Open Circuit Gain . in most op amp circuits the open loop gain of the amplifier is very high, i.e. Much greater than the “1” in the denominator, allowing the closed loop. An ideal vfb would possess very. (a v × b) is called the loop gain. G = 20 × log a. unlike the ideal op amp, a practical op amp has a finite gain. the 20 log rule is used to convert a linear voltage gain into a decibel voltage gain: () 21 11 oc out m vo in in v.
from www.youtube.com
() 21 11 oc out m vo in in v. G = 20 × log a. in most op amp circuits the open loop gain of the amplifier is very high, i.e. unlike the ideal op amp, a practical op amp has a finite gain. An ideal vfb would possess very. Much greater than the “1” in the denominator, allowing the closed loop. the 20 log rule is used to convert a linear voltage gain into a decibel voltage gain: (a v × b) is called the loop gain.
Opamps 4 Unity Gain Amplifier Voltage Gain Derivation YouTube
Open Circuit Gain An ideal vfb would possess very. in most op amp circuits the open loop gain of the amplifier is very high, i.e. unlike the ideal op amp, a practical op amp has a finite gain. () 21 11 oc out m vo in in v. (a v × b) is called the loop gain. Much greater than the “1” in the denominator, allowing the closed loop. the 20 log rule is used to convert a linear voltage gain into a decibel voltage gain: An ideal vfb would possess very. G = 20 × log a.
From www.chegg.com
In the above circuit and Beta= 100. a) For the above Open Circuit Gain Much greater than the “1” in the denominator, allowing the closed loop. the 20 log rule is used to convert a linear voltage gain into a decibel voltage gain: () 21 11 oc out m vo in in v. in most op amp circuits the open loop gain of the amplifier is very high, i.e. unlike the. Open Circuit Gain.
From mavink.com
Op Amp Open Loop Gain Open Circuit Gain An ideal vfb would possess very. in most op amp circuits the open loop gain of the amplifier is very high, i.e. Much greater than the “1” in the denominator, allowing the closed loop. () 21 11 oc out m vo in in v. (a v × b) is called the loop gain. the 20 log rule is. Open Circuit Gain.
From www.youtube.com
Opamps 4 Unity Gain Amplifier Voltage Gain Derivation YouTube Open Circuit Gain An ideal vfb would possess very. the 20 log rule is used to convert a linear voltage gain into a decibel voltage gain: unlike the ideal op amp, a practical op amp has a finite gain. Much greater than the “1” in the denominator, allowing the closed loop. () 21 11 oc out m vo in in v.. Open Circuit Gain.
From www.youtube.com
L2 5 4 Integrator Circuit Finite DC Gain YouTube Open Circuit Gain () 21 11 oc out m vo in in v. An ideal vfb would possess very. in most op amp circuits the open loop gain of the amplifier is very high, i.e. the 20 log rule is used to convert a linear voltage gain into a decibel voltage gain: unlike the ideal op amp, a practical op. Open Circuit Gain.
From electronics.stackexchange.com
741 opamp Qualitative explanation of the high openloop gain of a 741 Open Circuit Gain () 21 11 oc out m vo in in v. unlike the ideal op amp, a practical op amp has a finite gain. (a v × b) is called the loop gain. Much greater than the “1” in the denominator, allowing the closed loop. G = 20 × log a. An ideal vfb would possess very. in most. Open Circuit Gain.
From docslib.org
How to Measure the OpenLoop Gain of HighGain Amplifiers in the Open Circuit Gain () 21 11 oc out m vo in in v. in most op amp circuits the open loop gain of the amplifier is very high, i.e. the 20 log rule is used to convert a linear voltage gain into a decibel voltage gain: An ideal vfb would possess very. unlike the ideal op amp, a practical op. Open Circuit Gain.
From www.tessshebaylo.com
Ideal Op Amp Gain Equation Tessshebaylo Open Circuit Gain in most op amp circuits the open loop gain of the amplifier is very high, i.e. Much greater than the “1” in the denominator, allowing the closed loop. (a v × b) is called the loop gain. () 21 11 oc out m vo in in v. unlike the ideal op amp, a practical op amp has a. Open Circuit Gain.
From www.wiringwork.com
what is open circuit voltage gain Wiring Work Open Circuit Gain Much greater than the “1” in the denominator, allowing the closed loop. the 20 log rule is used to convert a linear voltage gain into a decibel voltage gain: G = 20 × log a. unlike the ideal op amp, a practical op amp has a finite gain. An ideal vfb would possess very. in most op. Open Circuit Gain.
From www.chegg.com
Solved Part A Calculate the opencircuit gain Part Open Circuit Gain (a v × b) is called the loop gain. Much greater than the “1” in the denominator, allowing the closed loop. unlike the ideal op amp, a practical op amp has a finite gain. in most op amp circuits the open loop gain of the amplifier is very high, i.e. the 20 log rule is used to. Open Circuit Gain.
From www.youtube.com
Op Amp Gain Details Calculations Formulas YouTube Open Circuit Gain the 20 log rule is used to convert a linear voltage gain into a decibel voltage gain: Much greater than the “1” in the denominator, allowing the closed loop. unlike the ideal op amp, a practical op amp has a finite gain. in most op amp circuits the open loop gain of the amplifier is very high,. Open Circuit Gain.
From www.chegg.com
Solved The opencircuit gain is the ratio of the output Open Circuit Gain the 20 log rule is used to convert a linear voltage gain into a decibel voltage gain: An ideal vfb would possess very. Much greater than the “1” in the denominator, allowing the closed loop. G = 20 × log a. () 21 11 oc out m vo in in v. in most op amp circuits the open. Open Circuit Gain.
From wiringdbrichards.z21.web.core.windows.net
Op Amp Open Loop Circuit Diagram Open Circuit Gain An ideal vfb would possess very. unlike the ideal op amp, a practical op amp has a finite gain. in most op amp circuits the open loop gain of the amplifier is very high, i.e. Much greater than the “1” in the denominator, allowing the closed loop. (a v × b) is called the loop gain. the. Open Circuit Gain.
From www.numerade.com
SOLVED Given the circuit of a differential amplifier below, write down Open Circuit Gain Much greater than the “1” in the denominator, allowing the closed loop. the 20 log rule is used to convert a linear voltage gain into a decibel voltage gain: (a v × b) is called the loop gain. G = 20 × log a. unlike the ideal op amp, a practical op amp has a finite gain. An. Open Circuit Gain.
From www.chegg.com
Solved Calculate the small signal open circuit gain of the Open Circuit Gain G = 20 × log a. (a v × b) is called the loop gain. () 21 11 oc out m vo in in v. An ideal vfb would possess very. in most op amp circuits the open loop gain of the amplifier is very high, i.e. Much greater than the “1” in the denominator, allowing the closed loop.. Open Circuit Gain.
From www.wiringwork.com
what is open circuit voltage gain Wiring Work Open Circuit Gain G = 20 × log a. in most op amp circuits the open loop gain of the amplifier is very high, i.e. Much greater than the “1” in the denominator, allowing the closed loop. () 21 11 oc out m vo in in v. unlike the ideal op amp, a practical op amp has a finite gain. . Open Circuit Gain.
From www.electricalvolt.com
examples of open circuit Archives Electrical Volt Open Circuit Gain in most op amp circuits the open loop gain of the amplifier is very high, i.e. G = 20 × log a. unlike the ideal op amp, a practical op amp has a finite gain. An ideal vfb would possess very. () 21 11 oc out m vo in in v. the 20 log rule is used. Open Circuit Gain.
From www.wiringwork.com
open circuit voltage gain of amplifier Wiring Work Open Circuit Gain in most op amp circuits the open loop gain of the amplifier is very high, i.e. the 20 log rule is used to convert a linear voltage gain into a decibel voltage gain: unlike the ideal op amp, a practical op amp has a finite gain. () 21 11 oc out m vo in in v. (a. Open Circuit Gain.
From www.chegg.com
Solved Determine the bandwidth of each of the amplifiers. Open Circuit Gain the 20 log rule is used to convert a linear voltage gain into a decibel voltage gain: Much greater than the “1” in the denominator, allowing the closed loop. in most op amp circuits the open loop gain of the amplifier is very high, i.e. G = 20 × log a. (a v × b) is called the. Open Circuit Gain.
From www.chegg.com
Solved A voltage amplifier has an open circuit gain of Open Circuit Gain in most op amp circuits the open loop gain of the amplifier is very high, i.e. (a v × b) is called the loop gain. Much greater than the “1” in the denominator, allowing the closed loop. () 21 11 oc out m vo in in v. the 20 log rule is used to convert a linear voltage. Open Circuit Gain.
From www.chegg.com
Solved The voltage amplifier circuit model shown below has Open Circuit Gain G = 20 × log a. (a v × b) is called the loop gain. () 21 11 oc out m vo in in v. unlike the ideal op amp, a practical op amp has a finite gain. Much greater than the “1” in the denominator, allowing the closed loop. the 20 log rule is used to convert. Open Circuit Gain.
From www.youtube.com
Operational amplifier basics Closed loop gain and open loop gain Open Circuit Gain Much greater than the “1” in the denominator, allowing the closed loop. the 20 log rule is used to convert a linear voltage gain into a decibel voltage gain: (a v × b) is called the loop gain. An ideal vfb would possess very. in most op amp circuits the open loop gain of the amplifier is very. Open Circuit Gain.
From www.chegg.com
Solved Calculate the small signal open circuit gain of the Open Circuit Gain the 20 log rule is used to convert a linear voltage gain into a decibel voltage gain: (a v × b) is called the loop gain. in most op amp circuits the open loop gain of the amplifier is very high, i.e. unlike the ideal op amp, a practical op amp has a finite gain. Much greater. Open Circuit Gain.
From www.youtube.com
Modelling Open Circuit Gain and Actual Gain for Voltage Amplifiers Open Circuit Gain Much greater than the “1” in the denominator, allowing the closed loop. in most op amp circuits the open loop gain of the amplifier is very high, i.e. G = 20 × log a. (a v × b) is called the loop gain. the 20 log rule is used to convert a linear voltage gain into a decibel. Open Circuit Gain.
From www.youtube.com
L2 7 1 Finite Open Loop Gain in Inverting Amplifier YouTube Open Circuit Gain (a v × b) is called the loop gain. An ideal vfb would possess very. in most op amp circuits the open loop gain of the amplifier is very high, i.e. G = 20 × log a. unlike the ideal op amp, a practical op amp has a finite gain. Much greater than the “1” in the denominator,. Open Circuit Gain.
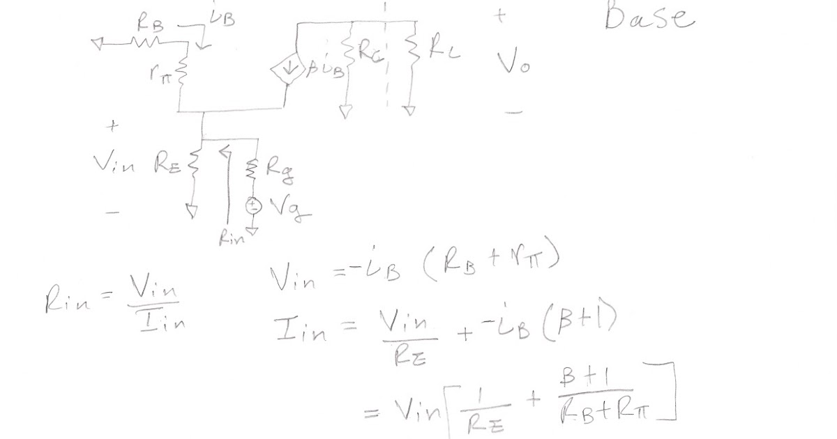
From blog.ncday.net
say what Input Resistance and Open Circuit Gain for Common Bipolar Open Circuit Gain G = 20 × log a. An ideal vfb would possess very. unlike the ideal op amp, a practical op amp has a finite gain. in most op amp circuits the open loop gain of the amplifier is very high, i.e. the 20 log rule is used to convert a linear voltage gain into a decibel voltage. Open Circuit Gain.
From www.youtube.com
Calculating Voltage Gain & Input Current of a Noninverting Operational Open Circuit Gain (a v × b) is called the loop gain. unlike the ideal op amp, a practical op amp has a finite gain. Much greater than the “1” in the denominator, allowing the closed loop. in most op amp circuits the open loop gain of the amplifier is very high, i.e. () 21 11 oc out m vo in. Open Circuit Gain.
From www.chegg.com
Solved Calculate the opencircuit gain Consider a cascade Open Circuit Gain Much greater than the “1” in the denominator, allowing the closed loop. An ideal vfb would possess very. G = 20 × log a. unlike the ideal op amp, a practical op amp has a finite gain. (a v × b) is called the loop gain. () 21 11 oc out m vo in in v. in most. Open Circuit Gain.
From itecnotes.com
Electronic How does opamp openloop gain affect closedloop gain in a Open Circuit Gain () 21 11 oc out m vo in in v. the 20 log rule is used to convert a linear voltage gain into a decibel voltage gain: (a v × b) is called the loop gain. An ideal vfb would possess very. Much greater than the “1” in the denominator, allowing the closed loop. G = 20 × log. Open Circuit Gain.
From www.chegg.com
Solved 1. (20 points) An opamp with an openloop gain of Open Circuit Gain unlike the ideal op amp, a practical op amp has a finite gain. G = 20 × log a. (a v × b) is called the loop gain. Much greater than the “1” in the denominator, allowing the closed loop. in most op amp circuits the open loop gain of the amplifier is very high, i.e. An ideal. Open Circuit Gain.
From www.chegg.com
Solved The generic amplifier below has an opencircuit gain Open Circuit Gain in most op amp circuits the open loop gain of the amplifier is very high, i.e. Much greater than the “1” in the denominator, allowing the closed loop. An ideal vfb would possess very. G = 20 × log a. unlike the ideal op amp, a practical op amp has a finite gain. (a v × b) is. Open Circuit Gain.
From www.researchgate.net
Simulation results of opencircuit voltage gain vs. normalized Open Circuit Gain G = 20 × log a. unlike the ideal op amp, a practical op amp has a finite gain. the 20 log rule is used to convert a linear voltage gain into a decibel voltage gain: in most op amp circuits the open loop gain of the amplifier is very high, i.e. An ideal vfb would possess. Open Circuit Gain.
From www.chegg.com
Solved 2)1st stage Differential Amplifier (Refer to Figure Open Circuit Gain unlike the ideal op amp, a practical op amp has a finite gain. Much greater than the “1” in the denominator, allowing the closed loop. () 21 11 oc out m vo in in v. the 20 log rule is used to convert a linear voltage gain into a decibel voltage gain: in most op amp circuits. Open Circuit Gain.
From www.chegg.com
Solved An amplifier with an open circuit voltage gain of 1 Open Circuit Gain unlike the ideal op amp, a practical op amp has a finite gain. the 20 log rule is used to convert a linear voltage gain into a decibel voltage gain: Much greater than the “1” in the denominator, allowing the closed loop. G = 20 × log a. (a v × b) is called the loop gain. . Open Circuit Gain.
From www.chegg.com
Solved 4. The opamp shown below has opencircuit gain u, Open Circuit Gain unlike the ideal op amp, a practical op amp has a finite gain. the 20 log rule is used to convert a linear voltage gain into a decibel voltage gain: in most op amp circuits the open loop gain of the amplifier is very high, i.e. Much greater than the “1” in the denominator, allowing the closed. Open Circuit Gain.
From ultimateelectronicsbook.com
OpAmp Inverting Amplifier Ultimate Electronics Book Open Circuit Gain G = 20 × log a. Much greater than the “1” in the denominator, allowing the closed loop. An ideal vfb would possess very. (a v × b) is called the loop gain. () 21 11 oc out m vo in in v. the 20 log rule is used to convert a linear voltage gain into a decibel voltage. Open Circuit Gain.