How To File Blotter Report Philippines . Filing a blotter report with the national bureau of investigation (nbi) in the philippines is a formal way to document incidents. The first step in taking legal action is to report the crime to the proper authorities, typically to officials of the barangay where the incident happened, or to the police. Filing a complaint at the philippine national police (pnp) unit or station normally begins with filling out an incident report form. Ang barangay o police blotter ay isa lamang report ng anumang insidente o pangyayari at hindi ito ang mismong complaint o reklamo na. If you are a victim of crime or felony in the philippines, it is wise to report the crime or felony with the barangay and police authorities. Report a crime to the pnp. In the philippines, filing a blotter report is a common step taken by individuals to document complaints or incidents with local. Secure a copy of an incident record form (irf) the directorate for investigation and detective management (didm) developed the pnp crime incident recording. Filing a police blotter is a key step in legal proceedings, even if it's not done immediately after the incident.
from www.studocu.com
In the philippines, filing a blotter report is a common step taken by individuals to document complaints or incidents with local. Filing a complaint at the philippine national police (pnp) unit or station normally begins with filling out an incident report form. Ang barangay o police blotter ay isa lamang report ng anumang insidente o pangyayari at hindi ito ang mismong complaint o reklamo na. The first step in taking legal action is to report the crime to the proper authorities, typically to officials of the barangay where the incident happened, or to the police. Filing a police blotter is a key step in legal proceedings, even if it's not done immediately after the incident. If you are a victim of crime or felony in the philippines, it is wise to report the crime or felony with the barangay and police authorities. Filing a blotter report with the national bureau of investigation (nbi) in the philippines is a formal way to document incidents. Secure a copy of an incident record form (irf) the directorate for investigation and detective management (didm) developed the pnp crime incident recording. Report a crime to the pnp.
PNP counter affidavit Republic of the Philippines National Police
How To File Blotter Report Philippines Filing a police blotter is a key step in legal proceedings, even if it's not done immediately after the incident. Filing a police blotter is a key step in legal proceedings, even if it's not done immediately after the incident. Filing a complaint at the philippine national police (pnp) unit or station normally begins with filling out an incident report form. Filing a blotter report with the national bureau of investigation (nbi) in the philippines is a formal way to document incidents. Report a crime to the pnp. In the philippines, filing a blotter report is a common step taken by individuals to document complaints or incidents with local. If you are a victim of crime or felony in the philippines, it is wise to report the crime or felony with the barangay and police authorities. The first step in taking legal action is to report the crime to the proper authorities, typically to officials of the barangay where the incident happened, or to the police. Secure a copy of an incident record form (irf) the directorate for investigation and detective management (didm) developed the pnp crime incident recording. Ang barangay o police blotter ay isa lamang report ng anumang insidente o pangyayari at hindi ito ang mismong complaint o reklamo na.
From www.scribd.com
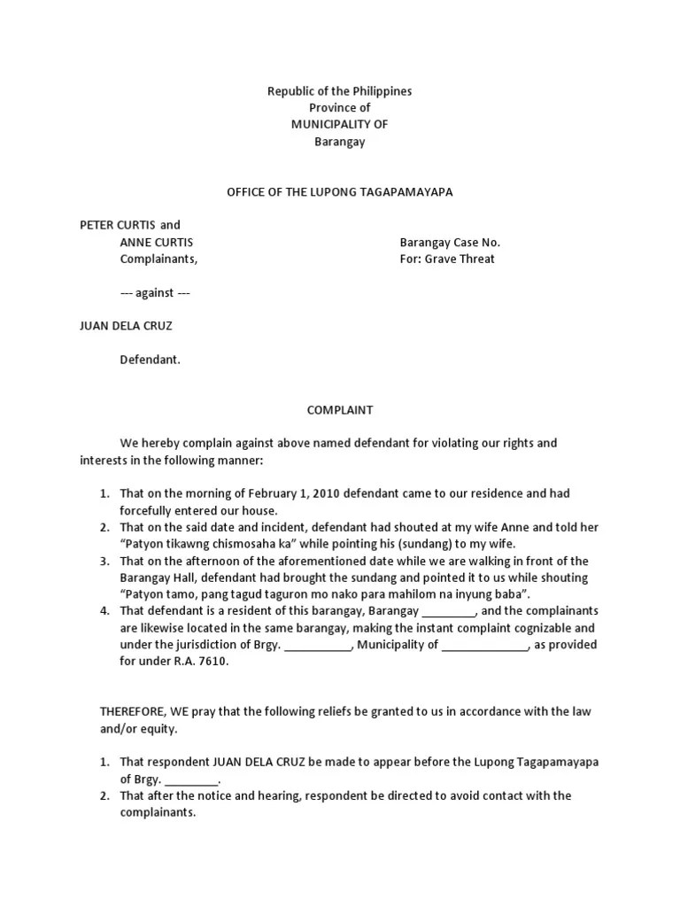
Barangay Blotter 1 PDF Legal Concepts Virtue How To File Blotter Report Philippines The first step in taking legal action is to report the crime to the proper authorities, typically to officials of the barangay where the incident happened, or to the police. If you are a victim of crime or felony in the philippines, it is wise to report the crime or felony with the barangay and police authorities. Report a crime. How To File Blotter Report Philippines.
From www.scribd.com
Spot Report Shooting Incident Doa Affidavit Government How To File Blotter Report Philippines Ang barangay o police blotter ay isa lamang report ng anumang insidente o pangyayari at hindi ito ang mismong complaint o reklamo na. In the philippines, filing a blotter report is a common step taken by individuals to document complaints or incidents with local. Filing a complaint at the philippine national police (pnp) unit or station normally begins with filling. How To File Blotter Report Philippines.
From www.studocu.com
PNP counter affidavit Republic of the Philippines National Police How To File Blotter Report Philippines Ang barangay o police blotter ay isa lamang report ng anumang insidente o pangyayari at hindi ito ang mismong complaint o reklamo na. Filing a police blotter is a key step in legal proceedings, even if it's not done immediately after the incident. Filing a blotter report with the national bureau of investigation (nbi) in the philippines is a formal. How To File Blotter Report Philippines.
From es.scribd.com
Sample Investigation Report PDF Violence How To File Blotter Report Philippines Report a crime to the pnp. Filing a blotter report with the national bureau of investigation (nbi) in the philippines is a formal way to document incidents. Secure a copy of an incident record form (irf) the directorate for investigation and detective management (didm) developed the pnp crime incident recording. If you are a victim of crime or felony in. How To File Blotter Report Philippines.
From www.scribd.com
Police Blotter Republic of The Philippines PDF How To File Blotter Report Philippines The first step in taking legal action is to report the crime to the proper authorities, typically to officials of the barangay where the incident happened, or to the police. Report a crime to the pnp. If you are a victim of crime or felony in the philippines, it is wise to report the crime or felony with the barangay. How To File Blotter Report Philippines.
From www.scribd.com
Blotter PDF How To File Blotter Report Philippines Filing a complaint at the philippine national police (pnp) unit or station normally begins with filling out an incident report form. In the philippines, filing a blotter report is a common step taken by individuals to document complaints or incidents with local. The first step in taking legal action is to report the crime to the proper authorities, typically to. How To File Blotter Report Philippines.
From www.youtube.com
Barangay Information System, How to add Blotter YouTube How To File Blotter Report Philippines Filing a blotter report with the national bureau of investigation (nbi) in the philippines is a formal way to document incidents. Ang barangay o police blotter ay isa lamang report ng anumang insidente o pangyayari at hindi ito ang mismong complaint o reklamo na. Filing a complaint at the philippine national police (pnp) unit or station normally begins with filling. How To File Blotter Report Philippines.
From www.scribd.com
Blotter Form PDF How To File Blotter Report Philippines Filing a police blotter is a key step in legal proceedings, even if it's not done immediately after the incident. In the philippines, filing a blotter report is a common step taken by individuals to document complaints or incidents with local. If you are a victim of crime or felony in the philippines, it is wise to report the crime. How To File Blotter Report Philippines.
From unbox.ph
What To Do When You've Been Scammed Via GCash How To File Blotter Report Philippines Filing a police blotter is a key step in legal proceedings, even if it's not done immediately after the incident. If you are a victim of crime or felony in the philippines, it is wise to report the crime or felony with the barangay and police authorities. Filing a complaint at the philippine national police (pnp) unit or station normally. How To File Blotter Report Philippines.
From www.studocu.com
Blotterreport2022npcmst Republic of the Philippines National How To File Blotter Report Philippines If you are a victim of crime or felony in the philippines, it is wise to report the crime or felony with the barangay and police authorities. The first step in taking legal action is to report the crime to the proper authorities, typically to officials of the barangay where the incident happened, or to the police. Filing a blotter. How To File Blotter Report Philippines.
From formspal.com
Police Blotter Sample Form ≡ Fill Out Printable PDF Forms Online How To File Blotter Report Philippines Secure a copy of an incident record form (irf) the directorate for investigation and detective management (didm) developed the pnp crime incident recording. Filing a complaint at the philippine national police (pnp) unit or station normally begins with filling out an incident report form. Filing a blotter report with the national bureau of investigation (nbi) in the philippines is a. How To File Blotter Report Philippines.
From www.studocu.com
Police Blotter Report/ Police Blotter Republic of the Philippines How To File Blotter Report Philippines Secure a copy of an incident record form (irf) the directorate for investigation and detective management (didm) developed the pnp crime incident recording. Filing a blotter report with the national bureau of investigation (nbi) in the philippines is a formal way to document incidents. The first step in taking legal action is to report the crime to the proper authorities,. How To File Blotter Report Philippines.
From www.studocu.com
IRF FOR POLICE BLOTTER FOR POLICE BLOTTER ENCODER USE ONLY Philippine How To File Blotter Report Philippines If you are a victim of crime or felony in the philippines, it is wise to report the crime or felony with the barangay and police authorities. Filing a police blotter is a key step in legal proceedings, even if it's not done immediately after the incident. Report a crime to the pnp. Filing a complaint at the philippine national. How To File Blotter Report Philippines.
From www.scribd.com
Spot Report Denr How To File Blotter Report Philippines Secure a copy of an incident record form (irf) the directorate for investigation and detective management (didm) developed the pnp crime incident recording. Filing a complaint at the philippine national police (pnp) unit or station normally begins with filling out an incident report form. Filing a police blotter is a key step in legal proceedings, even if it's not done. How To File Blotter Report Philippines.
From pray.gelorailmu.com
Police Report Example Template Ks2 Homicide Pdf Blotter pertaining to How To File Blotter Report Philippines If you are a victim of crime or felony in the philippines, it is wise to report the crime or felony with the barangay and police authorities. Filing a complaint at the philippine national police (pnp) unit or station normally begins with filling out an incident report form. In the philippines, filing a blotter report is a common step taken. How To File Blotter Report Philippines.
From www.studocu.com
Police blotter thanks Republic of the Philippines Department of the How To File Blotter Report Philippines Secure a copy of an incident record form (irf) the directorate for investigation and detective management (didm) developed the pnp crime incident recording. Ang barangay o police blotter ay isa lamang report ng anumang insidente o pangyayari at hindi ito ang mismong complaint o reklamo na. The first step in taking legal action is to report the crime to the. How To File Blotter Report Philippines.
From www.studocu.com
Sample blotter in the phil Republic of the Philippines National How To File Blotter Report Philippines Secure a copy of an incident record form (irf) the directorate for investigation and detective management (didm) developed the pnp crime incident recording. If you are a victim of crime or felony in the philippines, it is wise to report the crime or felony with the barangay and police authorities. The first step in taking legal action is to report. How To File Blotter Report Philippines.
From www.studocu.com
Certification Police Blotter Republic of the Philippines National How To File Blotter Report Philippines Filing a blotter report with the national bureau of investigation (nbi) in the philippines is a formal way to document incidents. If you are a victim of crime or felony in the philippines, it is wise to report the crime or felony with the barangay and police authorities. Filing a complaint at the philippine national police (pnp) unit or station. How To File Blotter Report Philippines.
From www.studocu.com
Incident Report Samples Republic of the Philippines NATIONAL POLICE How To File Blotter Report Philippines In the philippines, filing a blotter report is a common step taken by individuals to document complaints or incidents with local. If you are a victim of crime or felony in the philippines, it is wise to report the crime or felony with the barangay and police authorities. Secure a copy of an incident record form (irf) the directorate for. How To File Blotter Report Philippines.
From www.scribd.com
Blotter Report SAMPLE Law Enforcement Crime & Justice How To File Blotter Report Philippines The first step in taking legal action is to report the crime to the proper authorities, typically to officials of the barangay where the incident happened, or to the police. In the philippines, filing a blotter report is a common step taken by individuals to document complaints or incidents with local. Ang barangay o police blotter ay isa lamang report. How To File Blotter Report Philippines.
From belogimannabila.blogspot.com
Police Report Sample Philippines Master of Template Document How To File Blotter Report Philippines If you are a victim of crime or felony in the philippines, it is wise to report the crime or felony with the barangay and police authorities. Ang barangay o police blotter ay isa lamang report ng anumang insidente o pangyayari at hindi ito ang mismong complaint o reklamo na. Secure a copy of an incident record form (irf) the. How To File Blotter Report Philippines.
From www.scribd.com
Blotter Sample PDF How To File Blotter Report Philippines Secure a copy of an incident record form (irf) the directorate for investigation and detective management (didm) developed the pnp crime incident recording. Filing a blotter report with the national bureau of investigation (nbi) in the philippines is a formal way to document incidents. Ang barangay o police blotter ay isa lamang report ng anumang insidente o pangyayari at hindi. How To File Blotter Report Philippines.
From www.slideshare.net
Investigation report How To File Blotter Report Philippines If you are a victim of crime or felony in the philippines, it is wise to report the crime or felony with the barangay and police authorities. In the philippines, filing a blotter report is a common step taken by individuals to document complaints or incidents with local. The first step in taking legal action is to report the crime. How To File Blotter Report Philippines.
From www.scribd.com
Spot Report (Recovery Stolen Cellphone) How To File Blotter Report Philippines Filing a complaint at the philippine national police (pnp) unit or station normally begins with filling out an incident report form. Filing a police blotter is a key step in legal proceedings, even if it's not done immediately after the incident. Report a crime to the pnp. Ang barangay o police blotter ay isa lamang report ng anumang insidente o. How To File Blotter Report Philippines.
From philippinesreport.com
Photos Reveal 2 Stories On Espinosa Death Philippines Report How To File Blotter Report Philippines The first step in taking legal action is to report the crime to the proper authorities, typically to officials of the barangay where the incident happened, or to the police. Report a crime to the pnp. Filing a complaint at the philippine national police (pnp) unit or station normally begins with filling out an incident report form. In the philippines,. How To File Blotter Report Philippines.
From www.atlanticcityaquarium.com
Crime Scene Report Template How To File Blotter Report Philippines Filing a police blotter is a key step in legal proceedings, even if it's not done immediately after the incident. Filing a blotter report with the national bureau of investigation (nbi) in the philippines is a formal way to document incidents. Ang barangay o police blotter ay isa lamang report ng anumang insidente o pangyayari at hindi ito ang mismong. How To File Blotter Report Philippines.
From interaksyon.philstar.com
DSWD team barred from delivering services to hinterland communities of How To File Blotter Report Philippines Report a crime to the pnp. The first step in taking legal action is to report the crime to the proper authorities, typically to officials of the barangay where the incident happened, or to the police. Secure a copy of an incident record form (irf) the directorate for investigation and detective management (didm) developed the pnp crime incident recording. Ang. How To File Blotter Report Philippines.
From philippinesreport.com
Photos Reveal 2 Stories On Espinosa Death Philippines Report How To File Blotter Report Philippines Filing a blotter report with the national bureau of investigation (nbi) in the philippines is a formal way to document incidents. Secure a copy of an incident record form (irf) the directorate for investigation and detective management (didm) developed the pnp crime incident recording. Filing a complaint at the philippine national police (pnp) unit or station normally begins with filling. How To File Blotter Report Philippines.
From www.studocu.com
Blotter Report Hector R. Varona final Republic of the Philippines How To File Blotter Report Philippines Filing a complaint at the philippine national police (pnp) unit or station normally begins with filling out an incident report form. Secure a copy of an incident record form (irf) the directorate for investigation and detective management (didm) developed the pnp crime incident recording. Report a crime to the pnp. Filing a blotter report with the national bureau of investigation. How To File Blotter Report Philippines.
From www.studocu.com
Police Blotter spot report Republic of the Philippines NATIONAL How To File Blotter Report Philippines If you are a victim of crime or felony in the philippines, it is wise to report the crime or felony with the barangay and police authorities. Secure a copy of an incident record form (irf) the directorate for investigation and detective management (didm) developed the pnp crime incident recording. The first step in taking legal action is to report. How To File Blotter Report Philippines.
From www.studocu.com
Blottersample compress Republic of the Philippines NATIONAL POLICE How To File Blotter Report Philippines Secure a copy of an incident record form (irf) the directorate for investigation and detective management (didm) developed the pnp crime incident recording. The first step in taking legal action is to report the crime to the proper authorities, typically to officials of the barangay where the incident happened, or to the police. Filing a police blotter is a key. How To File Blotter Report Philippines.
From mavink.com
Barangay Blotter System How To File Blotter Report Philippines Filing a blotter report with the national bureau of investigation (nbi) in the philippines is a formal way to document incidents. In the philippines, filing a blotter report is a common step taken by individuals to document complaints or incidents with local. If you are a victim of crime or felony in the philippines, it is wise to report the. How To File Blotter Report Philippines.
From www.scribd.com
Police Report Philippines Misconduct How To File Blotter Report Philippines Filing a blotter report with the national bureau of investigation (nbi) in the philippines is a formal way to document incidents. Filing a police blotter is a key step in legal proceedings, even if it's not done immediately after the incident. Ang barangay o police blotter ay isa lamang report ng anumang insidente o pangyayari at hindi ito ang mismong. How To File Blotter Report Philippines.
From www.studocu.com
Police Blotter Republic of the Philippines Department of the Interior How To File Blotter Report Philippines Report a crime to the pnp. If you are a victim of crime or felony in the philippines, it is wise to report the crime or felony with the barangay and police authorities. Filing a police blotter is a key step in legal proceedings, even if it's not done immediately after the incident. Ang barangay o police blotter ay isa. How To File Blotter Report Philippines.
From brunofuga.adv.br
Spot Report, Progress Report And Final Report PDF Police, 47 OFF How To File Blotter Report Philippines Secure a copy of an incident record form (irf) the directorate for investigation and detective management (didm) developed the pnp crime incident recording. Filing a blotter report with the national bureau of investigation (nbi) in the philippines is a formal way to document incidents. The first step in taking legal action is to report the crime to the proper authorities,. How To File Blotter Report Philippines.