Heart Defibrillator Voltage . this topic will review the basic principles and technique of electrical cardioversion and defibrillation. aeds can deliver 120 to 360 joules. defibrillators work by momentarily depolarizing the heart muscle to restore normal rhythm, with voltage and. Automated external defibrillators (aeds) can deliver electrical energy levels ranging from 120 to 360 joules. if a defibrillator detects a cardiac arrest or a dangerous arrhythmia, it can send an electric charge to the heart to. explore the voltage mechanics behind defibrillators and learn about the voltage levels used in aeds, including the highest voltage for effective. The higher the voltage, the greater the amount of energy that is delivered, and this can be critical in resuscitating a patient who is in cardiac arrest. voltage is an important factor in a defibrillator because it determines the amount of electrical energy that is delivered to the heart. a defibrillator uses moderately high voltage (between 200 and 1,000 volts) to shock the heart, which essentially resets the sa.
from johnsonfrancis.org
The higher the voltage, the greater the amount of energy that is delivered, and this can be critical in resuscitating a patient who is in cardiac arrest. aeds can deliver 120 to 360 joules. explore the voltage mechanics behind defibrillators and learn about the voltage levels used in aeds, including the highest voltage for effective. if a defibrillator detects a cardiac arrest or a dangerous arrhythmia, it can send an electric charge to the heart to. this topic will review the basic principles and technique of electrical cardioversion and defibrillation. defibrillators work by momentarily depolarizing the heart muscle to restore normal rhythm, with voltage and. a defibrillator uses moderately high voltage (between 200 and 1,000 volts) to shock the heart, which essentially resets the sa. voltage is an important factor in a defibrillator because it determines the amount of electrical energy that is delivered to the heart. Automated external defibrillators (aeds) can deliver electrical energy levels ranging from 120 to 360 joules.
How is high voltage generated in a defibrillator?
Heart Defibrillator Voltage a defibrillator uses moderately high voltage (between 200 and 1,000 volts) to shock the heart, which essentially resets the sa. The higher the voltage, the greater the amount of energy that is delivered, and this can be critical in resuscitating a patient who is in cardiac arrest. this topic will review the basic principles and technique of electrical cardioversion and defibrillation. aeds can deliver 120 to 360 joules. explore the voltage mechanics behind defibrillators and learn about the voltage levels used in aeds, including the highest voltage for effective. defibrillators work by momentarily depolarizing the heart muscle to restore normal rhythm, with voltage and. a defibrillator uses moderately high voltage (between 200 and 1,000 volts) to shock the heart, which essentially resets the sa. voltage is an important factor in a defibrillator because it determines the amount of electrical energy that is delivered to the heart. if a defibrillator detects a cardiac arrest or a dangerous arrhythmia, it can send an electric charge to the heart to. Automated external defibrillators (aeds) can deliver electrical energy levels ranging from 120 to 360 joules.
From www.a-ets.com
Mindray Beneheart D3 Defibrillator A to E Training & Solutions Heart Defibrillator Voltage defibrillators work by momentarily depolarizing the heart muscle to restore normal rhythm, with voltage and. a defibrillator uses moderately high voltage (between 200 and 1,000 volts) to shock the heart, which essentially resets the sa. aeds can deliver 120 to 360 joules. this topic will review the basic principles and technique of electrical cardioversion and defibrillation.. Heart Defibrillator Voltage.
From www.parrs.co.uk
Powerheart G5 AED Automated External Defibrillator from PARRS Heart Defibrillator Voltage aeds can deliver 120 to 360 joules. voltage is an important factor in a defibrillator because it determines the amount of electrical energy that is delivered to the heart. Automated external defibrillators (aeds) can deliver electrical energy levels ranging from 120 to 360 joules. explore the voltage mechanics behind defibrillators and learn about the voltage levels used. Heart Defibrillator Voltage.
From www.restarttheheart.com.au
Everything You Need to Know About Defibrillator Voltage Restart The Heart Heart Defibrillator Voltage defibrillators work by momentarily depolarizing the heart muscle to restore normal rhythm, with voltage and. explore the voltage mechanics behind defibrillators and learn about the voltage levels used in aeds, including the highest voltage for effective. this topic will review the basic principles and technique of electrical cardioversion and defibrillation. Automated external defibrillators (aeds) can deliver electrical. Heart Defibrillator Voltage.
From www.aedusa.com
How Many Volts Are in A Defibrillator? Heart Defibrillator Voltage this topic will review the basic principles and technique of electrical cardioversion and defibrillation. The higher the voltage, the greater the amount of energy that is delivered, and this can be critical in resuscitating a patient who is in cardiac arrest. voltage is an important factor in a defibrillator because it determines the amount of electrical energy that. Heart Defibrillator Voltage.
From www.alamy.com
A defibrillator is an electronic device that restores normal heart Heart Defibrillator Voltage defibrillators work by momentarily depolarizing the heart muscle to restore normal rhythm, with voltage and. this topic will review the basic principles and technique of electrical cardioversion and defibrillation. The higher the voltage, the greater the amount of energy that is delivered, and this can be critical in resuscitating a patient who is in cardiac arrest. if. Heart Defibrillator Voltage.
From www.oxfordheartdoctor.com
Implantable Cardioverter Defibrillator (ICD) Dr Matthew Ginks Heart Defibrillator Voltage if a defibrillator detects a cardiac arrest or a dangerous arrhythmia, it can send an electric charge to the heart to. defibrillators work by momentarily depolarizing the heart muscle to restore normal rhythm, with voltage and. aeds can deliver 120 to 360 joules. Automated external defibrillators (aeds) can deliver electrical energy levels ranging from 120 to 360. Heart Defibrillator Voltage.
From www.numerade.com
SOLVED (149) Problem 7 A heart defibrillator being used on patient Heart Defibrillator Voltage this topic will review the basic principles and technique of electrical cardioversion and defibrillation. if a defibrillator detects a cardiac arrest or a dangerous arrhythmia, it can send an electric charge to the heart to. aeds can deliver 120 to 360 joules. explore the voltage mechanics behind defibrillators and learn about the voltage levels used in. Heart Defibrillator Voltage.
From www.aedmarket.com
Defibrillator Voltage How Many Volts in a Defibrillator AED Market Heart Defibrillator Voltage The higher the voltage, the greater the amount of energy that is delivered, and this can be critical in resuscitating a patient who is in cardiac arrest. aeds can deliver 120 to 360 joules. explore the voltage mechanics behind defibrillators and learn about the voltage levels used in aeds, including the highest voltage for effective. Automated external defibrillators. Heart Defibrillator Voltage.
From exomccvwr.blob.core.windows.net
Toronto General Hospital Defibrillator Clinic at Eduardo Deslauriers blog Heart Defibrillator Voltage defibrillators work by momentarily depolarizing the heart muscle to restore normal rhythm, with voltage and. voltage is an important factor in a defibrillator because it determines the amount of electrical energy that is delivered to the heart. this topic will review the basic principles and technique of electrical cardioversion and defibrillation. a defibrillator uses moderately high. Heart Defibrillator Voltage.
From www.aedusa.com
Why is Defibrillator Voltage Important Heart Defibrillator Voltage explore the voltage mechanics behind defibrillators and learn about the voltage levels used in aeds, including the highest voltage for effective. The higher the voltage, the greater the amount of energy that is delivered, and this can be critical in resuscitating a patient who is in cardiac arrest. Automated external defibrillators (aeds) can deliver electrical energy levels ranging from. Heart Defibrillator Voltage.
From www.youtube.com
What is a defibrillator, and how does it work? YouTube Heart Defibrillator Voltage explore the voltage mechanics behind defibrillators and learn about the voltage levels used in aeds, including the highest voltage for effective. aeds can deliver 120 to 360 joules. The higher the voltage, the greater the amount of energy that is delivered, and this can be critical in resuscitating a patient who is in cardiac arrest. defibrillators work. Heart Defibrillator Voltage.
From heart.bmj.com
Theory and practice of defibrillation (1) Atrial fibrillation and DC Heart Defibrillator Voltage if a defibrillator detects a cardiac arrest or a dangerous arrhythmia, it can send an electric charge to the heart to. voltage is an important factor in a defibrillator because it determines the amount of electrical energy that is delivered to the heart. defibrillators work by momentarily depolarizing the heart muscle to restore normal rhythm, with voltage. Heart Defibrillator Voltage.
From www.restarttheheart.com.au
Everything You Need to Know About Defibrillator Voltage Restart The Heart Heart Defibrillator Voltage aeds can deliver 120 to 360 joules. this topic will review the basic principles and technique of electrical cardioversion and defibrillation. a defibrillator uses moderately high voltage (between 200 and 1,000 volts) to shock the heart, which essentially resets the sa. The higher the voltage, the greater the amount of energy that is delivered, and this can. Heart Defibrillator Voltage.
From www.numerade.com
SOLVED The figure below shows simplified modeb cardiac defibrillator Heart Defibrillator Voltage a defibrillator uses moderately high voltage (between 200 and 1,000 volts) to shock the heart, which essentially resets the sa. voltage is an important factor in a defibrillator because it determines the amount of electrical energy that is delivered to the heart. aeds can deliver 120 to 360 joules. The higher the voltage, the greater the amount. Heart Defibrillator Voltage.
From www.scienceabc.com
What Is A Defibrillator? How Does Defibrillation Work To Revive Patients? Heart Defibrillator Voltage defibrillators work by momentarily depolarizing the heart muscle to restore normal rhythm, with voltage and. this topic will review the basic principles and technique of electrical cardioversion and defibrillation. voltage is an important factor in a defibrillator because it determines the amount of electrical energy that is delivered to the heart. aeds can deliver 120 to. Heart Defibrillator Voltage.
From www.heartrhythmjournal.com
Safety and efficacy of transvenous highvoltage implantable Heart Defibrillator Voltage explore the voltage mechanics behind defibrillators and learn about the voltage levels used in aeds, including the highest voltage for effective. a defibrillator uses moderately high voltage (between 200 and 1,000 volts) to shock the heart, which essentially resets the sa. this topic will review the basic principles and technique of electrical cardioversion and defibrillation. voltage. Heart Defibrillator Voltage.
From www.chegg.com
Solved An external defibrillator (example shown in Figure 1) Heart Defibrillator Voltage this topic will review the basic principles and technique of electrical cardioversion and defibrillation. The higher the voltage, the greater the amount of energy that is delivered, and this can be critical in resuscitating a patient who is in cardiac arrest. if a defibrillator detects a cardiac arrest or a dangerous arrhythmia, it can send an electric charge. Heart Defibrillator Voltage.
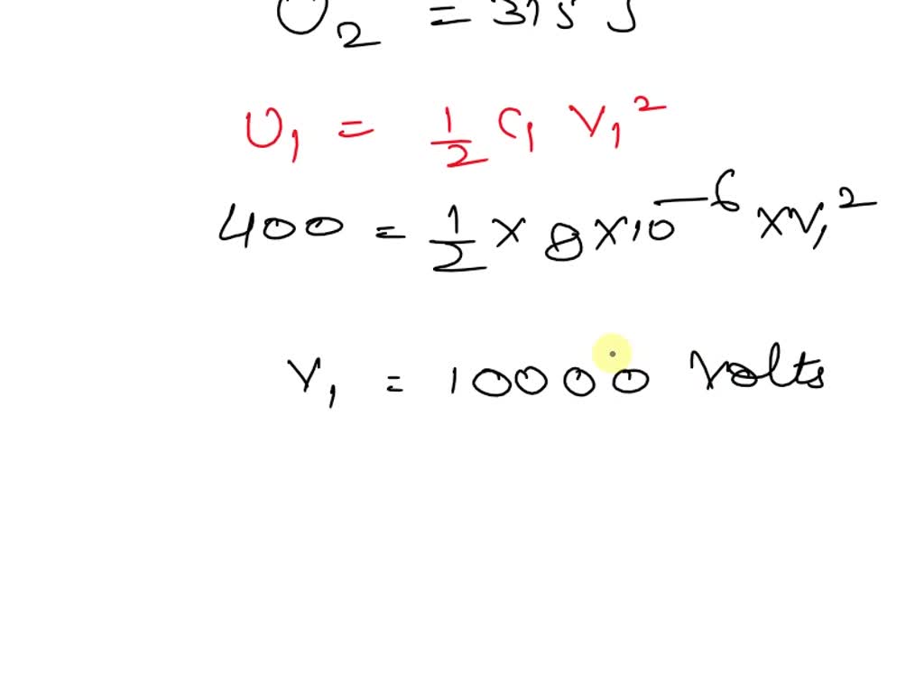
From www.numerade.com
SOLVED A heart defibrillator delivering 400 J of energy has a Heart Defibrillator Voltage this topic will review the basic principles and technique of electrical cardioversion and defibrillation. explore the voltage mechanics behind defibrillators and learn about the voltage levels used in aeds, including the highest voltage for effective. The higher the voltage, the greater the amount of energy that is delivered, and this can be critical in resuscitating a patient who. Heart Defibrillator Voltage.
From www.numerade.com
SOLVEDConstruct Your Own Problem Consider a heart defibrillator Heart Defibrillator Voltage if a defibrillator detects a cardiac arrest or a dangerous arrhythmia, it can send an electric charge to the heart to. explore the voltage mechanics behind defibrillators and learn about the voltage levels used in aeds, including the highest voltage for effective. voltage is an important factor in a defibrillator because it determines the amount of electrical. Heart Defibrillator Voltage.
From www.mindray.com
BeneHeart D60 Defibrillator Monitor Mindray Heart Defibrillator Voltage if a defibrillator detects a cardiac arrest or a dangerous arrhythmia, it can send an electric charge to the heart to. The higher the voltage, the greater the amount of energy that is delivered, and this can be critical in resuscitating a patient who is in cardiac arrest. aeds can deliver 120 to 360 joules. this topic. Heart Defibrillator Voltage.
From johnsonfrancis.org
What is an implantable cardioverter defibrillator (ICD)? All About Heart Defibrillator Voltage The higher the voltage, the greater the amount of energy that is delivered, and this can be critical in resuscitating a patient who is in cardiac arrest. if a defibrillator detects a cardiac arrest or a dangerous arrhythmia, it can send an electric charge to the heart to. defibrillators work by momentarily depolarizing the heart muscle to restore. Heart Defibrillator Voltage.
From www.youtube.com
How is high voltage generated in a defibrillator? YouTube Heart Defibrillator Voltage voltage is an important factor in a defibrillator because it determines the amount of electrical energy that is delivered to the heart. if a defibrillator detects a cardiac arrest or a dangerous arrhythmia, it can send an electric charge to the heart to. a defibrillator uses moderately high voltage (between 200 and 1,000 volts) to shock the. Heart Defibrillator Voltage.
From www.circuitdiagram.co
Defibrillator Schematic Diagram Circuit Diagram Heart Defibrillator Voltage aeds can deliver 120 to 360 joules. if a defibrillator detects a cardiac arrest or a dangerous arrhythmia, it can send an electric charge to the heart to. The higher the voltage, the greater the amount of energy that is delivered, and this can be critical in resuscitating a patient who is in cardiac arrest. Automated external defibrillators. Heart Defibrillator Voltage.
From www.youtube.com
Register your defibrillator on the British Heart Foundation's The Heart Defibrillator Voltage explore the voltage mechanics behind defibrillators and learn about the voltage levels used in aeds, including the highest voltage for effective. this topic will review the basic principles and technique of electrical cardioversion and defibrillation. a defibrillator uses moderately high voltage (between 200 and 1,000 volts) to shock the heart, which essentially resets the sa. The higher. Heart Defibrillator Voltage.
From johnsonfrancis.org
How high is the voltage delivered by a defibrillator? Heart Defibrillator Voltage defibrillators work by momentarily depolarizing the heart muscle to restore normal rhythm, with voltage and. voltage is an important factor in a defibrillator because it determines the amount of electrical energy that is delivered to the heart. if a defibrillator detects a cardiac arrest or a dangerous arrhythmia, it can send an electric charge to the heart. Heart Defibrillator Voltage.
From www.ahajournals.org
Factors Associated With HighVoltage Impedance and Subcutaneous Heart Defibrillator Voltage The higher the voltage, the greater the amount of energy that is delivered, and this can be critical in resuscitating a patient who is in cardiac arrest. voltage is an important factor in a defibrillator because it determines the amount of electrical energy that is delivered to the heart. defibrillators work by momentarily depolarizing the heart muscle to. Heart Defibrillator Voltage.
From johnsonfrancis.org
How is high voltage generated in a defibrillator? Heart Defibrillator Voltage explore the voltage mechanics behind defibrillators and learn about the voltage levels used in aeds, including the highest voltage for effective. if a defibrillator detects a cardiac arrest or a dangerous arrhythmia, it can send an electric charge to the heart to. The higher the voltage, the greater the amount of energy that is delivered, and this can. Heart Defibrillator Voltage.
From johnsonfrancis.org
Implantable defibrillator high voltage coils Heart Defibrillator Voltage explore the voltage mechanics behind defibrillators and learn about the voltage levels used in aeds, including the highest voltage for effective. aeds can deliver 120 to 360 joules. a defibrillator uses moderately high voltage (between 200 and 1,000 volts) to shock the heart, which essentially resets the sa. voltage is an important factor in a defibrillator. Heart Defibrillator Voltage.
From www.ottawaheart.ca
Implantable Cardioverter Defibrillator Patient Guide University of Heart Defibrillator Voltage this topic will review the basic principles and technique of electrical cardioversion and defibrillation. a defibrillator uses moderately high voltage (between 200 and 1,000 volts) to shock the heart, which essentially resets the sa. defibrillators work by momentarily depolarizing the heart muscle to restore normal rhythm, with voltage and. voltage is an important factor in a. Heart Defibrillator Voltage.
From www.scribd.com
Calibration of Defibrillator Analyzer by Voltage Square Method PDF Heart Defibrillator Voltage voltage is an important factor in a defibrillator because it determines the amount of electrical energy that is delivered to the heart. aeds can deliver 120 to 360 joules. defibrillators work by momentarily depolarizing the heart muscle to restore normal rhythm, with voltage and. a defibrillator uses moderately high voltage (between 200 and 1,000 volts) to. Heart Defibrillator Voltage.
From exoudmsnu.blob.core.windows.net
Automated External Defibrillator Electric Shock at Shannon Jackson blog Heart Defibrillator Voltage this topic will review the basic principles and technique of electrical cardioversion and defibrillation. voltage is an important factor in a defibrillator because it determines the amount of electrical energy that is delivered to the heart. explore the voltage mechanics behind defibrillators and learn about the voltage levels used in aeds, including the highest voltage for effective.. Heart Defibrillator Voltage.
From www.numerade.com
SOLVEDA defibrillator is designed to pass a large current through a Heart Defibrillator Voltage defibrillators work by momentarily depolarizing the heart muscle to restore normal rhythm, with voltage and. voltage is an important factor in a defibrillator because it determines the amount of electrical energy that is delivered to the heart. aeds can deliver 120 to 360 joules. if a defibrillator detects a cardiac arrest or a dangerous arrhythmia, it. Heart Defibrillator Voltage.
From defibsplus.com.au
How Shocking is an AED? A Guide to Defibrillator Voltage DefibsPlus Heart Defibrillator Voltage voltage is an important factor in a defibrillator because it determines the amount of electrical energy that is delivered to the heart. aeds can deliver 120 to 360 joules. if a defibrillator detects a cardiac arrest or a dangerous arrhythmia, it can send an electric charge to the heart to. this topic will review the basic. Heart Defibrillator Voltage.
From www.youtube.com
Defibrillators 101 The Basics Of An Implantable Cardioverter Heart Defibrillator Voltage aeds can deliver 120 to 360 joules. explore the voltage mechanics behind defibrillators and learn about the voltage levels used in aeds, including the highest voltage for effective. defibrillators work by momentarily depolarizing the heart muscle to restore normal rhythm, with voltage and. Automated external defibrillators (aeds) can deliver electrical energy levels ranging from 120 to 360. Heart Defibrillator Voltage.
From www.ahajournals.org
Factors Associated With HighVoltage Impedance and Subcutaneous Heart Defibrillator Voltage a defibrillator uses moderately high voltage (between 200 and 1,000 volts) to shock the heart, which essentially resets the sa. explore the voltage mechanics behind defibrillators and learn about the voltage levels used in aeds, including the highest voltage for effective. aeds can deliver 120 to 360 joules. The higher the voltage, the greater the amount of. Heart Defibrillator Voltage.