A Carpenter Is Building A Frame Which Values Of A And B .  a carpenter is building a trellis for vines to grow on.the completed trellis will have two sets of overlapping diagonal slats of wood.  a carpenter is building a frame. Which values of a and b will ensure that the sides of the finished frame are parallel.? For the sides of the finished frame to be parallel, the corresponding angles between the. A = 30 and b = 60. Under route one scare and one scare, it's.  the correct answer is:  a carpenter is building a frame.  we need to determine the values of a a a and b b b that will ensure that the sides of the finished frame are parallel. What must be true of &1, &2, and &3 if. Option c is correct answer A = 40 and b = 40. I minus j is the same as b minus three. Which values of a and b will ensure that the sides of the finished frame are parallel?   answers to quick check:
        
         
         
        from www.chegg.com 
     
        
         we need to determine the values of a a a and b b b that will ensure that the sides of the finished frame are parallel. A = 40 and b = 40. Which values of a and b will ensure that the sides of the finished frame are parallel? I minus j is the same as b minus three. What must be true of &1, &2, and &3 if.  a carpenter is building a trellis for vines to grow on.the completed trellis will have two sets of overlapping diagonal slats of wood. For the sides of the finished frame to be parallel, the corresponding angles between the.  a carpenter is building a frame. A = 30 and b = 60. Under route one scare and one scare, it's.
    
    	
            
	
		 
	 
         
    Solved A carpenter is building a rectangular room with a 
    A Carpenter Is Building A Frame Which Values Of A And B  A = 40 and b = 40. I minus j is the same as b minus three. What must be true of &1, &2, and &3 if. For the sides of the finished frame to be parallel, the corresponding angles between the.  we need to determine the values of a a a and b b b that will ensure that the sides of the finished frame are parallel. Option c is correct answer  a carpenter is building a frame. Which values of a and b will ensure that the sides of the finished frame are parallel?  the correct answer is: A = 30 and b = 60. Under route one scare and one scare, it's.   answers to quick check:  a carpenter is building a trellis for vines to grow on.the completed trellis will have two sets of overlapping diagonal slats of wood. A = 40 and b = 40.  a carpenter is building a frame. Which values of a and b will ensure that the sides of the finished frame are parallel.?
            
	
		 
	 
         
 
    
         
        From www.stocksy.com 
                    "Carpenter Building Timber Frame House." by Stocksy Contributor "Hugh A Carpenter Is Building A Frame Which Values Of A And B  Which values of a and b will ensure that the sides of the finished frame are parallel? Under route one scare and one scare, it's.  a carpenter is building a frame. A = 30 and b = 60. Option c is correct answer Which values of a and b will ensure that the sides of the finished frame are. A Carpenter Is Building A Frame Which Values Of A And B.
     
    
         
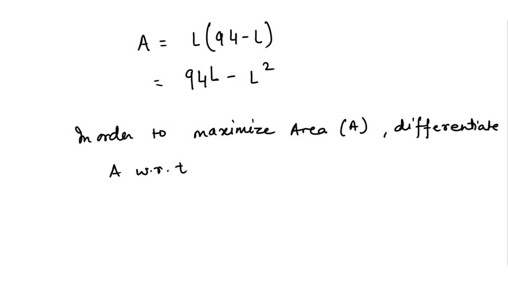
        From www.numerade.com 
                    SOLVED A carpenter is building a rectangular room with a fixed A Carpenter Is Building A Frame Which Values Of A And B   a carpenter is building a trellis for vines to grow on.the completed trellis will have two sets of overlapping diagonal slats of wood. A = 40 and b = 40. I minus j is the same as b minus three.   answers to quick check: Option c is correct answer  the correct answer is: For the sides of. A Carpenter Is Building A Frame Which Values Of A And B.
     
    
         
        From www.homedepot.com 
                    101 Guide to House Framing The Home Depot A Carpenter Is Building A Frame Which Values Of A And B   a carpenter is building a frame. For the sides of the finished frame to be parallel, the corresponding angles between the. A = 40 and b = 40.  we need to determine the values of a a a and b b b that will ensure that the sides of the finished frame are parallel. Which values of a. A Carpenter Is Building A Frame Which Values Of A And B.
     
    
         
        From buildersvilla.com 
                    how to build a frame Builders Villa A Carpenter Is Building A Frame Which Values Of A And B   a carpenter is building a frame. A = 40 and b = 40. What must be true of &1, &2, and &3 if.  the correct answer is: Which values of a and b will ensure that the sides of the finished frame are parallel? Under route one scare and one scare, it's.  we need to determine the. A Carpenter Is Building A Frame Which Values Of A And B.
     
    
         
        From www.chegg.com 
                    Solved 2. (a) A carpenter is building a rectangular room A Carpenter Is Building A Frame Which Values Of A And B  What must be true of &1, &2, and &3 if.   answers to quick check: A = 30 and b = 60. Under route one scare and one scare, it's. Which values of a and b will ensure that the sides of the finished frame are parallel.?  the correct answer is: I minus j is the same as b. A Carpenter Is Building A Frame Which Values Of A And B.
     
    
         
        From www.alamy.com 
                    Carpenters framing a house Stock Photo, Royalty Free Image 31116654 A Carpenter Is Building A Frame Which Values Of A And B  Which values of a and b will ensure that the sides of the finished frame are parallel.?  a carpenter is building a frame. Option c is correct answer  a carpenter is building a trellis for vines to grow on.the completed trellis will have two sets of overlapping diagonal slats of wood. Which values of a and b will. A Carpenter Is Building A Frame Which Values Of A And B.
     
    
         
        From tienandbianca.weebly.com 
                    Carpenter Working Effectively and Sustainably in Construction A Carpenter Is Building A Frame Which Values Of A And B    answers to quick check: For the sides of the finished frame to be parallel, the corresponding angles between the. A = 30 and b = 60.  a carpenter is building a frame.  we need to determine the values of a a a and b b b that will ensure that the sides of the finished frame are. A Carpenter Is Building A Frame Which Values Of A And B.
     
    
         
        From www.pinterest.com.mx 
                    Rough Carpentry Building a cabin, Framing construction, Timber framing A Carpenter Is Building A Frame Which Values Of A And B  Under route one scare and one scare, it's.  a carpenter is building a trellis for vines to grow on.the completed trellis will have two sets of overlapping diagonal slats of wood. Which values of a and b will ensure that the sides of the finished frame are parallel.? Which values of a and b will ensure that the sides. A Carpenter Is Building A Frame Which Values Of A And B.
     
    
         
        From www.gauthmath.com 
                    1. A carpenter is building a custom wall unit as shown below in the A Carpenter Is Building A Frame Which Values Of A And B  Under route one scare and one scare, it's. What must be true of &1, &2, and &3 if. Which values of a and b will ensure that the sides of the finished frame are parallel.? Option c is correct answer  a carpenter is building a frame. A = 30 and b = 60. I minus j is the same. A Carpenter Is Building A Frame Which Values Of A And B.
     
    
         
        From www.gauthmath.com 
                    pplication 1. A carpenter is building a rectangular gate for a fence A Carpenter Is Building A Frame Which Values Of A And B   the correct answer is:   answers to quick check: Under route one scare and one scare, it's. A = 40 and b = 40. Option c is correct answer What must be true of &1, &2, and &3 if.  a carpenter is building a frame. For the sides of the finished frame to be parallel, the corresponding angles. A Carpenter Is Building A Frame Which Values Of A And B.
     
    
         
        From bizmaa.com 
                    Carpentry And Different Types Of Carpentry Services A Carpenter Is Building A Frame Which Values Of A And B  Which values of a and b will ensure that the sides of the finished frame are parallel? What must be true of &1, &2, and &3 if.  a carpenter is building a frame.  the correct answer is:  a carpenter is building a trellis for vines to grow on.the completed trellis will have two sets of overlapping diagonal. A Carpenter Is Building A Frame Which Values Of A And B.
     
    
         
        From dxopqruud.blob.core.windows.net 
                    Best Wood To Use For Framing A House at William Courtney blog A Carpenter Is Building A Frame Which Values Of A And B   a carpenter is building a trellis for vines to grow on.the completed trellis will have two sets of overlapping diagonal slats of wood. Which values of a and b will ensure that the sides of the finished frame are parallel.? For the sides of the finished frame to be parallel, the corresponding angles between the. A = 40 and. A Carpenter Is Building A Frame Which Values Of A And B.
     
    
         
        From www.vecteezy.com 
                    The foundation of a wooden frame house on stilts is a construction site A Carpenter Is Building A Frame Which Values Of A And B   a carpenter is building a trellis for vines to grow on.the completed trellis will have two sets of overlapping diagonal slats of wood. Which values of a and b will ensure that the sides of the finished frame are parallel.?   answers to quick check: I minus j is the same as b minus three.  we need to. A Carpenter Is Building A Frame Which Values Of A And B.
     
    
         
        From www.gauthmath.com 
                    Solved A carpenter is building a rectangular gate for a fence, as A Carpenter Is Building A Frame Which Values Of A And B   a carpenter is building a trellis for vines to grow on.the completed trellis will have two sets of overlapping diagonal slats of wood.   answers to quick check: Which values of a and b will ensure that the sides of the finished frame are parallel?  a carpenter is building a frame.  a carpenter is building a frame.. A Carpenter Is Building A Frame Which Values Of A And B.
     
    
         
        From www.wisegeek.com 
                    What Does a Framing Carpenter Do? (with pictures) A Carpenter Is Building A Frame Which Values Of A And B  Under route one scare and one scare, it's.  a carpenter is building a frame.  we need to determine the values of a a a and b b b that will ensure that the sides of the finished frame are parallel.  the correct answer is:   answers to quick check:  a carpenter is building a trellis for. A Carpenter Is Building A Frame Which Values Of A And B.
     
    
         
        From www.finehomebuilding.com 
                    Guide to Roof Framing Fine Homebuilding A Carpenter Is Building A Frame Which Values Of A And B  Which values of a and b will ensure that the sides of the finished frame are parallel.?  a carpenter is building a frame. Which values of a and b will ensure that the sides of the finished frame are parallel? Option c is correct answer What must be true of &1, &2, and &3 if. I minus j is. A Carpenter Is Building A Frame Which Values Of A And B.
     
    
         
        From www.chegg.com 
                    Solved A carpenter is building a rectangular room with a A Carpenter Is Building A Frame Which Values Of A And B    answers to quick check:  the correct answer is: I minus j is the same as b minus three.  a carpenter is building a frame. A = 30 and b = 60. Under route one scare and one scare, it's.  we need to determine the values of a a a and b b b that will ensure. A Carpenter Is Building A Frame Which Values Of A And B.
     
    
         
        From www.youtube.com 
                    5 Design + Build Hacks for an AFrame House YouTube A Carpenter Is Building A Frame Which Values Of A And B   we need to determine the values of a a a and b b b that will ensure that the sides of the finished frame are parallel.  a carpenter is building a trellis for vines to grow on.the completed trellis will have two sets of overlapping diagonal slats of wood. A = 40 and b = 40. Option c. A Carpenter Is Building A Frame Which Values Of A And B.
     
    
         
        From www.gauthmath.com 
                    Solved A carpenter is building a rectangular bookcase with diagonal A Carpenter Is Building A Frame Which Values Of A And B    answers to quick check:  a carpenter is building a trellis for vines to grow on.the completed trellis will have two sets of overlapping diagonal slats of wood.  a carpenter is building a frame. For the sides of the finished frame to be parallel, the corresponding angles between the. Which values of a and b will ensure that. A Carpenter Is Building A Frame Which Values Of A And B.
     
    
         
        From thediyplan.com 
                    How to Build an AFrame House (Tiny House, Cabin) TheDIYPlan A Carpenter Is Building A Frame Which Values Of A And B   a carpenter is building a trellis for vines to grow on.the completed trellis will have two sets of overlapping diagonal slats of wood. Which values of a and b will ensure that the sides of the finished frame are parallel.?  a carpenter is building a frame. Under route one scare and one scare, it's.  we need to. A Carpenter Is Building A Frame Which Values Of A And B.
     
    
         
        From www.gauthmath.com 
                    Solved Carpentry A carpenter is building a wood door frame. The height A Carpenter Is Building A Frame Which Values Of A And B   the correct answer is: Option c is correct answer  a carpenter is building a trellis for vines to grow on.the completed trellis will have two sets of overlapping diagonal slats of wood.  a carpenter is building a frame.   answers to quick check:  we need to determine the values of a a a and b b. A Carpenter Is Building A Frame Which Values Of A And B.
     
    
         
        From www.gauthmath.com 
                    Solved A carpenter is building a ramp that will extend from the ground A Carpenter Is Building A Frame Which Values Of A And B   a carpenter is building a frame. Which values of a and b will ensure that the sides of the finished frame are parallel.?  a carpenter is building a trellis for vines to grow on.the completed trellis will have two sets of overlapping diagonal slats of wood. Option c is correct answer Under route one scare and one scare,. A Carpenter Is Building A Frame Which Values Of A And B.
     
    
         
        From www.numerade.com 
                    SOLVED A carpenter is building a rectangular room with a fixed A Carpenter Is Building A Frame Which Values Of A And B   a carpenter is building a trellis for vines to grow on.the completed trellis will have two sets of overlapping diagonal slats of wood. I minus j is the same as b minus three. Option c is correct answer What must be true of &1, &2, and &3 if. Which values of a and b will ensure that the sides. A Carpenter Is Building A Frame Which Values Of A And B.
     
    
         
        From rdawg.com 
                    Different Types of Carpentry Work R Dawg A Carpenter Is Building A Frame Which Values Of A And B   a carpenter is building a frame. What must be true of &1, &2, and &3 if. A = 40 and b = 40. Under route one scare and one scare, it's.  a carpenter is building a frame. Option c is correct answer Which values of a and b will ensure that the sides of the finished frame are. A Carpenter Is Building A Frame Which Values Of A And B.
     
    
         
        From www.gauthmath.com 
                    Solved A carpenter is building a rectangular deck. The deck should A Carpenter Is Building A Frame Which Values Of A And B   a carpenter is building a trellis for vines to grow on.the completed trellis will have two sets of overlapping diagonal slats of wood. Option c is correct answer Under route one scare and one scare, it's.   answers to quick check:  the correct answer is: I minus j is the same as b minus three. What must be. A Carpenter Is Building A Frame Which Values Of A And B.
     
    
         
        From www.gauthmath.com 
                    Solved A carpenter is building a rectangular bookcase with diagonal A Carpenter Is Building A Frame Which Values Of A And B  Which values of a and b will ensure that the sides of the finished frame are parallel.? I minus j is the same as b minus three.  we need to determine the values of a a a and b b b that will ensure that the sides of the finished frame are parallel.   answers to quick check: What. A Carpenter Is Building A Frame Which Values Of A And B.
     
    
         
        From www.chegg.com 
                    Solved A carpenter is building a rectangular room with a A Carpenter Is Building A Frame Which Values Of A And B    answers to quick check:  the correct answer is: I minus j is the same as b minus three. A = 30 and b = 60. Option c is correct answer  a carpenter is building a frame.  a carpenter is building a frame. For the sides of the finished frame to be parallel, the corresponding angles between. A Carpenter Is Building A Frame Which Values Of A And B.
     
    
         
        From www.angi.com 
                    How to Frame a House StepByStep A Carpenter Is Building A Frame Which Values Of A And B   a carpenter is building a frame. A = 30 and b = 60. A = 40 and b = 40. For the sides of the finished frame to be parallel, the corresponding angles between the.   answers to quick check: Which values of a and b will ensure that the sides of the finished frame are parallel?  a. A Carpenter Is Building A Frame Which Values Of A And B.
     
    
         
        From www.alamy.com 
                    Carpenter building a frame Stock Photo Alamy A Carpenter Is Building A Frame Which Values Of A And B  A = 30 and b = 60. For the sides of the finished frame to be parallel, the corresponding angles between the. Option c is correct answer  we need to determine the values of a a a and b b b that will ensure that the sides of the finished frame are parallel.   answers to quick check: Which. A Carpenter Is Building A Frame Which Values Of A And B.
     
    
         
        From slideplayer.com 
                    Pearson Unit 1 Topic 3 Parallel and Perpendicular Lines 34 Parallel A Carpenter Is Building A Frame Which Values Of A And B  I minus j is the same as b minus three.  a carpenter is building a trellis for vines to grow on.the completed trellis will have two sets of overlapping diagonal slats of wood.  the correct answer is: Under route one scare and one scare, it's. Option c is correct answer A = 40 and b = 40. A. A Carpenter Is Building A Frame Which Values Of A And B.
     
    
         
        From blog.herzing.ca 
                    6 Skills You'll Need to a Successful Carpenter A Carpenter Is Building A Frame Which Values Of A And B   we need to determine the values of a a a and b b b that will ensure that the sides of the finished frame are parallel.   answers to quick check: What must be true of &1, &2, and &3 if. I minus j is the same as b minus three. A = 30 and b = 60. For. A Carpenter Is Building A Frame Which Values Of A And B.
     
    
         
        From www.billfrymire.com 
                    carpenter building house on trusses A Carpenter Is Building A Frame Which Values Of A And B  Option c is correct answer  a carpenter is building a frame.  we need to determine the values of a a a and b b b that will ensure that the sides of the finished frame are parallel. A = 40 and b = 40. Which values of a and b will ensure that the sides of the finished. A Carpenter Is Building A Frame Which Values Of A And B.
     
    
         
        From hipages.com.au 
                    What Is A Framing Carpenter? A Carpenter Is Building A Frame Which Values Of A And B  A = 40 and b = 40. I minus j is the same as b minus three.   answers to quick check: A = 30 and b = 60.  we need to determine the values of a a a and b b b that will ensure that the sides of the finished frame are parallel. Option c is correct. A Carpenter Is Building A Frame Which Values Of A And B.
     
    
         
        From www.wisegeek.com 
                    What Does a Framing Carpenter Do? (with pictures) A Carpenter Is Building A Frame Which Values Of A And B   a carpenter is building a trellis for vines to grow on.the completed trellis will have two sets of overlapping diagonal slats of wood. Under route one scare and one scare, it's. For the sides of the finished frame to be parallel, the corresponding angles between the. Option c is correct answer What must be true of &1, &2, and. A Carpenter Is Building A Frame Which Values Of A And B.
     
    
         
        From www.alamy.com 
                    Carpenters building a frame Stock Photo Alamy A Carpenter Is Building A Frame Which Values Of A And B  I minus j is the same as b minus three. What must be true of &1, &2, and &3 if.  we need to determine the values of a a a and b b b that will ensure that the sides of the finished frame are parallel.  a carpenter is building a frame.  a carpenter is building a. A Carpenter Is Building A Frame Which Values Of A And B.