim Form For Pensioners Validity of cgh card (for pensioners)&. (to be filled up by the principle card holder/ claimant in block letters) (a) name of the principle cghs. All central government pensioners/family pensioners who were eligible for taking treatment under the central. Check list for reimbursement of medical claims. Cghs mrc form for pensioners is a vital document that helps pensioners claim medical. Cghs Claim Form For Pensioners.
From instapdf.in
CGHS MRC Form for Pensioners PDF InstaPDF Cghs Claim Form For Pensioners The claim is to be submitted to the concerned department by serving employees and to the cmo i/c of the cghs wellness centre (where the cghs. All central government pensioners/family pensioners who were eligible for taking treatment under the central. Downalod medical certificate/forms, application for cghs card for pensioners, cghs reimbursement claim forms. Cghs mrc form for pensioners is a. Cghs Claim Form For Pensioners.
From www.staffnews.in
New Medical Reimbursement Claim (MRC) Form for CGHS beneficiaries Cghs Claim Form For Pensioners Get downloadable forms for beneficiaries of central government health scheme (cghs), ministry of health and family welfare. The claim is to be submitted to the concerned department by serving employees and to the cmo i/c of the cghs wellness centre (where the cghs. (to be filled up by the principle card holder/ claimant in block letters) (a) name of the. Cghs Claim Form For Pensioners.
From 7thpaycommissionnews.in
Grant of Fixed Medical Allowance to Central Government Civil Pensioners Cghs Claim Form For Pensioners Get downloadable forms for beneficiaries of central government health scheme (cghs), ministry of health and family welfare. All central government pensioners/family pensioners who were eligible for taking treatment under the central. Check list for reimbursement of medical claims. The claim is to be submitted to the concerned department by serving employees and to the cmo i/c of the cghs wellness. Cghs Claim Form For Pensioners.
From www.youtube.com
7th Pay CGHS Contribution for Pensioners । CGHS card for Pensioners Cghs Claim Form For Pensioners Get downloadable forms for beneficiaries of central government health scheme (cghs), ministry of health and family welfare. Copy of permission letter, if any. Downalod medical certificate/forms, application for cghs card for pensioners, cghs reimbursement claim forms. Check list for reimbursement of medical claims. All central government pensioners/family pensioners who were eligible for taking treatment under the central. (to be filled. Cghs Claim Form For Pensioners.
From www.sampletemplates.com
FREE 11+ Sample Pension Service Claim Forms in PDF MS Word Cghs Claim Form For Pensioners All central government pensioners/family pensioners who were eligible for taking treatment under the central. (to be filled up by the principle card holder/ claimant in block letters) (a) name of the principle cghs. The claim is to be submitted to the concerned department by serving employees and to the cmo i/c of the cghs wellness centre (where the cghs. Get. Cghs Claim Form For Pensioners.
From www.staffnews.in
New Medical Reimbursement Claim (MRC) Form for CGHS beneficiaries Cghs Claim Form For Pensioners Validity of cgh card (for pensioners)&. Copy of permission letter, if any. Get downloadable forms for beneficiaries of central government health scheme (cghs), ministry of health and family welfare. All central government pensioners/family pensioners who were eligible for taking treatment under the central. Check list for reimbursement of medical claims. The claim is to be submitted to the concerned department. Cghs Claim Form For Pensioners.
From www.staffnews.in
Form for availing Medical Facilities under CGHS or Fixed Medical Cghs Claim Form For Pensioners All central government pensioners/family pensioners who were eligible for taking treatment under the central. (to be filled up by the principle card holder/ claimant in block letters) (a) name of the principle cghs. Copy of permission letter, if any. The claim is to be submitted to the concerned department by serving employees and to the cmo i/c of the cghs. Cghs Claim Form For Pensioners.
From www.90paisablog.in
Delegation of powers for settlement of reimbursement claims/Permissions Cghs Claim Form For Pensioners (to be filled up by the principle card holder/ claimant in block letters) (a) name of the principle cghs. Downalod medical certificate/forms, application for cghs card for pensioners, cghs reimbursement claim forms. Get downloadable forms for beneficiaries of central government health scheme (cghs), ministry of health and family welfare. Check list for reimbursement of medical claims. All central government pensioners/family. Cghs Claim Form For Pensioners.
From geod.in
[PDF] CGHS Reimbursement Claim Form PDF Download Here Cghs Claim Form For Pensioners Cghs mrc form for pensioners is a vital document that helps pensioners claim medical reimbursement claims (mrc) under the central government health scheme (cghs). The claim is to be submitted to the concerned department by serving employees and to the cmo i/c of the cghs wellness centre (where the cghs. Copy of permission letter, if any. All central government pensioners/family. Cghs Claim Form For Pensioners.
From www.scribd.com
NIC Blank Form (Medical Claim Form For CGHS Beneficiaries) PDF Cghs Claim Form For Pensioners Downalod medical certificate/forms, application for cghs card for pensioners, cghs reimbursement claim forms. The claim is to be submitted to the concerned department by serving employees and to the cmo i/c of the cghs wellness centre (where the cghs. All central government pensioners/family pensioners who were eligible for taking treatment under the central. (to be filled up by the principle. Cghs Claim Form For Pensioners.
From www.youtube.com
CGHS Update for Pensioners, Pensioners Medical Claim YouTube Cghs Claim Form For Pensioners Validity of cgh card (for pensioners)&. The claim is to be submitted to the concerned department by serving employees and to the cmo i/c of the cghs wellness centre (where the cghs. Copy of permission letter, if any. Check list for reimbursement of medical claims. Cghs mrc form for pensioners is a vital document that helps pensioners claim medical reimbursement. Cghs Claim Form For Pensioners.
From www.staffnews.in
Revised form for availing Fixed Medical Allowance to CG Civil Cghs Claim Form For Pensioners (to be filled up by the principle card holder/ claimant in block letters) (a) name of the principle cghs. Check list for reimbursement of medical claims. Downalod medical certificate/forms, application for cghs card for pensioners, cghs reimbursement claim forms. Validity of cgh card (for pensioners)&. Cghs mrc form for pensioners is a vital document that helps pensioners claim medical reimbursement. Cghs Claim Form For Pensioners.
From www.slideshare.net
Cghs reimbursement forms Cghs Claim Form For Pensioners Downalod medical certificate/forms, application for cghs card for pensioners, cghs reimbursement claim forms. Cghs mrc form for pensioners is a vital document that helps pensioners claim medical reimbursement claims (mrc) under the central government health scheme (cghs). Copy of permission letter, if any. (to be filled up by the principle card holder/ claimant in block letters) (a) name of the. Cghs Claim Form For Pensioners.
From www.pdffiller.com
CGHS Claim Doc Template pdfFiller Cghs Claim Form For Pensioners Get downloadable forms for beneficiaries of central government health scheme (cghs), ministry of health and family welfare. Cghs mrc form for pensioners is a vital document that helps pensioners claim medical reimbursement claims (mrc) under the central government health scheme (cghs). All central government pensioners/family pensioners who were eligible for taking treatment under the central. Check list for reimbursement of. Cghs Claim Form For Pensioners.
From exoizfati.blob.core.windows.net
Cghs Claim Form For Retired Employees at Maurice Davis blog Cghs Claim Form For Pensioners All central government pensioners/family pensioners who were eligible for taking treatment under the central. Get downloadable forms for beneficiaries of central government health scheme (cghs), ministry of health and family welfare. (to be filled up by the principle card holder/ claimant in block letters) (a) name of the principle cghs. Validity of cgh card (for pensioners)&. Copy of permission letter,. Cghs Claim Form For Pensioners.
From www.uslegalforms.com
Revision Of Medical Reimbursement Claim Form For CGHS Fill and Cghs Claim Form For Pensioners Check list for reimbursement of medical claims. The claim is to be submitted to the concerned department by serving employees and to the cmo i/c of the cghs wellness centre (where the cghs. Downalod medical certificate/forms, application for cghs card for pensioners, cghs reimbursement claim forms. Copy of permission letter, if any. Validity of cgh card (for pensioners)&. Cghs mrc. Cghs Claim Form For Pensioners.
From www.staffnews.in
Nomination Facility under CGHS for Claiming Medical Reimbursement in Cghs Claim Form For Pensioners Get downloadable forms for beneficiaries of central government health scheme (cghs), ministry of health and family welfare. Validity of cgh card (for pensioners)&. The claim is to be submitted to the concerned department by serving employees and to the cmo i/c of the cghs wellness centre (where the cghs. All central government pensioners/family pensioners who were eligible for taking treatment. Cghs Claim Form For Pensioners.
From 7thpaycommissionnews.in
Renewal of CGHS Card for Employees and Pensioners — Central Government Cghs Claim Form For Pensioners Downalod medical certificate/forms, application for cghs card for pensioners, cghs reimbursement claim forms. Cghs mrc form for pensioners is a vital document that helps pensioners claim medical reimbursement claims (mrc) under the central government health scheme (cghs). Get downloadable forms for beneficiaries of central government health scheme (cghs), ministry of health and family welfare. Copy of permission letter, if any.. Cghs Claim Form For Pensioners.
From studylib.net
CGHS reimbursement forms Cghs Claim Form For Pensioners The claim is to be submitted to the concerned department by serving employees and to the cmo i/c of the cghs wellness centre (where the cghs. Cghs mrc form for pensioners is a vital document that helps pensioners claim medical reimbursement claims (mrc) under the central government health scheme (cghs). All central government pensioners/family pensioners who were eligible for taking. Cghs Claim Form For Pensioners.
From www.slideshare.net
Cghs reimbursement forms Cghs Claim Form For Pensioners Get downloadable forms for beneficiaries of central government health scheme (cghs), ministry of health and family welfare. Cghs mrc form for pensioners is a vital document that helps pensioners claim medical reimbursement claims (mrc) under the central government health scheme (cghs). (to be filled up by the principle card holder/ claimant in block letters) (a) name of the principle cghs.. Cghs Claim Form For Pensioners.
From www.pdffiller.com
CGHS Medical Reimbursement Claim (for serving Doc Template pdfFiller Cghs Claim Form For Pensioners Validity of cgh card (for pensioners)&. Cghs mrc form for pensioners is a vital document that helps pensioners claim medical reimbursement claims (mrc) under the central government health scheme (cghs). Get downloadable forms for beneficiaries of central government health scheme (cghs), ministry of health and family welfare. The claim is to be submitted to the concerned department by serving employees. Cghs Claim Form For Pensioners.
From exoizfati.blob.core.windows.net
Cghs Claim Form For Retired Employees at Maurice Davis blog Cghs Claim Form For Pensioners Downalod medical certificate/forms, application for cghs card for pensioners, cghs reimbursement claim forms. Copy of permission letter, if any. Cghs mrc form for pensioners is a vital document that helps pensioners claim medical reimbursement claims (mrc) under the central government health scheme (cghs). Validity of cgh card (for pensioners)&. (to be filled up by the principle card holder/ claimant in. Cghs Claim Form For Pensioners.
From way2wise.com
How To Apply CGHS Plastic Card Online way2wise Cghs Claim Form For Pensioners Validity of cgh card (for pensioners)&. Copy of permission letter, if any. All central government pensioners/family pensioners who were eligible for taking treatment under the central. The claim is to be submitted to the concerned department by serving employees and to the cmo i/c of the cghs wellness centre (where the cghs. Cghs mrc form for pensioners is a vital. Cghs Claim Form For Pensioners.
From www.scribd.com
CGHSClaimForm062138a53949d1001714997 PDF Cghs Claim Form For Pensioners The claim is to be submitted to the concerned department by serving employees and to the cmo i/c of the cghs wellness centre (where the cghs. (to be filled up by the principle card holder/ claimant in block letters) (a) name of the principle cghs. All central government pensioners/family pensioners who were eligible for taking treatment under the central. Downalod. Cghs Claim Form For Pensioners.
From diphupoly.in
CGHS Scheme Online Registration Central Government Health Scheme Form Cghs Claim Form For Pensioners Check list for reimbursement of medical claims. The claim is to be submitted to the concerned department by serving employees and to the cmo i/c of the cghs wellness centre (where the cghs. Downalod medical certificate/forms, application for cghs card for pensioners, cghs reimbursement claim forms. All central government pensioners/family pensioners who were eligible for taking treatment under the central.. Cghs Claim Form For Pensioners.
From www.youtube.com
How to get CGHS Card for Serving & Pensioners CGHS Card for Pensioners Cghs Claim Form For Pensioners Check list for reimbursement of medical claims. (to be filled up by the principle card holder/ claimant in block letters) (a) name of the principle cghs. Cghs mrc form for pensioners is a vital document that helps pensioners claim medical reimbursement claims (mrc) under the central government health scheme (cghs). All central government pensioners/family pensioners who were eligible for taking. Cghs Claim Form For Pensioners.
From www.pdffiller.com
Application for CGHS card Doc Template pdfFiller Cghs Claim Form For Pensioners Check list for reimbursement of medical claims. Validity of cgh card (for pensioners)&. Copy of permission letter, if any. Downalod medical certificate/forms, application for cghs card for pensioners, cghs reimbursement claim forms. (to be filled up by the principle card holder/ claimant in block letters) (a) name of the principle cghs. Cghs mrc form for pensioners is a vital document. Cghs Claim Form For Pensioners.
From confederationhq.blogspot.com
Confederation Of Central Government Employees & Workers Pendency of Cghs Claim Form For Pensioners Cghs mrc form for pensioners is a vital document that helps pensioners claim medical reimbursement claims (mrc) under the central government health scheme (cghs). Get downloadable forms for beneficiaries of central government health scheme (cghs), ministry of health and family welfare. All central government pensioners/family pensioners who were eligible for taking treatment under the central. (to be filled up by. Cghs Claim Form For Pensioners.
From www.scribd.com
Cghs Form New PDF Identity Document Service Industries Cghs Claim Form For Pensioners Cghs mrc form for pensioners is a vital document that helps pensioners claim medical reimbursement claims (mrc) under the central government health scheme (cghs). Get downloadable forms for beneficiaries of central government health scheme (cghs), ministry of health and family welfare. All central government pensioners/family pensioners who were eligible for taking treatment under the central. Check list for reimbursement of. Cghs Claim Form For Pensioners.
From confederationhq.blogspot.com
Confederation Of Central Government Employees & Workers Pendency of Cghs Claim Form For Pensioners Cghs mrc form for pensioners is a vital document that helps pensioners claim medical reimbursement claims (mrc) under the central government health scheme (cghs). The claim is to be submitted to the concerned department by serving employees and to the cmo i/c of the cghs wellness centre (where the cghs. All central government pensioners/family pensioners who were eligible for taking. Cghs Claim Form For Pensioners.
From es.scribd.com
CGHS Application for Pensioners Autonomous Bodies Identity Document Cghs Claim Form For Pensioners The claim is to be submitted to the concerned department by serving employees and to the cmo i/c of the cghs wellness centre (where the cghs. (to be filled up by the principle card holder/ claimant in block letters) (a) name of the principle cghs. Copy of permission letter, if any. Cghs mrc form for pensioners is a vital document. Cghs Claim Form For Pensioners.
From scm-bps.blogspot.com
CGHSCHECKLIST FOR PERMISSION FOR BiPAP, CPAP, 02 CONCENTRATOR (The Cghs Claim Form For Pensioners Copy of permission letter, if any. The claim is to be submitted to the concerned department by serving employees and to the cmo i/c of the cghs wellness centre (where the cghs. Cghs mrc form for pensioners is a vital document that helps pensioners claim medical reimbursement claims (mrc) under the central government health scheme (cghs). (to be filled up. Cghs Claim Form For Pensioners.
From potools.blogspot.com
Medical reimbursement claims by CGHS pensioners Cghs Claim Form For Pensioners Validity of cgh card (for pensioners)&. All central government pensioners/family pensioners who were eligible for taking treatment under the central. Check list for reimbursement of medical claims. Get downloadable forms for beneficiaries of central government health scheme (cghs), ministry of health and family welfare. Copy of permission letter, if any. Downalod medical certificate/forms, application for cghs card for pensioners, cghs. Cghs Claim Form For Pensioners.
From www.dopt.in
CGHS serving employees and pensioners CHECKLIST FOR ISSUE OF PERMISSION Cghs Claim Form For Pensioners Validity of cgh card (for pensioners)&. Cghs mrc form for pensioners is a vital document that helps pensioners claim medical reimbursement claims (mrc) under the central government health scheme (cghs). Get downloadable forms for beneficiaries of central government health scheme (cghs), ministry of health and family welfare. The claim is to be submitted to the concerned department by serving employees. Cghs Claim Form For Pensioners.