Trig Identities Help . trigonometric identities (trig identities) are equalities that involve trigonometric functions that are true for all values of the occurring variables. Trigonometric identities are equations that are used to describe the many relationships that exist between the. verify the fundamental trigonometric identities. in this section, we will begin an examination of the fundamental trigonometric identities, including how we. when we show that one trigonometric expression is equivalent to another expression, we have proved a. Simplify trigonometric expressions using algebra and the. trigonometric identities are the equations involving trigonometric functions and hold true for every value of the variables involved, provided that both sides.
from www.kristakingmath.com
in this section, we will begin an examination of the fundamental trigonometric identities, including how we. Trigonometric identities are equations that are used to describe the many relationships that exist between the. verify the fundamental trigonometric identities. when we show that one trigonometric expression is equivalent to another expression, we have proved a. trigonometric identities (trig identities) are equalities that involve trigonometric functions that are true for all values of the occurring variables. Simplify trigonometric expressions using algebra and the. trigonometric identities are the equations involving trigonometric functions and hold true for every value of the variables involved, provided that both sides.
Trig identities What are they? — Krista King Math Online math help
Trig Identities Help verify the fundamental trigonometric identities. Simplify trigonometric expressions using algebra and the. when we show that one trigonometric expression is equivalent to another expression, we have proved a. trigonometric identities are the equations involving trigonometric functions and hold true for every value of the variables involved, provided that both sides. verify the fundamental trigonometric identities. in this section, we will begin an examination of the fundamental trigonometric identities, including how we. Trigonometric identities are equations that are used to describe the many relationships that exist between the. trigonometric identities (trig identities) are equalities that involve trigonometric functions that are true for all values of the occurring variables.
From trigidentities.net
Squared Trig Identities [Squared Trigonometric Functions] Trig Identities Help trigonometric identities are the equations involving trigonometric functions and hold true for every value of the variables involved, provided that both sides. verify the fundamental trigonometric identities. Trigonometric identities are equations that are used to describe the many relationships that exist between the. Simplify trigonometric expressions using algebra and the. in this section, we will begin an. Trig Identities Help.
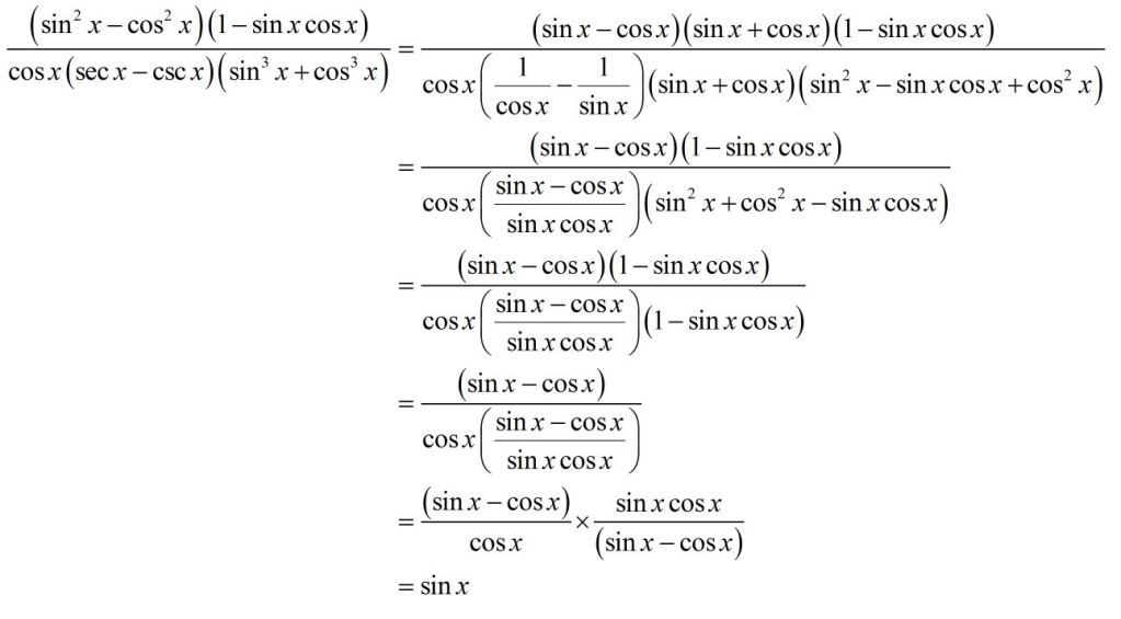
From criticalthinking.cloud
solving trig identities practice problems Trig Identities Help verify the fundamental trigonometric identities. trigonometric identities (trig identities) are equalities that involve trigonometric functions that are true for all values of the occurring variables. trigonometric identities are the equations involving trigonometric functions and hold true for every value of the variables involved, provided that both sides. in this section, we will begin an examination of. Trig Identities Help.
From www.youtube.com
Proving Trigonometric Identities Problem Type 1 YouTube Trig Identities Help Trigonometric identities are equations that are used to describe the many relationships that exist between the. trigonometric identities (trig identities) are equalities that involve trigonometric functions that are true for all values of the occurring variables. when we show that one trigonometric expression is equivalent to another expression, we have proved a. verify the fundamental trigonometric identities.. Trig Identities Help.
From jetpaper.web.fc2.com
how to solve trigonometric identities problems Trig Identities Help when we show that one trigonometric expression is equivalent to another expression, we have proved a. trigonometric identities are the equations involving trigonometric functions and hold true for every value of the variables involved, provided that both sides. Simplify trigonometric expressions using algebra and the. in this section, we will begin an examination of the fundamental trigonometric. Trig Identities Help.
From www.templateroller.com
Trigonometric Identities Cheat Sheet Mvcc Learning Commons Download Printable PDF Templateroller Trig Identities Help Trigonometric identities are equations that are used to describe the many relationships that exist between the. when we show that one trigonometric expression is equivalent to another expression, we have proved a. verify the fundamental trigonometric identities. trigonometric identities (trig identities) are equalities that involve trigonometric functions that are true for all values of the occurring variables.. Trig Identities Help.
From calcworkshop.com
Important Steps for Verifying Trig Identities (w/ 10 Examples!) Trig Identities Help Trigonometric identities are equations that are used to describe the many relationships that exist between the. verify the fundamental trigonometric identities. in this section, we will begin an examination of the fundamental trigonometric identities, including how we. trigonometric identities (trig identities) are equalities that involve trigonometric functions that are true for all values of the occurring variables.. Trig Identities Help.
From owlcation.com
Reciprocal Identities in Trigonometry (With Examples) Owlcation Trig Identities Help trigonometric identities (trig identities) are equalities that involve trigonometric functions that are true for all values of the occurring variables. trigonometric identities are the equations involving trigonometric functions and hold true for every value of the variables involved, provided that both sides. in this section, we will begin an examination of the fundamental trigonometric identities, including how. Trig Identities Help.
From study.com
Trigonometric Identities Definition, Formulas & Examples Video & Lesson Transcript Trig Identities Help trigonometric identities are the equations involving trigonometric functions and hold true for every value of the variables involved, provided that both sides. in this section, we will begin an examination of the fundamental trigonometric identities, including how we. trigonometric identities (trig identities) are equalities that involve trigonometric functions that are true for all values of the occurring. Trig Identities Help.
From www.youtube.com
Verifying Trigonometric Identities Membership YouTube Trig Identities Help Trigonometric identities are equations that are used to describe the many relationships that exist between the. trigonometric identities are the equations involving trigonometric functions and hold true for every value of the variables involved, provided that both sides. in this section, we will begin an examination of the fundamental trigonometric identities, including how we. Simplify trigonometric expressions using. Trig Identities Help.
From www.dummies.com
Trig Identities for PreCalculus dummies Trig Identities Help trigonometric identities are the equations involving trigonometric functions and hold true for every value of the variables involved, provided that both sides. in this section, we will begin an examination of the fundamental trigonometric identities, including how we. Trigonometric identities are equations that are used to describe the many relationships that exist between the. Simplify trigonometric expressions using. Trig Identities Help.
From community.boredofstudies.org
Help With Proving Trig Identities Trig Identities Help Trigonometric identities are equations that are used to describe the many relationships that exist between the. trigonometric identities are the equations involving trigonometric functions and hold true for every value of the variables involved, provided that both sides. in this section, we will begin an examination of the fundamental trigonometric identities, including how we. when we show. Trig Identities Help.
From www.eeweb.com
Trigonometry Rules, Laws, and Identities EE Trig Identities Help verify the fundamental trigonometric identities. Trigonometric identities are equations that are used to describe the many relationships that exist between the. trigonometric identities are the equations involving trigonometric functions and hold true for every value of the variables involved, provided that both sides. when we show that one trigonometric expression is equivalent to another expression, we have. Trig Identities Help.
From trigidentities.net
Trig Identities Table of Trigonometric Identities Trig Identities Help Trigonometric identities are equations that are used to describe the many relationships that exist between the. trigonometric identities (trig identities) are equalities that involve trigonometric functions that are true for all values of the occurring variables. Simplify trigonometric expressions using algebra and the. in this section, we will begin an examination of the fundamental trigonometric identities, including how. Trig Identities Help.
From trigidentities.net
Trig Identities Cheat Sheet [Solving Trigonometric Proofs] Trig Identities Help when we show that one trigonometric expression is equivalent to another expression, we have proved a. in this section, we will begin an examination of the fundamental trigonometric identities, including how we. Trigonometric identities are equations that are used to describe the many relationships that exist between the. verify the fundamental trigonometric identities. Simplify trigonometric expressions using. Trig Identities Help.
From www.onlinemathlearning.com
Trigonometric Identities (solutions, examples, videos) Trig Identities Help when we show that one trigonometric expression is equivalent to another expression, we have proved a. Trigonometric identities are equations that are used to describe the many relationships that exist between the. in this section, we will begin an examination of the fundamental trigonometric identities, including how we. verify the fundamental trigonometric identities. trigonometric identities (trig. Trig Identities Help.
From www.onlinemathlearning.com
Trigonometric Functions (examples, videos, worksheets, solutions, activities) Trig Identities Help trigonometric identities (trig identities) are equalities that involve trigonometric functions that are true for all values of the occurring variables. trigonometric identities are the equations involving trigonometric functions and hold true for every value of the variables involved, provided that both sides. Simplify trigonometric expressions using algebra and the. when we show that one trigonometric expression is. Trig Identities Help.
From study.com
How to Prove Trigonometric Identities Trigonometry Trig Identities Help in this section, we will begin an examination of the fundamental trigonometric identities, including how we. when we show that one trigonometric expression is equivalent to another expression, we have proved a. trigonometric identities (trig identities) are equalities that involve trigonometric functions that are true for all values of the occurring variables. verify the fundamental trigonometric. Trig Identities Help.
From trigidentities.info
Trig Identities All List of Trigonometric Identities Learn Trigonometry Trig Identities Help Trigonometric identities are equations that are used to describe the many relationships that exist between the. trigonometric identities are the equations involving trigonometric functions and hold true for every value of the variables involved, provided that both sides. Simplify trigonometric expressions using algebra and the. when we show that one trigonometric expression is equivalent to another expression, we. Trig Identities Help.
From afizzlegamingggg.blogspot.com
Trigonometric Identities Practice Worksheet / Verifying Trig Identities Trigonometric Trig Identities Help Simplify trigonometric expressions using algebra and the. Trigonometric identities are equations that are used to describe the many relationships that exist between the. in this section, we will begin an examination of the fundamental trigonometric identities, including how we. trigonometric identities (trig identities) are equalities that involve trigonometric functions that are true for all values of the occurring. Trig Identities Help.
From mathsux.org
Trig Identities Math Lessons Trig Identities Help Simplify trigonometric expressions using algebra and the. trigonometric identities are the equations involving trigonometric functions and hold true for every value of the variables involved, provided that both sides. trigonometric identities (trig identities) are equalities that involve trigonometric functions that are true for all values of the occurring variables. verify the fundamental trigonometric identities. in this. Trig Identities Help.
From learningschoolinsitovp.z22.web.core.windows.net
Solving Formulas Worksheet Trig Identities Help when we show that one trigonometric expression is equivalent to another expression, we have proved a. trigonometric identities (trig identities) are equalities that involve trigonometric functions that are true for all values of the occurring variables. Simplify trigonometric expressions using algebra and the. trigonometric identities are the equations involving trigonometric functions and hold true for every value. Trig Identities Help.
From trigidentities.net
How to Verify Trig Identities [Easy Methods] Trig Identities Help trigonometric identities are the equations involving trigonometric functions and hold true for every value of the variables involved, provided that both sides. Trigonometric identities are equations that are used to describe the many relationships that exist between the. Simplify trigonometric expressions using algebra and the. trigonometric identities (trig identities) are equalities that involve trigonometric functions that are true. Trig Identities Help.
From sciencenotes.org
Trig Identities Study Sheet Trig Identities Help verify the fundamental trigonometric identities. trigonometric identities are the equations involving trigonometric functions and hold true for every value of the variables involved, provided that both sides. trigonometric identities (trig identities) are equalities that involve trigonometric functions that are true for all values of the occurring variables. Trigonometric identities are equations that are used to describe the. Trig Identities Help.
From www.reddit.com
Trig identities question. Help appreciated. What’s the quickest way to go through these types of Trig Identities Help verify the fundamental trigonometric identities. when we show that one trigonometric expression is equivalent to another expression, we have proved a. trigonometric identities are the equations involving trigonometric functions and hold true for every value of the variables involved, provided that both sides. in this section, we will begin an examination of the fundamental trigonometric identities,. Trig Identities Help.
From www.kristakingmath.com
Trig identities What are they? — Krista King Math Online math help Trig Identities Help Simplify trigonometric expressions using algebra and the. when we show that one trigonometric expression is equivalent to another expression, we have proved a. Trigonometric identities are equations that are used to describe the many relationships that exist between the. trigonometric identities are the equations involving trigonometric functions and hold true for every value of the variables involved, provided. Trig Identities Help.
From www.e-streetlight.com
Verify Trig Identities Worksheet Trig Identities Help when we show that one trigonometric expression is equivalent to another expression, we have proved a. trigonometric identities are the equations involving trigonometric functions and hold true for every value of the variables involved, provided that both sides. Trigonometric identities are equations that are used to describe the many relationships that exist between the. in this section,. Trig Identities Help.
From www.reddit.com
Tips and Tricks for Verifying Trigonometric Identities + Practice Problems mathematics Trig Identities Help Simplify trigonometric expressions using algebra and the. trigonometric identities are the equations involving trigonometric functions and hold true for every value of the variables involved, provided that both sides. when we show that one trigonometric expression is equivalent to another expression, we have proved a. verify the fundamental trigonometric identities. Trigonometric identities are equations that are used. Trig Identities Help.
From studyingworksheets.com
Trig Identities Worksheet And Answers Studying Worksheets Trig Identities Help when we show that one trigonometric expression is equivalent to another expression, we have proved a. Simplify trigonometric expressions using algebra and the. trigonometric identities (trig identities) are equalities that involve trigonometric functions that are true for all values of the occurring variables. trigonometric identities are the equations involving trigonometric functions and hold true for every value. Trig Identities Help.
From mathequalslove.net
Trig Identities Cheat Sheet [Free Printable] Math = Love Trig Identities Help in this section, we will begin an examination of the fundamental trigonometric identities, including how we. when we show that one trigonometric expression is equivalent to another expression, we have proved a. trigonometric identities are the equations involving trigonometric functions and hold true for every value of the variables involved, provided that both sides. trigonometric identities. Trig Identities Help.
From trigidentities.net
Double Angle Trig Identities With Formulas and Examples Trig Identities Help Trigonometric identities are equations that are used to describe the many relationships that exist between the. trigonometric identities are the equations involving trigonometric functions and hold true for every value of the variables involved, provided that both sides. Simplify trigonometric expressions using algebra and the. in this section, we will begin an examination of the fundamental trigonometric identities,. Trig Identities Help.
From www.reddit.com
[Trig identities Help] [high school precalc] HomeworkHelp Trig Identities Help when we show that one trigonometric expression is equivalent to another expression, we have proved a. Trigonometric identities are equations that are used to describe the many relationships that exist between the. in this section, we will begin an examination of the fundamental trigonometric identities, including how we. verify the fundamental trigonometric identities. trigonometric identities are. Trig Identities Help.
From trigidentities.net
Trig Identities Table of Trigonometric Identities Trig Identities Help Trigonometric identities are equations that are used to describe the many relationships that exist between the. in this section, we will begin an examination of the fundamental trigonometric identities, including how we. Simplify trigonometric expressions using algebra and the. trigonometric identities (trig identities) are equalities that involve trigonometric functions that are true for all values of the occurring. Trig Identities Help.
From www.reddit.com
Homework Help! Grade 11 Trig. Identities r/askmath Trig Identities Help verify the fundamental trigonometric identities. in this section, we will begin an examination of the fundamental trigonometric identities, including how we. when we show that one trigonometric expression is equivalent to another expression, we have proved a. Simplify trigonometric expressions using algebra and the. trigonometric identities (trig identities) are equalities that involve trigonometric functions that are. Trig Identities Help.
From www.youtube.com
How to Solve Trigonometric Identities Proving Problems 1 YouTube Trig Identities Help Simplify trigonometric expressions using algebra and the. trigonometric identities (trig identities) are equalities that involve trigonometric functions that are true for all values of the occurring variables. when we show that one trigonometric expression is equivalent to another expression, we have proved a. verify the fundamental trigonometric identities. Trigonometric identities are equations that are used to describe. Trig Identities Help.
From blog.symbolab.com
Symbolab Blog High School Math Solutions Trigonometry Calculator, Trig Identities Trig Identities Help trigonometric identities are the equations involving trigonometric functions and hold true for every value of the variables involved, provided that both sides. trigonometric identities (trig identities) are equalities that involve trigonometric functions that are true for all values of the occurring variables. verify the fundamental trigonometric identities. Trigonometric identities are equations that are used to describe the. Trig Identities Help.