Cost Engineering Certification . Becoming a certified cost engineer gives people an immediate confirmation of your capabilities and as such is an added value to your career. This course prepares candidates for aace’s ccp certification and develops competency to. Certified cost professional (ccp) about course. Aace international’s certified cost consultant / certified cost engineer (ccc/cce) certification program is designed to establish credentials to recognize your professional. This is the ultimate course to obtain. The certified cost professional (ccp) certification is designed to validate professionals' proficiency in cost engineering,. Nous voudrions effectuer une description ici mais le site que vous consultez ne nous en laisse pas la possibilité. Learn about the industry's best practices and get up to date with the latest project cost management techniques. This certified cost professional training will prepare you for the official international cost professional certificate of aace, the.
from www.costengineeringacademy.eu
Aace international’s certified cost consultant / certified cost engineer (ccc/cce) certification program is designed to establish credentials to recognize your professional. Becoming a certified cost engineer gives people an immediate confirmation of your capabilities and as such is an added value to your career. The certified cost professional (ccp) certification is designed to validate professionals' proficiency in cost engineering,. This is the ultimate course to obtain. Certified cost professional (ccp) about course. This course prepares candidates for aace’s ccp certification and develops competency to. Learn about the industry's best practices and get up to date with the latest project cost management techniques. Nous voudrions effectuer une description ici mais le site que vous consultez ne nous en laisse pas la possibilité. This certified cost professional training will prepare you for the official international cost professional certificate of aace, the.
About Cost Engineering Academy
Cost Engineering Certification Aace international’s certified cost consultant / certified cost engineer (ccc/cce) certification program is designed to establish credentials to recognize your professional. Aace international’s certified cost consultant / certified cost engineer (ccc/cce) certification program is designed to establish credentials to recognize your professional. Becoming a certified cost engineer gives people an immediate confirmation of your capabilities and as such is an added value to your career. Nous voudrions effectuer une description ici mais le site que vous consultez ne nous en laisse pas la possibilité. This is the ultimate course to obtain. The certified cost professional (ccp) certification is designed to validate professionals' proficiency in cost engineering,. Certified cost professional (ccp) about course. This certified cost professional training will prepare you for the official international cost professional certificate of aace, the. This course prepares candidates for aace’s ccp certification and develops competency to. Learn about the industry's best practices and get up to date with the latest project cost management techniques.
From www.costengineeringacademy.eu
CCP Certification Course Cost Engineering Academy Cost Engineering Certification This certified cost professional training will prepare you for the official international cost professional certificate of aace, the. The certified cost professional (ccp) certification is designed to validate professionals' proficiency in cost engineering,. This is the ultimate course to obtain. Certified cost professional (ccp) about course. Becoming a certified cost engineer gives people an immediate confirmation of your capabilities and. Cost Engineering Certification.
From www.pdffiller.com
Virginia Cost Certification Fill Online, Printable, Fillable, Blank Cost Engineering Certification This course prepares candidates for aace’s ccp certification and develops competency to. Certified cost professional (ccp) about course. The certified cost professional (ccp) certification is designed to validate professionals' proficiency in cost engineering,. Becoming a certified cost engineer gives people an immediate confirmation of your capabilities and as such is an added value to your career. Nous voudrions effectuer une. Cost Engineering Certification.
From www.erp-information.com
TOGAF Certification Cost (Certification Types, Exams, Costs) Cost Engineering Certification Learn about the industry's best practices and get up to date with the latest project cost management techniques. This is the ultimate course to obtain. Becoming a certified cost engineer gives people an immediate confirmation of your capabilities and as such is an added value to your career. This course prepares candidates for aace’s ccp certification and develops competency to.. Cost Engineering Certification.
From www.slideshare.net
492 certified_cost_engineer_cce Cost Engineering Certification Becoming a certified cost engineer gives people an immediate confirmation of your capabilities and as such is an added value to your career. This certified cost professional training will prepare you for the official international cost professional certificate of aace, the. Certified cost professional (ccp) about course. This is the ultimate course to obtain. Nous voudrions effectuer une description ici. Cost Engineering Certification.
From resumeworded.com
Resume Skills and Keywords for Cost Engineer (Updated for 2024) Cost Engineering Certification Nous voudrions effectuer une description ici mais le site que vous consultez ne nous en laisse pas la possibilité. This is the ultimate course to obtain. Aace international’s certified cost consultant / certified cost engineer (ccc/cce) certification program is designed to establish credentials to recognize your professional. Certified cost professional (ccp) about course. Becoming a certified cost engineer gives people. Cost Engineering Certification.
From www.slideshare.net
Viewing and Validating Digital Diplomas PPT Cost Engineering Certification This is the ultimate course to obtain. Nous voudrions effectuer une description ici mais le site que vous consultez ne nous en laisse pas la possibilité. Learn about the industry's best practices and get up to date with the latest project cost management techniques. Becoming a certified cost engineer gives people an immediate confirmation of your capabilities and as such. Cost Engineering Certification.
From 24h.pchome.com.tw
Cost Engineering A Complete Guide 2019 Edition PChome 24h書店 Cost Engineering Certification Learn about the industry's best practices and get up to date with the latest project cost management techniques. Nous voudrions effectuer une description ici mais le site que vous consultez ne nous en laisse pas la possibilité. Aace international’s certified cost consultant / certified cost engineer (ccc/cce) certification program is designed to establish credentials to recognize your professional. This is. Cost Engineering Certification.
From acuityinternational.com
What is Cost Engineering Beyond Budgets to Building Success Cost Engineering Certification Becoming a certified cost engineer gives people an immediate confirmation of your capabilities and as such is an added value to your career. This is the ultimate course to obtain. The certified cost professional (ccp) certification is designed to validate professionals' proficiency in cost engineering,. Nous voudrions effectuer une description ici mais le site que vous consultez ne nous en. Cost Engineering Certification.
From acuityinternational.com
What is Cost Engineering Beyond Budgets to Building Success Cost Engineering Certification This course prepares candidates for aace’s ccp certification and develops competency to. Aace international’s certified cost consultant / certified cost engineer (ccc/cce) certification program is designed to establish credentials to recognize your professional. Certified cost professional (ccp) about course. This is the ultimate course to obtain. This certified cost professional training will prepare you for the official international cost professional. Cost Engineering Certification.
From academy.costengineering.eu
About Cost Engineering Academy Cost Engineering Certification Nous voudrions effectuer une description ici mais le site que vous consultez ne nous en laisse pas la possibilité. Becoming a certified cost engineer gives people an immediate confirmation of your capabilities and as such is an added value to your career. This is the ultimate course to obtain. Certified cost professional (ccp) about course. The certified cost professional (ccp). Cost Engineering Certification.
From www.epictraining.ca
Cost Engineering Effective Estimating and Cost Control of Engineering Cost Engineering Certification This certified cost professional training will prepare you for the official international cost professional certificate of aace, the. Learn about the industry's best practices and get up to date with the latest project cost management techniques. This is the ultimate course to obtain. The certified cost professional (ccp) certification is designed to validate professionals' proficiency in cost engineering,. Becoming a. Cost Engineering Certification.
From www.engineeringmanagement.info
Exam Sample to Certified Cost Professional Cost Engineering Certification This is the ultimate course to obtain. The certified cost professional (ccp) certification is designed to validate professionals' proficiency in cost engineering,. Aace international’s certified cost consultant / certified cost engineer (ccc/cce) certification program is designed to establish credentials to recognize your professional. Learn about the industry's best practices and get up to date with the latest project cost management. Cost Engineering Certification.
From pmstudycircle.com
CISSP Certification Cost (2023) Breakdown of CISSP Cost PM Study Circle Cost Engineering Certification The certified cost professional (ccp) certification is designed to validate professionals' proficiency in cost engineering,. Aace international’s certified cost consultant / certified cost engineer (ccc/cce) certification program is designed to establish credentials to recognize your professional. This course prepares candidates for aace’s ccp certification and develops competency to. This is the ultimate course to obtain. Certified cost professional (ccp) about. Cost Engineering Certification.
From jkmichaelspm.com
1. ROLE OF COST ENGINEERING IN PROJECT MANAGEMENT Cost Engineering Certification Becoming a certified cost engineer gives people an immediate confirmation of your capabilities and as such is an added value to your career. Aace international’s certified cost consultant / certified cost engineer (ccc/cce) certification program is designed to establish credentials to recognize your professional. Nous voudrions effectuer une description ici mais le site que vous consultez ne nous en laisse. Cost Engineering Certification.
From www.slideserve.com
PPT The Use of Professional Credentialing in Helping to Establish a Cost Engineering Certification This course prepares candidates for aace’s ccp certification and develops competency to. Learn about the industry's best practices and get up to date with the latest project cost management techniques. This is the ultimate course to obtain. Aace international’s certified cost consultant / certified cost engineer (ccc/cce) certification program is designed to establish credentials to recognize your professional. Certified cost. Cost Engineering Certification.
From prntbl.concejomunicipaldechinu.gov.co
Foundation Certification Cost prntbl.concejomunicipaldechinu.gov.co Cost Engineering Certification This certified cost professional training will prepare you for the official international cost professional certificate of aace, the. Certified cost professional (ccp) about course. This course prepares candidates for aace’s ccp certification and develops competency to. Becoming a certified cost engineer gives people an immediate confirmation of your capabilities and as such is an added value to your career. Learn. Cost Engineering Certification.
From www.erp-information.com
TOGAF Certification Cost (Certification Types, Exams, Costs) Cost Engineering Certification Certified cost professional (ccp) about course. Aace international’s certified cost consultant / certified cost engineer (ccc/cce) certification program is designed to establish credentials to recognize your professional. This is the ultimate course to obtain. Becoming a certified cost engineer gives people an immediate confirmation of your capabilities and as such is an added value to your career. Learn about the. Cost Engineering Certification.
From www.slideshare.net
492 certified_cost_engineer_cce Cost Engineering Certification Certified cost professional (ccp) about course. Becoming a certified cost engineer gives people an immediate confirmation of your capabilities and as such is an added value to your career. Learn about the industry's best practices and get up to date with the latest project cost management techniques. The certified cost professional (ccp) certification is designed to validate professionals' proficiency in. Cost Engineering Certification.
From www.pathlms.com
Skills & Knowledge of Cost Engineering, 6th Edition (Digital Version Cost Engineering Certification This course prepares candidates for aace’s ccp certification and develops competency to. Aace international’s certified cost consultant / certified cost engineer (ccc/cce) certification program is designed to establish credentials to recognize your professional. Certified cost professional (ccp) about course. This is the ultimate course to obtain. This certified cost professional training will prepare you for the official international cost professional. Cost Engineering Certification.
From www.linkedin.com
The journey to a Certified Cost Professional (CCP) in Australia Cost Engineering Certification The certified cost professional (ccp) certification is designed to validate professionals' proficiency in cost engineering,. This is the ultimate course to obtain. This course prepares candidates for aace’s ccp certification and develops competency to. Learn about the industry's best practices and get up to date with the latest project cost management techniques. Nous voudrions effectuer une description ici mais le. Cost Engineering Certification.
From arlingtoncountybusinesslicenseapplica.blogspot.com
Arlington County Business License Application Pe License Exam Cost Engineering Certification This course prepares candidates for aace’s ccp certification and develops competency to. Learn about the industry's best practices and get up to date with the latest project cost management techniques. The certified cost professional (ccp) certification is designed to validate professionals' proficiency in cost engineering,. This is the ultimate course to obtain. Certified cost professional (ccp) about course. This certified. Cost Engineering Certification.
From www.scribd.com
Cost Engineering Certification Course Offered by QuadraPlus Institute Cost Engineering Certification This certified cost professional training will prepare you for the official international cost professional certificate of aace, the. The certified cost professional (ccp) certification is designed to validate professionals' proficiency in cost engineering,. Becoming a certified cost engineer gives people an immediate confirmation of your capabilities and as such is an added value to your career. Aace international’s certified cost. Cost Engineering Certification.
From www.costengineeringacademy.eu
About Cost Engineering Academy Cost Engineering Certification Becoming a certified cost engineer gives people an immediate confirmation of your capabilities and as such is an added value to your career. Certified cost professional (ccp) about course. This certified cost professional training will prepare you for the official international cost professional certificate of aace, the. Learn about the industry's best practices and get up to date with the. Cost Engineering Certification.
From www.youtube.com
1 Intro. WHY CCP Certification! YouTube Cost Engineering Certification Becoming a certified cost engineer gives people an immediate confirmation of your capabilities and as such is an added value to your career. Certified cost professional (ccp) about course. The certified cost professional (ccp) certification is designed to validate professionals' proficiency in cost engineering,. This is the ultimate course to obtain. This course prepares candidates for aace’s ccp certification and. Cost Engineering Certification.
From 3an.blogspot.com
[ blog of mine ] Certified Cost Engineer (CCE) Cost Engineering Certification Becoming a certified cost engineer gives people an immediate confirmation of your capabilities and as such is an added value to your career. This is the ultimate course to obtain. Aace international’s certified cost consultant / certified cost engineer (ccc/cce) certification program is designed to establish credentials to recognize your professional. This certified cost professional training will prepare you for. Cost Engineering Certification.
From www.steelstructure-building.com
steel structure building, prefab house, prefabricated steel structure Cost Engineering Certification The certified cost professional (ccp) certification is designed to validate professionals' proficiency in cost engineering,. This certified cost professional training will prepare you for the official international cost professional certificate of aace, the. Certified cost professional (ccp) about course. Nous voudrions effectuer une description ici mais le site que vous consultez ne nous en laisse pas la possibilité. Becoming a. Cost Engineering Certification.
From courses.laimoon.com
Monthly Sessions Available Certified Cost Engineer / Consultant (CCE Cost Engineering Certification This course prepares candidates for aace’s ccp certification and develops competency to. Learn about the industry's best practices and get up to date with the latest project cost management techniques. Aace international’s certified cost consultant / certified cost engineer (ccc/cce) certification program is designed to establish credentials to recognize your professional. This is the ultimate course to obtain. The certified. Cost Engineering Certification.
From www.slideshare.net
GASCO's Appreciation Certificate for COST ENGINEER PDF Cost Engineering Certification This course prepares candidates for aace’s ccp certification and develops competency to. This is the ultimate course to obtain. Aace international’s certified cost consultant / certified cost engineer (ccc/cce) certification program is designed to establish credentials to recognize your professional. Certified cost professional (ccp) about course. Learn about the industry's best practices and get up to date with the latest. Cost Engineering Certification.
From petroedgeasia.net
Cost Engineering, Financing and Risk Management for Upstream and Cost Engineering Certification Nous voudrions effectuer une description ici mais le site que vous consultez ne nous en laisse pas la possibilité. The certified cost professional (ccp) certification is designed to validate professionals' proficiency in cost engineering,. Aace international’s certified cost consultant / certified cost engineer (ccc/cce) certification program is designed to establish credentials to recognize your professional. Learn about the industry's best. Cost Engineering Certification.
From powercampaigner.blogspot.com
Certified Cost Engineer (CCP) Certification at CEBS. Powercampaigner Cost Engineering Certification This is the ultimate course to obtain. Learn about the industry's best practices and get up to date with the latest project cost management techniques. Nous voudrions effectuer une description ici mais le site que vous consultez ne nous en laisse pas la possibilité. Becoming a certified cost engineer gives people an immediate confirmation of your capabilities and as such. Cost Engineering Certification.
From www.scribd.com
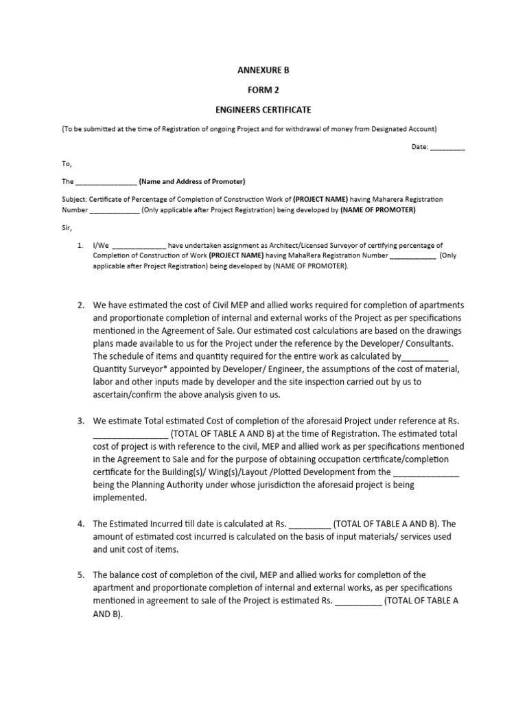
FORM 2 (Engineer Certificate) PDF Cost Engineer Cost Engineering Certification This is the ultimate course to obtain. Becoming a certified cost engineer gives people an immediate confirmation of your capabilities and as such is an added value to your career. This course prepares candidates for aace’s ccp certification and develops competency to. Certified cost professional (ccp) about course. Aace international’s certified cost consultant / certified cost engineer (ccc/cce) certification program. Cost Engineering Certification.
From engineering-tracks.com
Engineering Tracks Cost Engineering Certification The certified cost professional (ccp) certification is designed to validate professionals' proficiency in cost engineering,. Aace international’s certified cost consultant / certified cost engineer (ccc/cce) certification program is designed to establish credentials to recognize your professional. This course prepares candidates for aace’s ccp certification and develops competency to. This is the ultimate course to obtain. Nous voudrions effectuer une description. Cost Engineering Certification.
From pwskills.com
AWS DevOps Engineer Certification Cost Cost Engineering Certification This course prepares candidates for aace’s ccp certification and develops competency to. Nous voudrions effectuer une description ici mais le site que vous consultez ne nous en laisse pas la possibilité. Becoming a certified cost engineer gives people an immediate confirmation of your capabilities and as such is an added value to your career. The certified cost professional (ccp) certification. Cost Engineering Certification.
From www.studocu.com
Lecture 1 Introduction on Cost Engineering (FAZ) CVE Introduction to Cost Engineering Certification Learn about the industry's best practices and get up to date with the latest project cost management techniques. Nous voudrions effectuer une description ici mais le site que vous consultez ne nous en laisse pas la possibilité. This certified cost professional training will prepare you for the official international cost professional certificate of aace, the. The certified cost professional (ccp). Cost Engineering Certification.
From dokumen.tips
(PDF) 01Cost Engineering Basics DOKUMEN.TIPS Cost Engineering Certification Becoming a certified cost engineer gives people an immediate confirmation of your capabilities and as such is an added value to your career. Learn about the industry's best practices and get up to date with the latest project cost management techniques. Certified cost professional (ccp) about course. The certified cost professional (ccp) certification is designed to validate professionals' proficiency in. Cost Engineering Certification.