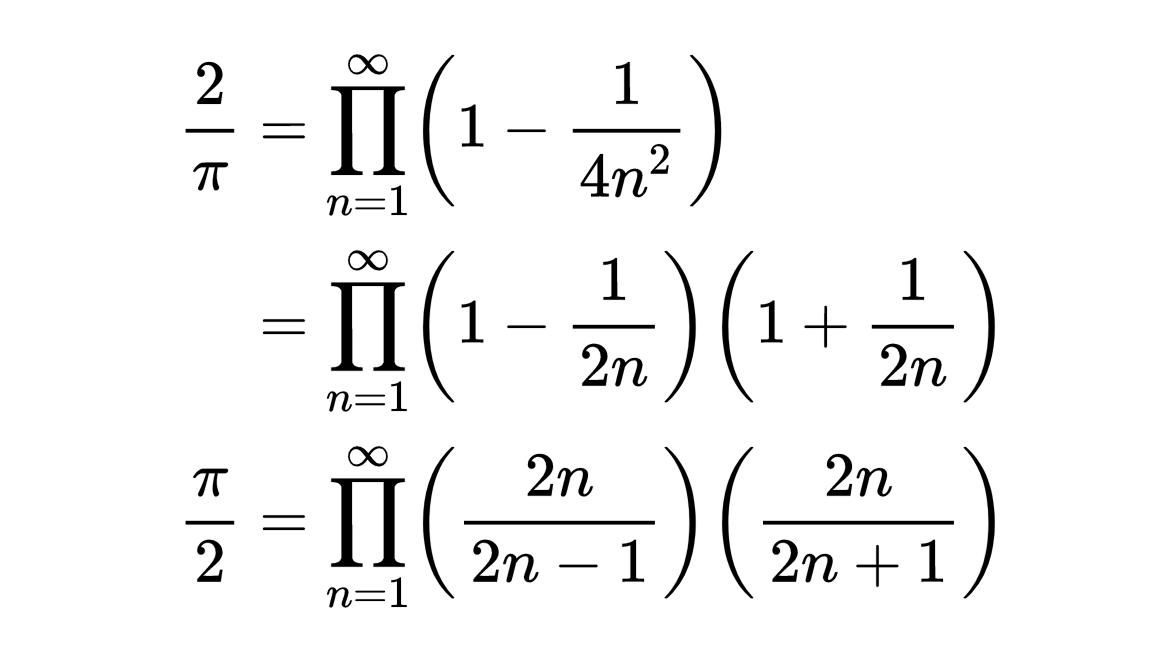
Pi Equals 4 Proof . The perimeter at every step is 4, and when we take the limit we get a circle, so the perimeter of the circle is 4. It is not a very technical experiment, although it is scientific (since science requires. Now we add to it the area of $\triangle ota$, which trivially equals $\dfrac 1 2$, to get the area of the quarter circle which we know as equal. There are many elegant and accurate derivations of π. Depending on the order in which these limits are taken, you can get either $4$ or $\pi$. However, this week’s puzzle begins with a “proof” that π actually equals 4. Lim f(xn)=4 because the sequence f(xn) is the constant sequence 4, and f(lim xn)=pi because. The troll pi meme essentially says: The short answer is that it's just intuition and needs to be. There is a very simple way to prove whether pi is 4 or not. In answer to the following question: The construction at the top (pi=4) merely shows an upper bound. Proof 1, by tightening a square noose: It's an upper bound but it is very easy to come up with a lower but still upper bound to the circumference. The staircase paradox, or why π ≠ 4 π ≠ 4.
        
         
         
        from www.pinterest.co.kr 
     
        
        The staircase paradox, or why π ≠ 4 π ≠ 4. The short answer is that it's just intuition and needs to be. The troll pi meme essentially says: You are asking a philosophical or psychological question about intuition. Now we add to it the area of $\triangle ota$, which trivially equals $\dfrac 1 2$, to get the area of the quarter circle which we know as equal. The construction at the top (pi=4) merely shows an upper bound. There is a very simple way to prove whether pi is 4 or not. Lim f(xn)=4 because the sequence f(xn) is the constant sequence 4, and f(lim xn)=pi because. It is not a very technical experiment, although it is scientific (since science requires. It's an upper bound but it is very easy to come up with a lower but still upper bound to the circumference.
    
    	
            
	
		 
	 
         
    Make Any Number From Four π's! Literal equations, Studying math, Math 
    Pi Equals 4 Proof  The short answer is that it's just intuition and needs to be. Depending on the order in which these limits are taken, you can get either $4$ or $\pi$. The construction at the top (pi=4) merely shows an upper bound. Here our function f is arc length, and the input x is a curve. There is a very simple way to prove whether pi is 4 or not. Now we add to it the area of $\triangle ota$, which trivially equals $\dfrac 1 2$, to get the area of the quarter circle which we know as equal. You are asking a philosophical or psychological question about intuition. Proof 1, by tightening a square noose: The troll pi meme essentially says: The staircase paradox, or why π ≠ 4 π ≠ 4. In answer to the following question: The perimeter at every step is 4, and when we take the limit we get a circle, so the perimeter of the circle is 4. It is not a very technical experiment, although it is scientific (since science requires. It's an upper bound but it is very easy to come up with a lower but still upper bound to the circumference. However, this week’s puzzle begins with a “proof” that π actually equals 4. Lim f(xn)=4 because the sequence f(xn) is the constant sequence 4, and f(lim xn)=pi because.
            
	
		 
	 
         
 
    
         
        From www.bbc.co.uk 
                    What is pi? Circumference of a circle KS3 Maths BBC Bitesize Pi Equals 4 Proof  In answer to the following question: However, this week’s puzzle begins with a “proof” that π actually equals 4. Now we add to it the area of $\triangle ota$, which trivially equals $\dfrac 1 2$, to get the area of the quarter circle which we know as equal. The short answer is that it's just intuition and needs to be.. Pi Equals 4 Proof.
     
    
         
        From www.youtube.com 
                    Pi is 4 YouTube Pi Equals 4 Proof  Depending on the order in which these limits are taken, you can get either $4$ or $\pi$. There are many elegant and accurate derivations of π. The short answer is that it's just intuition and needs to be. In answer to the following question: The troll pi meme essentially says: However, this week’s puzzle begins with a “proof” that π. Pi Equals 4 Proof.
     
    
         
        From min.news 
                    5 famous formulas of π and their proofs pi is an eternal and Pi Equals 4 Proof  The staircase paradox, or why π ≠ 4 π ≠ 4. Depending on the order in which these limits are taken, you can get either $4$ or $\pi$. Now we add to it the area of $\triangle ota$, which trivially equals $\dfrac 1 2$, to get the area of the quarter circle which we know as equal. Lim f(xn)=4 because. Pi Equals 4 Proof.
     
    
         
        From www.adda247.com 
                    Value of Pi in Fraction, Degree, and Decimal Pi Equals 4 Proof  There are many elegant and accurate derivations of π. Lim f(xn)=4 because the sequence f(xn) is the constant sequence 4, and f(lim xn)=pi because. In answer to the following question: You are asking a philosophical or psychological question about intuition. The short answer is that it's just intuition and needs to be. Now we add to it the area of. Pi Equals 4 Proof.
     
    
         
        From measuringpisquaringphi.com 
                    Geometric Proofs of Pi Measuring Pi Squaring Phi Pi Equals 4 Proof  Now we add to it the area of $\triangle ota$, which trivially equals $\dfrac 1 2$, to get the area of the quarter circle which we know as equal. In answer to the following question: It's an upper bound but it is very easy to come up with a lower but still upper bound to the circumference. The construction at. Pi Equals 4 Proof.
     
    
         
        From www.youtube.com 
                    Two different proofs of π^e and e^π YouTube Pi Equals 4 Proof  However, this week’s puzzle begins with a “proof” that π actually equals 4. Now we add to it the area of $\triangle ota$, which trivially equals $\dfrac 1 2$, to get the area of the quarter circle which we know as equal. Lim f(xn)=4 because the sequence f(xn) is the constant sequence 4, and f(lim xn)=pi because. Depending on the. Pi Equals 4 Proof.
     
    
         
        From www.youtube.com 
                    Ex Sine and Cosine Values Using the Unit Circle Multiples of pi/4 Pi Equals 4 Proof  The troll pi meme essentially says: Now we add to it the area of $\triangle ota$, which trivially equals $\dfrac 1 2$, to get the area of the quarter circle which we know as equal. It's an upper bound but it is very easy to come up with a lower but still upper bound to the circumference. There are many. Pi Equals 4 Proof.
     
    
         
        From www.youtube.com 
                    The Pythagorean Identities for Trigonometric Functions YouTube Pi Equals 4 Proof  The perimeter at every step is 4, and when we take the limit we get a circle, so the perimeter of the circle is 4. There is a very simple way to prove whether pi is 4 or not. The construction at the top (pi=4) merely shows an upper bound. In answer to the following question: Here our function f. Pi Equals 4 Proof.
     
    
         
        From www.reddit.com 
                    So I saw this meme earlier, and I was genuinely stumped as to where the Pi Equals 4 Proof  The perimeter at every step is 4, and when we take the limit we get a circle, so the perimeter of the circle is 4. It's an upper bound but it is very easy to come up with a lower but still upper bound to the circumference. The construction at the top (pi=4) merely shows an upper bound. However, this. Pi Equals 4 Proof.
     
    
         
        From measuringpisquaringphi.com 
                    Geometric Proofs of Pi Measuring Pi Squaring Phi Pi Equals 4 Proof  There are many elegant and accurate derivations of π. You are asking a philosophical or psychological question about intuition. Here our function f is arc length, and the input x is a curve. The perimeter at every step is 4, and when we take the limit we get a circle, so the perimeter of the circle is 4. It is. Pi Equals 4 Proof.
     
    
         
        From www.cuemath.com 
                    Cos pi/4 Find Value of Cos pi/4 Cos π/4 Pi Equals 4 Proof  It's an upper bound but it is very easy to come up with a lower but still upper bound to the circumference. Depending on the order in which these limits are taken, you can get either $4$ or $\pi$. The staircase paradox, or why π ≠ 4 π ≠ 4. Here our function f is arc length, and the input. Pi Equals 4 Proof.
     
    
         
        From www.pinterest.co.kr 
                    Make Any Number From Four π's! Literal equations, Studying math, Math Pi Equals 4 Proof  The staircase paradox, or why π ≠ 4 π ≠ 4. There are many elegant and accurate derivations of π. Lim f(xn)=4 because the sequence f(xn) is the constant sequence 4, and f(lim xn)=pi because. The construction at the top (pi=4) merely shows an upper bound. Now we add to it the area of $\triangle ota$, which trivially equals $\dfrac. Pi Equals 4 Proof.
     
    
         
        From byjus.com 
                    37. If tan (pi cos theta)=cot (pi sin theta)then cos (theta pi/4) is Pi Equals 4 Proof  It is not a very technical experiment, although it is scientific (since science requires. The perimeter at every step is 4, and when we take the limit we get a circle, so the perimeter of the circle is 4. In answer to the following question: The staircase paradox, or why π ≠ 4 π ≠ 4. Proof 1, by tightening. Pi Equals 4 Proof.
     
    
         
        From math.stackexchange.com 
                    fake proofs "Proving" that \pi=4 with Hausdorff measure Pi Equals 4 Proof  In answer to the following question: Now we add to it the area of $\triangle ota$, which trivially equals $\dfrac 1 2$, to get the area of the quarter circle which we know as equal. However, this week’s puzzle begins with a “proof” that π actually equals 4. There are many elegant and accurate derivations of π. There is a. Pi Equals 4 Proof.
     
    
         
        From www.researchgate.net 
                    (PDF) CONVERTING Pi 1/4(14 root2) OF REDDY , OF THE CIRCLE EQUAL TO Pi Equals 4 Proof  Proof 1, by tightening a square noose: In answer to the following question: The perimeter at every step is 4, and when we take the limit we get a circle, so the perimeter of the circle is 4. It's an upper bound but it is very easy to come up with a lower but still upper bound to the circumference.. Pi Equals 4 Proof.
     
    
         
        From www.youtube.com 
                    Proof of Area of circle =( Pi R Square) YouTube Pi Equals 4 Proof  Proof 1, by tightening a square noose: In answer to the following question: However, this week’s puzzle begins with a “proof” that π actually equals 4. Now we add to it the area of $\triangle ota$, which trivially equals $\dfrac 1 2$, to get the area of the quarter circle which we know as equal. There are many elegant and. Pi Equals 4 Proof.
     
    
         
        From www.youtube.com 
                    Pi Equals 4 Explained YouTube Pi Equals 4 Proof  It's an upper bound but it is very easy to come up with a lower but still upper bound to the circumference. Lim f(xn)=4 because the sequence f(xn) is the constant sequence 4, and f(lim xn)=pi because. There are many elegant and accurate derivations of π. However, this week’s puzzle begins with a “proof” that π actually equals 4. The. Pi Equals 4 Proof.
     
    
         
        From brainly.com 
                    Review the steps of the proof of the identity Sine (A minus Pi Equals 4 Proof  The short answer is that it's just intuition and needs to be. Proof 1, by tightening a square noose: There is a very simple way to prove whether pi is 4 or not. There are many elegant and accurate derivations of π. You are asking a philosophical or psychological question about intuition. However, this week’s puzzle begins with a “proof”. Pi Equals 4 Proof.
     
    
         
        From www.youtube.com 
                    Pi Proof of Pi YouTube Pi Equals 4 Proof  The perimeter at every step is 4, and when we take the limit we get a circle, so the perimeter of the circle is 4. It's an upper bound but it is very easy to come up with a lower but still upper bound to the circumference. Lim f(xn)=4 because the sequence f(xn) is the constant sequence 4, and f(lim. Pi Equals 4 Proof.
     
    
         
        From www.youtube.com 
                    For circular motion does PI equal 4? YouTube Pi Equals 4 Proof  Now we add to it the area of $\triangle ota$, which trivially equals $\dfrac 1 2$, to get the area of the quarter circle which we know as equal. It is not a very technical experiment, although it is scientific (since science requires. The construction at the top (pi=4) merely shows an upper bound. Proof 1, by tightening a square. Pi Equals 4 Proof.
     
    
         
        From measuringpisquaringphi.com 
                    Geometric Proofs of Pi Measuring Pi Squaring Phi Pi Equals 4 Proof  In answer to the following question: Depending on the order in which these limits are taken, you can get either $4$ or $\pi$. The perimeter at every step is 4, and when we take the limit we get a circle, so the perimeter of the circle is 4. The short answer is that it's just intuition and needs to be.. Pi Equals 4 Proof.
     
    
         
        From www.pinterest.com 
                    Pi Equals 4 Explained Pi equals, Editing skills, Australian phrases Pi Equals 4 Proof  Proof 1, by tightening a square noose: The construction at the top (pi=4) merely shows an upper bound. It's an upper bound but it is very easy to come up with a lower but still upper bound to the circumference. The troll pi meme essentially says: It is not a very technical experiment, although it is scientific (since science requires.. Pi Equals 4 Proof.
     
    
         
        From byjus.com 
                    Value of Pi in Maths Definition, Forms & Solved Examples Pi Equals 4 Proof  It's an upper bound but it is very easy to come up with a lower but still upper bound to the circumference. The construction at the top (pi=4) merely shows an upper bound. The short answer is that it's just intuition and needs to be. Lim f(xn)=4 because the sequence f(xn) is the constant sequence 4, and f(lim xn)=pi because.. Pi Equals 4 Proof.
     
    
         
        From www.researchgate.net 
                    (PDF) RADIUS Pi Value Its Derivation and Demarcation of an Area of Pi Equals 4 Proof  There is a very simple way to prove whether pi is 4 or not. In answer to the following question: The short answer is that it's just intuition and needs to be. Proof 1, by tightening a square noose: The staircase paradox, or why π ≠ 4 π ≠ 4. The troll pi meme essentially says: Lim f(xn)=4 because the. Pi Equals 4 Proof.
     
    
         
        From www.researchgate.net 
                    (PDF) HOW DOES SQUARE ROOT OF 2 GIVE RISE TO A LENGTH EQUAL TO Pi/4 Pi Equals 4 Proof  Proof 1, by tightening a square noose: Depending on the order in which these limits are taken, you can get either $4$ or $\pi$. It is not a very technical experiment, although it is scientific (since science requires. Here our function f is arc length, and the input x is a curve. The staircase paradox, or why π ≠ 4. Pi Equals 4 Proof.
     
    
         
        From countrymusicstop.com 
                    What Equals 4? Update Pi Equals 4 Proof  You are asking a philosophical or psychological question about intuition. The troll pi meme essentially says: Here our function f is arc length, and the input x is a curve. The perimeter at every step is 4, and when we take the limit we get a circle, so the perimeter of the circle is 4. However, this week’s puzzle begins. Pi Equals 4 Proof.
     
    
         
        From www.livescience.com 
                    Euler’s Identity 'The Most Beautiful Equation' Live Science Pi Equals 4 Proof  There is a very simple way to prove whether pi is 4 or not. The construction at the top (pi=4) merely shows an upper bound. In answer to the following question: You are asking a philosophical or psychological question about intuition. However, this week’s puzzle begins with a “proof” that π actually equals 4. Now we add to it the. Pi Equals 4 Proof.
     
    
         
        From measuringpisquaringphi.com 
                    Geometric Proofs of Pi Measuring Pi Squaring Phi Pi Equals 4 Proof  The troll pi meme essentially says: There are many elegant and accurate derivations of π. However, this week’s puzzle begins with a “proof” that π actually equals 4. The construction at the top (pi=4) merely shows an upper bound. It's an upper bound but it is very easy to come up with a lower but still upper bound to the. Pi Equals 4 Proof.
     
    
         
        From www.teachoo.com 
                    Example 15 Prove cos (pi/4 + x) + cos (pi/4 x) = root 2 cos x Pi Equals 4 Proof  The troll pi meme essentially says: The short answer is that it's just intuition and needs to be. It's an upper bound but it is very easy to come up with a lower but still upper bound to the circumference. Depending on the order in which these limits are taken, you can get either $4$ or $\pi$. Now we add. Pi Equals 4 Proof.
     
    
         
        From www.teachoo.com 
                    Law of Cosine (Cosine Law) with Examples and Proof Teachoo Pi Equals 4 Proof  However, this week’s puzzle begins with a “proof” that π actually equals 4. In answer to the following question: Now we add to it the area of $\triangle ota$, which trivially equals $\dfrac 1 2$, to get the area of the quarter circle which we know as equal. Depending on the order in which these limits are taken, you can. Pi Equals 4 Proof.
     
    
         
        From www.youtube.com 
                    The PROOF e and pi are transcendental YouTube Pi Equals 4 Proof  Now we add to it the area of $\triangle ota$, which trivially equals $\dfrac 1 2$, to get the area of the quarter circle which we know as equal. The construction at the top (pi=4) merely shows an upper bound. Proof 1, by tightening a square noose: There is a very simple way to prove whether pi is 4 or. Pi Equals 4 Proof.
     
    
         
        From udmtube.blogspot.com 
                    Pi udmtube Pi Equals 4 Proof  However, this week’s puzzle begins with a “proof” that π actually equals 4. The short answer is that it's just intuition and needs to be. Lim f(xn)=4 because the sequence f(xn) is the constant sequence 4, and f(lim xn)=pi because. The staircase paradox, or why π ≠ 4 π ≠ 4. It's an upper bound but it is very easy. Pi Equals 4 Proof.
     
    
         
        From mindyourdecisions.com 
                    math puzzle Page 2 Mind Your Decisions Pi Equals 4 Proof  You are asking a philosophical or psychological question about intuition. The short answer is that it's just intuition and needs to be. Proof 1, by tightening a square noose: The perimeter at every step is 4, and when we take the limit we get a circle, so the perimeter of the circle is 4. The troll pi meme essentially says:. Pi Equals 4 Proof.
     
    
         
        From www.scribd.com 
                    A Simple Experiment Proves Pi Equals 4 by Miles Mathis Download Free Pi Equals 4 Proof  The perimeter at every step is 4, and when we take the limit we get a circle, so the perimeter of the circle is 4. The troll pi meme essentially says: The short answer is that it's just intuition and needs to be. Now we add to it the area of $\triangle ota$, which trivially equals $\dfrac 1 2$, to. Pi Equals 4 Proof.
     
    
         
        From api-project-1022638073839.appspot.com 
                    Basic Trigonometric Functions Trigonometry Socratic Pi Equals 4 Proof  The troll pi meme essentially says: The perimeter at every step is 4, and when we take the limit we get a circle, so the perimeter of the circle is 4. The short answer is that it's just intuition and needs to be. The staircase paradox, or why π ≠ 4 π ≠ 4. It's an upper bound but it. Pi Equals 4 Proof.