Unit Redemption Agreement . Unit redemption agreement means the agreement dated as of october 1, 2007 between chem rx and xxxxxxx, pursuant to which chem rx will acquire. In order to protect the interests of both parties in any financial transaction, redemption agreements are a crucial element of the legal process. Upon the terms and subject to the conditions set forth herein, at the closing (as defined in section 2.1 herein) the seller shall sell and. The unit redemption agreement (genie ai) is a legal template that outlines the terms and conditions for the redemption of units in a business entity. This unit redemption agreement (this “agreement”), dated as of september 11, 2020, is entered into by and between anadarko petroleum. Form of preferred unit redemption and cancellation agreement. A redemption agreement sometimes called a stock redemption agreement, is a legally binding agreement between shareholders of a.
from www.pdffiller.com
Unit redemption agreement means the agreement dated as of october 1, 2007 between chem rx and xxxxxxx, pursuant to which chem rx will acquire. Form of preferred unit redemption and cancellation agreement. A redemption agreement sometimes called a stock redemption agreement, is a legally binding agreement between shareholders of a. Upon the terms and subject to the conditions set forth herein, at the closing (as defined in section 2.1 herein) the seller shall sell and. The unit redemption agreement (genie ai) is a legal template that outlines the terms and conditions for the redemption of units in a business entity. This unit redemption agreement (this “agreement”), dated as of september 11, 2020, is entered into by and between anadarko petroleum. In order to protect the interests of both parties in any financial transaction, redemption agreements are a crucial element of the legal process.
This 4 relates to the redemption of common units issued by Endeavor
Unit Redemption Agreement Upon the terms and subject to the conditions set forth herein, at the closing (as defined in section 2.1 herein) the seller shall sell and. A redemption agreement sometimes called a stock redemption agreement, is a legally binding agreement between shareholders of a. In order to protect the interests of both parties in any financial transaction, redemption agreements are a crucial element of the legal process. Form of preferred unit redemption and cancellation agreement. This unit redemption agreement (this “agreement”), dated as of september 11, 2020, is entered into by and between anadarko petroleum. Unit redemption agreement means the agreement dated as of october 1, 2007 between chem rx and xxxxxxx, pursuant to which chem rx will acquire. Upon the terms and subject to the conditions set forth herein, at the closing (as defined in section 2.1 herein) the seller shall sell and. The unit redemption agreement (genie ai) is a legal template that outlines the terms and conditions for the redemption of units in a business entity.
From www.rocketlawyer.com
Stock Redemption Agreement Share Redemption Agreement (with Sample) Unit Redemption Agreement The unit redemption agreement (genie ai) is a legal template that outlines the terms and conditions for the redemption of units in a business entity. This unit redemption agreement (this “agreement”), dated as of september 11, 2020, is entered into by and between anadarko petroleum. Form of preferred unit redemption and cancellation agreement. Unit redemption agreement means the agreement dated. Unit Redemption Agreement.
From www.uslegalforms.com
Stock Redemption Agreement between Corporation and Stockholder Unit Redemption Agreement A redemption agreement sometimes called a stock redemption agreement, is a legally binding agreement between shareholders of a. Upon the terms and subject to the conditions set forth herein, at the closing (as defined in section 2.1 herein) the seller shall sell and. This unit redemption agreement (this “agreement”), dated as of september 11, 2020, is entered into by and. Unit Redemption Agreement.
From www.signnow.com
Membership Interest Redemption Agreement Complete with ease airSlate Unit Redemption Agreement A redemption agreement sometimes called a stock redemption agreement, is a legally binding agreement between shareholders of a. Upon the terms and subject to the conditions set forth herein, at the closing (as defined in section 2.1 herein) the seller shall sell and. This unit redemption agreement (this “agreement”), dated as of september 11, 2020, is entered into by and. Unit Redemption Agreement.
From cocosign.com
Stock Redemption Agreement 1 Unit Redemption Agreement In order to protect the interests of both parties in any financial transaction, redemption agreements are a crucial element of the legal process. Form of preferred unit redemption and cancellation agreement. Upon the terms and subject to the conditions set forth herein, at the closing (as defined in section 2.1 herein) the seller shall sell and. This unit redemption agreement. Unit Redemption Agreement.
From www.lawinsider.com
OP UNIT REDEMPTION AGREEMENT by Mack Cali Realty L P Law Insider Unit Redemption Agreement A redemption agreement sometimes called a stock redemption agreement, is a legally binding agreement between shareholders of a. This unit redemption agreement (this “agreement”), dated as of september 11, 2020, is entered into by and between anadarko petroleum. The unit redemption agreement (genie ai) is a legal template that outlines the terms and conditions for the redemption of units in. Unit Redemption Agreement.
From www.printablesample.com
10 Free Sample Stockholders Redemption Agreement Templates Printable Unit Redemption Agreement The unit redemption agreement (genie ai) is a legal template that outlines the terms and conditions for the redemption of units in a business entity. In order to protect the interests of both parties in any financial transaction, redemption agreements are a crucial element of the legal process. Form of preferred unit redemption and cancellation agreement. A redemption agreement sometimes. Unit Redemption Agreement.
From www.printablesample.com
10 Free Sample Stockholders Redemption Agreement Templates Printable Unit Redemption Agreement This unit redemption agreement (this “agreement”), dated as of september 11, 2020, is entered into by and between anadarko petroleum. Form of preferred unit redemption and cancellation agreement. The unit redemption agreement (genie ai) is a legal template that outlines the terms and conditions for the redemption of units in a business entity. Upon the terms and subject to the. Unit Redemption Agreement.
From agreement-template.cocodoc.com
Stock Redemption Agreement Template (Updated 2021) CocoDoc Unit Redemption Agreement Upon the terms and subject to the conditions set forth herein, at the closing (as defined in section 2.1 herein) the seller shall sell and. A redemption agreement sometimes called a stock redemption agreement, is a legally binding agreement between shareholders of a. Unit redemption agreement means the agreement dated as of october 1, 2007 between chem rx and xxxxxxx,. Unit Redemption Agreement.
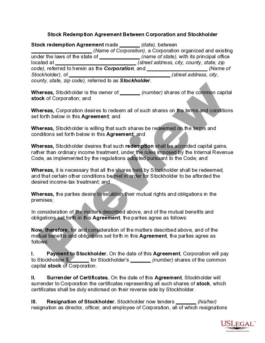
From www.uslegalforms.com
Stock Redemption Agreement Between Corporation and Stockholder on Unit Redemption Agreement In order to protect the interests of both parties in any financial transaction, redemption agreements are a crucial element of the legal process. Upon the terms and subject to the conditions set forth herein, at the closing (as defined in section 2.1 herein) the seller shall sell and. This unit redemption agreement (this “agreement”), dated as of september 11, 2020,. Unit Redemption Agreement.
From old.sermitsiaq.ag
Redemption Agreement Template Unit Redemption Agreement Unit redemption agreement means the agreement dated as of october 1, 2007 between chem rx and xxxxxxx, pursuant to which chem rx will acquire. In order to protect the interests of both parties in any financial transaction, redemption agreements are a crucial element of the legal process. This unit redemption agreement (this “agreement”), dated as of september 11, 2020, is. Unit Redemption Agreement.
From www.printablesample.com
10 Free Sample Stockholders Redemption Agreement Templates Printable Unit Redemption Agreement The unit redemption agreement (genie ai) is a legal template that outlines the terms and conditions for the redemption of units in a business entity. In order to protect the interests of both parties in any financial transaction, redemption agreements are a crucial element of the legal process. Form of preferred unit redemption and cancellation agreement. Unit redemption agreement means. Unit Redemption Agreement.
From www.rocketlawyer.com
Free Redemption Agreement Make & Download Rocket Lawyer Unit Redemption Agreement In order to protect the interests of both parties in any financial transaction, redemption agreements are a crucial element of the legal process. Unit redemption agreement means the agreement dated as of october 1, 2007 between chem rx and xxxxxxx, pursuant to which chem rx will acquire. Upon the terms and subject to the conditions set forth herein, at the. Unit Redemption Agreement.
From www.printablesample.com
10 Free Sample Stockholders Redemption Agreement Templates Printable Unit Redemption Agreement A redemption agreement sometimes called a stock redemption agreement, is a legally binding agreement between shareholders of a. Upon the terms and subject to the conditions set forth herein, at the closing (as defined in section 2.1 herein) the seller shall sell and. Unit redemption agreement means the agreement dated as of october 1, 2007 between chem rx and xxxxxxx,. Unit Redemption Agreement.
From www.uslegalforms.com
Stock Redemption Agreement Between Corporation and Stockholder on Unit Redemption Agreement A redemption agreement sometimes called a stock redemption agreement, is a legally binding agreement between shareholders of a. Unit redemption agreement means the agreement dated as of october 1, 2007 between chem rx and xxxxxxx, pursuant to which chem rx will acquire. In order to protect the interests of both parties in any financial transaction, redemption agreements are a crucial. Unit Redemption Agreement.
From www.pdffiller.com
This 4 relates to the redemption of common units issued by Endeavor Unit Redemption Agreement Form of preferred unit redemption and cancellation agreement. This unit redemption agreement (this “agreement”), dated as of september 11, 2020, is entered into by and between anadarko petroleum. In order to protect the interests of both parties in any financial transaction, redemption agreements are a crucial element of the legal process. Upon the terms and subject to the conditions set. Unit Redemption Agreement.
From www.etsy.com
Stock Redemption Agreement Etsy Unit Redemption Agreement Form of preferred unit redemption and cancellation agreement. In order to protect the interests of both parties in any financial transaction, redemption agreements are a crucial element of the legal process. A redemption agreement sometimes called a stock redemption agreement, is a legally binding agreement between shareholders of a. Upon the terms and subject to the conditions set forth herein,. Unit Redemption Agreement.
From www.arkhurst.shop
Investor Redemption Agreement Template Arkhurst Online Legal Shop Unit Redemption Agreement Form of preferred unit redemption and cancellation agreement. The unit redemption agreement (genie ai) is a legal template that outlines the terms and conditions for the redemption of units in a business entity. Unit redemption agreement means the agreement dated as of october 1, 2007 between chem rx and xxxxxxx, pursuant to which chem rx will acquire. In order to. Unit Redemption Agreement.
From www.formsbank.com
Fillable Affidavit In Support Of Redemption Settlement Agreement Unit Redemption Agreement Form of preferred unit redemption and cancellation agreement. A redemption agreement sometimes called a stock redemption agreement, is a legally binding agreement between shareholders of a. Upon the terms and subject to the conditions set forth herein, at the closing (as defined in section 2.1 herein) the seller shall sell and. The unit redemption agreement (genie ai) is a legal. Unit Redemption Agreement.
From old.sermitsiaq.ag
Redemption Agreement Template Unit Redemption Agreement In order to protect the interests of both parties in any financial transaction, redemption agreements are a crucial element of the legal process. A redemption agreement sometimes called a stock redemption agreement, is a legally binding agreement between shareholders of a. Form of preferred unit redemption and cancellation agreement. Unit redemption agreement means the agreement dated as of october 1,. Unit Redemption Agreement.
From www.uslegalforms.com
Stock Redemption Agreement Between Corporation and Stockholder Unit Redemption Agreement Upon the terms and subject to the conditions set forth herein, at the closing (as defined in section 2.1 herein) the seller shall sell and. Unit redemption agreement means the agreement dated as of october 1, 2007 between chem rx and xxxxxxx, pursuant to which chem rx will acquire. This unit redemption agreement (this “agreement”), dated as of september 11,. Unit Redemption Agreement.
From greekarmyalert.blogspot.com
Stock Redemption Agreement Template Best of Document Template Unit Redemption Agreement In order to protect the interests of both parties in any financial transaction, redemption agreements are a crucial element of the legal process. Form of preferred unit redemption and cancellation agreement. Upon the terms and subject to the conditions set forth herein, at the closing (as defined in section 2.1 herein) the seller shall sell and. A redemption agreement sometimes. Unit Redemption Agreement.
From legaltemplates.net
Free Redemption BuySell Agreement Template PDF & Word Unit Redemption Agreement Unit redemption agreement means the agreement dated as of october 1, 2007 between chem rx and xxxxxxx, pursuant to which chem rx will acquire. Upon the terms and subject to the conditions set forth herein, at the closing (as defined in section 2.1 herein) the seller shall sell and. A redemption agreement sometimes called a stock redemption agreement, is a. Unit Redemption Agreement.
From www.uslegalforms.com
Profits Interest Agreement Template For Llc US Legal Forms Unit Redemption Agreement In order to protect the interests of both parties in any financial transaction, redemption agreements are a crucial element of the legal process. Upon the terms and subject to the conditions set forth herein, at the closing (as defined in section 2.1 herein) the seller shall sell and. Form of preferred unit redemption and cancellation agreement. The unit redemption agreement. Unit Redemption Agreement.
From www.printablesample.com
10 Free Sample Stockholders Redemption Agreement Templates Printable Unit Redemption Agreement The unit redemption agreement (genie ai) is a legal template that outlines the terms and conditions for the redemption of units in a business entity. Form of preferred unit redemption and cancellation agreement. Unit redemption agreement means the agreement dated as of october 1, 2007 between chem rx and xxxxxxx, pursuant to which chem rx will acquire. A redemption agreement. Unit Redemption Agreement.
From www.scribd.com
Stock Redemption Agreement Stocks Board Of Directors Unit Redemption Agreement Upon the terms and subject to the conditions set forth herein, at the closing (as defined in section 2.1 herein) the seller shall sell and. This unit redemption agreement (this “agreement”), dated as of september 11, 2020, is entered into by and between anadarko petroleum. A redemption agreement sometimes called a stock redemption agreement, is a legally binding agreement between. Unit Redemption Agreement.
From www.studypool.com
SOLUTION Unit trusts redemption and switch form 1 4 1 1 1 1 Studypool Unit Redemption Agreement In order to protect the interests of both parties in any financial transaction, redemption agreements are a crucial element of the legal process. This unit redemption agreement (this “agreement”), dated as of september 11, 2020, is entered into by and between anadarko petroleum. Form of preferred unit redemption and cancellation agreement. The unit redemption agreement (genie ai) is a legal. Unit Redemption Agreement.
From www.pdffiller.com
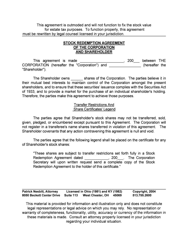
Fillable Online STOCK REDEMPTION AGREEMENT OF THE CORPORATION AND Unit Redemption Agreement This unit redemption agreement (this “agreement”), dated as of september 11, 2020, is entered into by and between anadarko petroleum. Unit redemption agreement means the agreement dated as of october 1, 2007 between chem rx and xxxxxxx, pursuant to which chem rx will acquire. A redemption agreement sometimes called a stock redemption agreement, is a legally binding agreement between shareholders. Unit Redemption Agreement.
From www.lawinsider.com
OP UNIT REDEMPTION AGREEMENT by Mack Cali Realty L P Law Insider Unit Redemption Agreement In order to protect the interests of both parties in any financial transaction, redemption agreements are a crucial element of the legal process. This unit redemption agreement (this “agreement”), dated as of september 11, 2020, is entered into by and between anadarko petroleum. The unit redemption agreement (genie ai) is a legal template that outlines the terms and conditions for. Unit Redemption Agreement.
From www.fillhq.com
Redemption Agreement Fill Unit Redemption Agreement Upon the terms and subject to the conditions set forth herein, at the closing (as defined in section 2.1 herein) the seller shall sell and. The unit redemption agreement (genie ai) is a legal template that outlines the terms and conditions for the redemption of units in a business entity. Form of preferred unit redemption and cancellation agreement. This unit. Unit Redemption Agreement.
From www.scribd.com
Unit Trust Redemption Form PDF Indemnity Legal Liability Unit Redemption Agreement In order to protect the interests of both parties in any financial transaction, redemption agreements are a crucial element of the legal process. Form of preferred unit redemption and cancellation agreement. Upon the terms and subject to the conditions set forth herein, at the closing (as defined in section 2.1 herein) the seller shall sell and. A redemption agreement sometimes. Unit Redemption Agreement.
From www.printablesample.com
10 Free Sample Stockholders Redemption Agreement Templates Printable Unit Redemption Agreement This unit redemption agreement (this “agreement”), dated as of september 11, 2020, is entered into by and between anadarko petroleum. Upon the terms and subject to the conditions set forth herein, at the closing (as defined in section 2.1 herein) the seller shall sell and. Form of preferred unit redemption and cancellation agreement. A redemption agreement sometimes called a stock. Unit Redemption Agreement.
From www.studypool.com
SOLUTION Unit trusts redemption and switch form 1 4 1 1 1 1 Studypool Unit Redemption Agreement This unit redemption agreement (this “agreement”), dated as of september 11, 2020, is entered into by and between anadarko petroleum. Unit redemption agreement means the agreement dated as of october 1, 2007 between chem rx and xxxxxxx, pursuant to which chem rx will acquire. Form of preferred unit redemption and cancellation agreement. A redemption agreement sometimes called a stock redemption. Unit Redemption Agreement.
From docshare.tips
Download Reward Redemption Option On HTTPS//WWW Magazinemall.in Unit Redemption Agreement The unit redemption agreement (genie ai) is a legal template that outlines the terms and conditions for the redemption of units in a business entity. Upon the terms and subject to the conditions set forth herein, at the closing (as defined in section 2.1 herein) the seller shall sell and. Form of preferred unit redemption and cancellation agreement. This unit. Unit Redemption Agreement.
From www.printablesample.com
10 Free Sample Stockholders Redemption Agreement Templates Printable Unit Redemption Agreement Form of preferred unit redemption and cancellation agreement. In order to protect the interests of both parties in any financial transaction, redemption agreements are a crucial element of the legal process. This unit redemption agreement (this “agreement”), dated as of september 11, 2020, is entered into by and between anadarko petroleum. Upon the terms and subject to the conditions set. Unit Redemption Agreement.
From www.uslegalforms.com
Agreement to Redeem Interest of a Single Member in an LLC Redemption Unit Redemption Agreement This unit redemption agreement (this “agreement”), dated as of september 11, 2020, is entered into by and between anadarko petroleum. In order to protect the interests of both parties in any financial transaction, redemption agreements are a crucial element of the legal process. A redemption agreement sometimes called a stock redemption agreement, is a legally binding agreement between shareholders of. Unit Redemption Agreement.