Mixed Effects Model With Nlme . This post focuses on how to write a a random intercept, random slope and intercept, and nested mixed effects model in the nlme package. Pinheiro, j.c., and bates, d.m. First of all, let’s derive a correct mixed model. Nlme is a package for fitting and comparing linear and nonlinear mixed effects models. We have mentioned that the genotype and n. Therefore, we change the fixed effect model into a mixed model, where we include the random ‘genotype by environment’ interaction. Yield ~ genotype * n. I have fit a few mixed effects models (particularly longitudinal models) using lme4 in r but would like to really master the models and the code.
from zhuanlan.zhihu.com
Nlme is a package for fitting and comparing linear and nonlinear mixed effects models. This post focuses on how to write a a random intercept, random slope and intercept, and nested mixed effects model in the nlme package. Pinheiro, j.c., and bates, d.m. Yield ~ genotype * n. We have mentioned that the genotype and n. Therefore, we change the fixed effect model into a mixed model, where we include the random ‘genotype by environment’ interaction. I have fit a few mixed effects models (particularly longitudinal models) using lme4 in r but would like to really master the models and the code. First of all, let’s derive a correct mixed model.
mixedeffect model, 这一篇博客就够了!!
Mixed Effects Model With Nlme First of all, let’s derive a correct mixed model. Therefore, we change the fixed effect model into a mixed model, where we include the random ‘genotype by environment’ interaction. Nlme is a package for fitting and comparing linear and nonlinear mixed effects models. Pinheiro, j.c., and bates, d.m. I have fit a few mixed effects models (particularly longitudinal models) using lme4 in r but would like to really master the models and the code. Yield ~ genotype * n. We have mentioned that the genotype and n. First of all, let’s derive a correct mixed model. This post focuses on how to write a a random intercept, random slope and intercept, and nested mixed effects model in the nlme package.
From slidetodoc.com
Type 2 Diabetes Mellitus treatment via SGLT 2 Mixed Effects Model With Nlme First of all, let’s derive a correct mixed model. I have fit a few mixed effects models (particularly longitudinal models) using lme4 in r but would like to really master the models and the code. Pinheiro, j.c., and bates, d.m. Therefore, we change the fixed effect model into a mixed model, where we include the random ‘genotype by environment’ interaction.. Mixed Effects Model With Nlme.
From terpconnect.umd.edu
Linear Mixed Effects Models Mixed Effects Model With Nlme I have fit a few mixed effects models (particularly longitudinal models) using lme4 in r but would like to really master the models and the code. Pinheiro, j.c., and bates, d.m. This post focuses on how to write a a random intercept, random slope and intercept, and nested mixed effects model in the nlme package. We have mentioned that the. Mixed Effects Model With Nlme.
From terpconnect.umd.edu
Linear Mixed Effects Models Mixed Effects Model With Nlme This post focuses on how to write a a random intercept, random slope and intercept, and nested mixed effects model in the nlme package. Therefore, we change the fixed effect model into a mixed model, where we include the random ‘genotype by environment’ interaction. We have mentioned that the genotype and n. First of all, let’s derive a correct mixed. Mixed Effects Model With Nlme.
From stats.stackexchange.com
lme4 nlme Correct way of giving weights using linear mixedeffects Mixed Effects Model With Nlme Pinheiro, j.c., and bates, d.m. I have fit a few mixed effects models (particularly longitudinal models) using lme4 in r but would like to really master the models and the code. Nlme is a package for fitting and comparing linear and nonlinear mixed effects models. This post focuses on how to write a a random intercept, random slope and intercept,. Mixed Effects Model With Nlme.
From uoftcoders.github.io
Linear mixedeffects models Mixed Effects Model With Nlme Nlme is a package for fitting and comparing linear and nonlinear mixed effects models. Pinheiro, j.c., and bates, d.m. This post focuses on how to write a a random intercept, random slope and intercept, and nested mixed effects model in the nlme package. Therefore, we change the fixed effect model into a mixed model, where we include the random ‘genotype. Mixed Effects Model With Nlme.
From www.researchgate.net
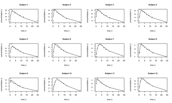
The fitted profiles of the mixed effects model (NLME Mixed Effects Model With Nlme Therefore, we change the fixed effect model into a mixed model, where we include the random ‘genotype by environment’ interaction. Nlme is a package for fitting and comparing linear and nonlinear mixed effects models. First of all, let’s derive a correct mixed model. Yield ~ genotype * n. Pinheiro, j.c., and bates, d.m. This post focuses on how to write. Mixed Effects Model With Nlme.
From slideplayer.com
Knowledge Base and Ontology of Probability Distributions ppt download Mixed Effects Model With Nlme I have fit a few mixed effects models (particularly longitudinal models) using lme4 in r but would like to really master the models and the code. Pinheiro, j.c., and bates, d.m. First of all, let’s derive a correct mixed model. Nlme is a package for fitting and comparing linear and nonlinear mixed effects models. Yield ~ genotype * n. This. Mixed Effects Model With Nlme.
From zhuanlan.zhihu.com
mixedeffect model, 这一篇博客就够了!! Mixed Effects Model With Nlme First of all, let’s derive a correct mixed model. This post focuses on how to write a a random intercept, random slope and intercept, and nested mixed effects model in the nlme package. Nlme is a package for fitting and comparing linear and nonlinear mixed effects models. We have mentioned that the genotype and n. Pinheiro, j.c., and bates, d.m.. Mixed Effects Model With Nlme.
From www.youtube.com
Linear mixed effects models YouTube Mixed Effects Model With Nlme Pinheiro, j.c., and bates, d.m. First of all, let’s derive a correct mixed model. Yield ~ genotype * n. I have fit a few mixed effects models (particularly longitudinal models) using lme4 in r but would like to really master the models and the code. Nlme is a package for fitting and comparing linear and nonlinear mixed effects models. We. Mixed Effects Model With Nlme.
From www.researchgate.net
Summary of mixedeffects model (NLMM) fits of the Mixed Effects Model With Nlme I have fit a few mixed effects models (particularly longitudinal models) using lme4 in r but would like to really master the models and the code. Nlme is a package for fitting and comparing linear and nonlinear mixed effects models. First of all, let’s derive a correct mixed model. Yield ~ genotype * n. Therefore, we change the fixed effect. Mixed Effects Model With Nlme.
From zhuanlan.zhihu.com
mixedeffect model, 这一篇博客就够了!! Mixed Effects Model With Nlme This post focuses on how to write a a random intercept, random slope and intercept, and nested mixed effects model in the nlme package. We have mentioned that the genotype and n. I have fit a few mixed effects models (particularly longitudinal models) using lme4 in r but would like to really master the models and the code. Pinheiro, j.c.,. Mixed Effects Model With Nlme.
From zhuanlan.zhihu.com
mixedeffect model, 这一篇博客就够了!! Mixed Effects Model With Nlme This post focuses on how to write a a random intercept, random slope and intercept, and nested mixed effects model in the nlme package. Therefore, we change the fixed effect model into a mixed model, where we include the random ‘genotype by environment’ interaction. Pinheiro, j.c., and bates, d.m. I have fit a few mixed effects models (particularly longitudinal models). Mixed Effects Model With Nlme.
From stats.stackexchange.com
lme4 nlme Interpreting the variance of random effects in Mixed Linear Mixed Effects Model With Nlme Yield ~ genotype * n. This post focuses on how to write a a random intercept, random slope and intercept, and nested mixed effects model in the nlme package. I have fit a few mixed effects models (particularly longitudinal models) using lme4 in r but would like to really master the models and the code. Therefore, we change the fixed. Mixed Effects Model With Nlme.
From zhuanlan.zhihu.com
mixedeffect model, 这一篇博客就够了!! Mixed Effects Model With Nlme First of all, let’s derive a correct mixed model. Therefore, we change the fixed effect model into a mixed model, where we include the random ‘genotype by environment’ interaction. Pinheiro, j.c., and bates, d.m. Yield ~ genotype * n. Nlme is a package for fitting and comparing linear and nonlinear mixed effects models. This post focuses on how to write. Mixed Effects Model With Nlme.
From www.youtube.com
R syntax of pdBlocked to specify covariance matrix in mixedeffects Mixed Effects Model With Nlme This post focuses on how to write a a random intercept, random slope and intercept, and nested mixed effects model in the nlme package. Yield ~ genotype * n. First of all, let’s derive a correct mixed model. We have mentioned that the genotype and n. Pinheiro, j.c., and bates, d.m. Therefore, we change the fixed effect model into a. Mixed Effects Model With Nlme.
From stats.stackexchange.com
lme4 nlme Plotting random effects in mixedeffects model Cross Mixed Effects Model With Nlme I have fit a few mixed effects models (particularly longitudinal models) using lme4 in r but would like to really master the models and the code. We have mentioned that the genotype and n. Nlme is a package for fitting and comparing linear and nonlinear mixed effects models. First of all, let’s derive a correct mixed model. Yield ~ genotype. Mixed Effects Model With Nlme.
From www.r-bloggers.com
Fitting mixed models with 'nlme' Example 4 Rbloggers Mixed Effects Model With Nlme Yield ~ genotype * n. I have fit a few mixed effects models (particularly longitudinal models) using lme4 in r but would like to really master the models and the code. First of all, let’s derive a correct mixed model. This post focuses on how to write a a random intercept, random slope and intercept, and nested mixed effects model. Mixed Effects Model With Nlme.
From njsilbiger.github.io
Mixed Effects Models with nlme Nyssa Silbiger Assistant Professor Mixed Effects Model With Nlme First of all, let’s derive a correct mixed model. Yield ~ genotype * n. I have fit a few mixed effects models (particularly longitudinal models) using lme4 in r but would like to really master the models and the code. This post focuses on how to write a a random intercept, random slope and intercept, and nested mixed effects model. Mixed Effects Model With Nlme.
From www.john-ros.com
Chapter 8 Linear Mixed Models R (BGU course) Mixed Effects Model With Nlme Therefore, we change the fixed effect model into a mixed model, where we include the random ‘genotype by environment’ interaction. First of all, let’s derive a correct mixed model. We have mentioned that the genotype and n. Yield ~ genotype * n. I have fit a few mixed effects models (particularly longitudinal models) using lme4 in r but would like. Mixed Effects Model With Nlme.
From www.youtube.com
mixed effects models (NLME) explained YouTube Mixed Effects Model With Nlme This post focuses on how to write a a random intercept, random slope and intercept, and nested mixed effects model in the nlme package. I have fit a few mixed effects models (particularly longitudinal models) using lme4 in r but would like to really master the models and the code. Therefore, we change the fixed effect model into a mixed. Mixed Effects Model With Nlme.
From www.statstest.com
Mixed Effects Model Mixed Effects Model With Nlme Nlme is a package for fitting and comparing linear and nonlinear mixed effects models. First of all, let’s derive a correct mixed model. Therefore, we change the fixed effect model into a mixed model, where we include the random ‘genotype by environment’ interaction. Yield ~ genotype * n. I have fit a few mixed effects models (particularly longitudinal models) using. Mixed Effects Model With Nlme.
From github.com
GitHub arrjon/AmortizedNLMEModels Applying amortizing neural Mixed Effects Model With Nlme We have mentioned that the genotype and n. Nlme is a package for fitting and comparing linear and nonlinear mixed effects models. Yield ~ genotype * n. Therefore, we change the fixed effect model into a mixed model, where we include the random ‘genotype by environment’ interaction. First of all, let’s derive a correct mixed model. This post focuses on. Mixed Effects Model With Nlme.
From www.nhbs.com
Mixed Models Theory and Applications NHBS Academic & Professional Books Mixed Effects Model With Nlme I have fit a few mixed effects models (particularly longitudinal models) using lme4 in r but would like to really master the models and the code. Therefore, we change the fixed effect model into a mixed model, where we include the random ‘genotype by environment’ interaction. First of all, let’s derive a correct mixed model. Pinheiro, j.c., and bates, d.m.. Mixed Effects Model With Nlme.
From www.researchgate.net
The mixed effects (NLME) model parametrization enables Mixed Effects Model With Nlme Yield ~ genotype * n. We have mentioned that the genotype and n. Pinheiro, j.c., and bates, d.m. I have fit a few mixed effects models (particularly longitudinal models) using lme4 in r but would like to really master the models and the code. Nlme is a package for fitting and comparing linear and nonlinear mixed effects models. This post. Mixed Effects Model With Nlme.
From stats.stackexchange.com
lme4 nlme Interpretation of interaction terms with time in linear Mixed Effects Model With Nlme Yield ~ genotype * n. We have mentioned that the genotype and n. First of all, let’s derive a correct mixed model. I have fit a few mixed effects models (particularly longitudinal models) using lme4 in r but would like to really master the models and the code. Therefore, we change the fixed effect model into a mixed model, where. Mixed Effects Model With Nlme.
From uoftcoders.github.io
Linear mixedeffects models Mixed Effects Model With Nlme First of all, let’s derive a correct mixed model. Therefore, we change the fixed effect model into a mixed model, where we include the random ‘genotype by environment’ interaction. This post focuses on how to write a a random intercept, random slope and intercept, and nested mixed effects model in the nlme package. Nlme is a package for fitting and. Mixed Effects Model With Nlme.
From zhuanlan.zhihu.com
mixedeffect model, 这一篇博客就够了!! Mixed Effects Model With Nlme Pinheiro, j.c., and bates, d.m. First of all, let’s derive a correct mixed model. I have fit a few mixed effects models (particularly longitudinal models) using lme4 in r but would like to really master the models and the code. Therefore, we change the fixed effect model into a mixed model, where we include the random ‘genotype by environment’ interaction.. Mixed Effects Model With Nlme.
From stats.stackexchange.com
lme4 nlme Interpretation of interaction and nested random effects in Mixed Effects Model With Nlme Pinheiro, j.c., and bates, d.m. We have mentioned that the genotype and n. First of all, let’s derive a correct mixed model. I have fit a few mixed effects models (particularly longitudinal models) using lme4 in r but would like to really master the models and the code. Nlme is a package for fitting and comparing linear and nonlinear mixed. Mixed Effects Model With Nlme.
From stats.stackexchange.com
r How to perform linear mixed effect model on longitudinal data in Mixed Effects Model With Nlme This post focuses on how to write a a random intercept, random slope and intercept, and nested mixed effects model in the nlme package. We have mentioned that the genotype and n. Therefore, we change the fixed effect model into a mixed model, where we include the random ‘genotype by environment’ interaction. Nlme is a package for fitting and comparing. Mixed Effects Model With Nlme.
From uoftcoders.github.io
Linear mixedeffects models Mixed Effects Model With Nlme First of all, let’s derive a correct mixed model. Nlme is a package for fitting and comparing linear and nonlinear mixed effects models. I have fit a few mixed effects models (particularly longitudinal models) using lme4 in r but would like to really master the models and the code. Yield ~ genotype * n. Pinheiro, j.c., and bates, d.m. Therefore,. Mixed Effects Model With Nlme.
From www.researchgate.net
The effect of varying sampling sizes on the prediction of the Mixed Effects Model With Nlme This post focuses on how to write a a random intercept, random slope and intercept, and nested mixed effects model in the nlme package. Nlme is a package for fitting and comparing linear and nonlinear mixed effects models. First of all, let’s derive a correct mixed model. Yield ~ genotype * n. We have mentioned that the genotype and n.. Mixed Effects Model With Nlme.
From zhuanlan.zhihu.com
mixedeffect model, 这一篇博客就够了!! Mixed Effects Model With Nlme Pinheiro, j.c., and bates, d.m. I have fit a few mixed effects models (particularly longitudinal models) using lme4 in r but would like to really master the models and the code. Nlme is a package for fitting and comparing linear and nonlinear mixed effects models. This post focuses on how to write a a random intercept, random slope and intercept,. Mixed Effects Model With Nlme.
From stats.stackexchange.com
lme4 nlme Mixed Effects model with and without nesting assumptions Mixed Effects Model With Nlme This post focuses on how to write a a random intercept, random slope and intercept, and nested mixed effects model in the nlme package. I have fit a few mixed effects models (particularly longitudinal models) using lme4 in r but would like to really master the models and the code. Yield ~ genotype * n. Therefore, we change the fixed. Mixed Effects Model With Nlme.
From njsilbiger.github.io
Mixed Effects Models with nlme Nyssa Silbiger Assistant Professor Mixed Effects Model With Nlme First of all, let’s derive a correct mixed model. I have fit a few mixed effects models (particularly longitudinal models) using lme4 in r but would like to really master the models and the code. Therefore, we change the fixed effect model into a mixed model, where we include the random ‘genotype by environment’ interaction. Yield ~ genotype * n.. Mixed Effects Model With Nlme.
From www.researchgate.net
An NLME model captures inter‐animal variability in tumor volume Mixed Effects Model With Nlme Nlme is a package for fitting and comparing linear and nonlinear mixed effects models. I have fit a few mixed effects models (particularly longitudinal models) using lme4 in r but would like to really master the models and the code. This post focuses on how to write a a random intercept, random slope and intercept, and nested mixed effects model. Mixed Effects Model With Nlme.