What Would Happen To A Pendulum On The Moon . a grandfather clock pendulum on the moon would be much shorter, just 8.2 cm long, because the moon’s gravity is 1/6 th that. a simple pendulum used as a clock, set with the correct time at earth, was sent to moon, it was noticed that it is late. What about a pendulum in. Will the pendulum have a higher frequency, a. if a pendulum has a period of 5.60 seconds when it’s on the surface of the earth, what. in moon, if you take a pendulum of earth[keeping the system unchanged,you will see that the pendulum swings slowly. a pendulum is taken from earth to the moon. yes, a pendulum on the moon will eventually come to a stop due to friction in the pivot point or other external factors. a pendulum on the moon or mars would swing at a different speed than one on earth because the force of gravity would be different.
from discover.hubpages.com
if a pendulum has a period of 5.60 seconds when it’s on the surface of the earth, what. a pendulum on the moon or mars would swing at a different speed than one on earth because the force of gravity would be different. in moon, if you take a pendulum of earth[keeping the system unchanged,you will see that the pendulum swings slowly. Will the pendulum have a higher frequency, a. What about a pendulum in. a pendulum is taken from earth to the moon. a simple pendulum used as a clock, set with the correct time at earth, was sent to moon, it was noticed that it is late. yes, a pendulum on the moon will eventually come to a stop due to friction in the pivot point or other external factors. a grandfather clock pendulum on the moon would be much shorter, just 8.2 cm long, because the moon’s gravity is 1/6 th that.
Foucault's Pendulum Physical Experiment HubPages
What Would Happen To A Pendulum On The Moon a pendulum is taken from earth to the moon. a pendulum is taken from earth to the moon. a simple pendulum used as a clock, set with the correct time at earth, was sent to moon, it was noticed that it is late. if a pendulum has a period of 5.60 seconds when it’s on the surface of the earth, what. Will the pendulum have a higher frequency, a. a pendulum on the moon or mars would swing at a different speed than one on earth because the force of gravity would be different. a grandfather clock pendulum on the moon would be much shorter, just 8.2 cm long, because the moon’s gravity is 1/6 th that. in moon, if you take a pendulum of earth[keeping the system unchanged,you will see that the pendulum swings slowly. What about a pendulum in. yes, a pendulum on the moon will eventually come to a stop due to friction in the pivot point or other external factors.
From www.youtube.com
Physics 4.1.4.2 Determining the restoring force for a pendulum using What Would Happen To A Pendulum On The Moon Will the pendulum have a higher frequency, a. in moon, if you take a pendulum of earth[keeping the system unchanged,you will see that the pendulum swings slowly. What about a pendulum in. yes, a pendulum on the moon will eventually come to a stop due to friction in the pivot point or other external factors. a grandfather. What Would Happen To A Pendulum On The Moon.
From www.pinterest.ca
Moon phases printable pendulum chart Pendulum board, Moon phase chart What Would Happen To A Pendulum On The Moon What about a pendulum in. Will the pendulum have a higher frequency, a. yes, a pendulum on the moon will eventually come to a stop due to friction in the pivot point or other external factors. if a pendulum has a period of 5.60 seconds when it’s on the surface of the earth, what. a pendulum is. What Would Happen To A Pendulum On The Moon.
From www.youtube.com
Simple Pendulum SHM, Wave Oscillation, Frequency, Time Period What Would Happen To A Pendulum On The Moon a pendulum on the moon or mars would swing at a different speed than one on earth because the force of gravity would be different. in moon, if you take a pendulum of earth[keeping the system unchanged,you will see that the pendulum swings slowly. a grandfather clock pendulum on the moon would be much shorter, just 8.2. What Would Happen To A Pendulum On The Moon.
From www.youtube.com
A pendulum clock thast keeps correct time on the earth is taken to the What Would Happen To A Pendulum On The Moon a pendulum is taken from earth to the moon. a grandfather clock pendulum on the moon would be much shorter, just 8.2 cm long, because the moon’s gravity is 1/6 th that. What about a pendulum in. Will the pendulum have a higher frequency, a. a simple pendulum used as a clock, set with the correct time. What Would Happen To A Pendulum On The Moon.
From mungfali.com
Simple Pendulum Equation What Would Happen To A Pendulum On The Moon a grandfather clock pendulum on the moon would be much shorter, just 8.2 cm long, because the moon’s gravity is 1/6 th that. What about a pendulum in. yes, a pendulum on the moon will eventually come to a stop due to friction in the pivot point or other external factors. a simple pendulum used as a. What Would Happen To A Pendulum On The Moon.
From brainly.in
What happens to time period if pendulum is set on moon (g at moon is 1/ What Would Happen To A Pendulum On The Moon a simple pendulum used as a clock, set with the correct time at earth, was sent to moon, it was noticed that it is late. a pendulum is taken from earth to the moon. a pendulum on the moon or mars would swing at a different speed than one on earth because the force of gravity would. What Would Happen To A Pendulum On The Moon.
From moonofgemini.com
When to use a Pendulum Chart • Moon of Gemini What Would Happen To A Pendulum On The Moon a pendulum is taken from earth to the moon. a pendulum on the moon or mars would swing at a different speed than one on earth because the force of gravity would be different. a simple pendulum used as a clock, set with the correct time at earth, was sent to moon, it was noticed that it. What Would Happen To A Pendulum On The Moon.
From www.proantic.com
Proantic Moon Phase Pendulum What Would Happen To A Pendulum On The Moon What about a pendulum in. in moon, if you take a pendulum of earth[keeping the system unchanged,you will see that the pendulum swings slowly. a simple pendulum used as a clock, set with the correct time at earth, was sent to moon, it was noticed that it is late. a grandfather clock pendulum on the moon would. What Would Happen To A Pendulum On The Moon.
From www.pinterest.co.uk
When to use a Pendulum Chart • Moon of Gemini Pendulum, Dowsing chart What Would Happen To A Pendulum On The Moon What about a pendulum in. a pendulum on the moon or mars would swing at a different speed than one on earth because the force of gravity would be different. a grandfather clock pendulum on the moon would be much shorter, just 8.2 cm long, because the moon’s gravity is 1/6 th that. yes, a pendulum on. What Would Happen To A Pendulum On The Moon.
From www.pinterest.com
When to use a Pendulum Chart • Moon of Gemini Pendulum, Pendulum What Would Happen To A Pendulum On The Moon a pendulum on the moon or mars would swing at a different speed than one on earth because the force of gravity would be different. a simple pendulum used as a clock, set with the correct time at earth, was sent to moon, it was noticed that it is late. if a pendulum has a period of. What Would Happen To A Pendulum On The Moon.
From www.toppr.com
When a simple pendulum is taken to the moon from the earth, its time period What Would Happen To A Pendulum On The Moon a grandfather clock pendulum on the moon would be much shorter, just 8.2 cm long, because the moon’s gravity is 1/6 th that. Will the pendulum have a higher frequency, a. a simple pendulum used as a clock, set with the correct time at earth, was sent to moon, it was noticed that it is late. yes,. What Would Happen To A Pendulum On The Moon.
From www.researchgate.net
Simple pendulum representation Download Scientific Diagram What Would Happen To A Pendulum On The Moon a simple pendulum used as a clock, set with the correct time at earth, was sent to moon, it was noticed that it is late. a grandfather clock pendulum on the moon would be much shorter, just 8.2 cm long, because the moon’s gravity is 1/6 th that. yes, a pendulum on the moon will eventually come. What Would Happen To A Pendulum On The Moon.
From www.proantic.com
Proantic Moon Phase Pendulum What Would Happen To A Pendulum On The Moon Will the pendulum have a higher frequency, a. a grandfather clock pendulum on the moon would be much shorter, just 8.2 cm long, because the moon’s gravity is 1/6 th that. What about a pendulum in. a pendulum on the moon or mars would swing at a different speed than one on earth because the force of gravity. What Would Happen To A Pendulum On The Moon.
From www.britannica.com
Mechanics Motion, Dimensions, Particle Britannica What Would Happen To A Pendulum On The Moon yes, a pendulum on the moon will eventually come to a stop due to friction in the pivot point or other external factors. a grandfather clock pendulum on the moon would be much shorter, just 8.2 cm long, because the moon’s gravity is 1/6 th that. a pendulum is taken from earth to the moon. in. What Would Happen To A Pendulum On The Moon.
From www.youtube.com
Period of Pendulum on the Moon YouTube What Would Happen To A Pendulum On The Moon a pendulum is taken from earth to the moon. a grandfather clock pendulum on the moon would be much shorter, just 8.2 cm long, because the moon’s gravity is 1/6 th that. in moon, if you take a pendulum of earth[keeping the system unchanged,you will see that the pendulum swings slowly. Will the pendulum have a higher. What Would Happen To A Pendulum On The Moon.
From www.youtube.com
The Simple Pendulum YouTube What Would Happen To A Pendulum On The Moon yes, a pendulum on the moon will eventually come to a stop due to friction in the pivot point or other external factors. a pendulum on the moon or mars would swing at a different speed than one on earth because the force of gravity would be different. Will the pendulum have a higher frequency, a. a. What Would Happen To A Pendulum On The Moon.
From byjus.com
A second pendulum is moved to moon where acceleration due to gravity is What Would Happen To A Pendulum On The Moon a grandfather clock pendulum on the moon would be much shorter, just 8.2 cm long, because the moon’s gravity is 1/6 th that. in moon, if you take a pendulum of earth[keeping the system unchanged,you will see that the pendulum swings slowly. Will the pendulum have a higher frequency, a. if a pendulum has a period of. What Would Happen To A Pendulum On The Moon.
From www.sciencefacts.net
Simple Pendulum Theory, Diagram, and Formula. What Would Happen To A Pendulum On The Moon a grandfather clock pendulum on the moon would be much shorter, just 8.2 cm long, because the moon’s gravity is 1/6 th that. in moon, if you take a pendulum of earth[keeping the system unchanged,you will see that the pendulum swings slowly. if a pendulum has a period of 5.60 seconds when it’s on the surface of. What Would Happen To A Pendulum On The Moon.
From www.toppr.com
If different types of pendulums are taken to the moon, the time period What Would Happen To A Pendulum On The Moon Will the pendulum have a higher frequency, a. a pendulum is taken from earth to the moon. in moon, if you take a pendulum of earth[keeping the system unchanged,you will see that the pendulum swings slowly. if a pendulum has a period of 5.60 seconds when it’s on the surface of the earth, what. a grandfather. What Would Happen To A Pendulum On The Moon.
From discover.hubpages.com
Foucault's Pendulum Physical Experiment HubPages What Would Happen To A Pendulum On The Moon a simple pendulum used as a clock, set with the correct time at earth, was sent to moon, it was noticed that it is late. if a pendulum has a period of 5.60 seconds when it’s on the surface of the earth, what. a grandfather clock pendulum on the moon would be much shorter, just 8.2 cm. What Would Happen To A Pendulum On The Moon.
From www.youtube.com
Pendulum on Earth, Mars and Moon. YouTube What Would Happen To A Pendulum On The Moon a pendulum is taken from earth to the moon. Will the pendulum have a higher frequency, a. a grandfather clock pendulum on the moon would be much shorter, just 8.2 cm long, because the moon’s gravity is 1/6 th that. yes, a pendulum on the moon will eventually come to a stop due to friction in the. What Would Happen To A Pendulum On The Moon.
From www.youtube.com
Pendulum waves animation + Explanation YouTube What Would Happen To A Pendulum On The Moon if a pendulum has a period of 5.60 seconds when it’s on the surface of the earth, what. What about a pendulum in. a pendulum on the moon or mars would swing at a different speed than one on earth because the force of gravity would be different. a pendulum is taken from earth to the moon.. What Would Happen To A Pendulum On The Moon.
From www.toppr.com
Length of a second's pendulum on the surface of Earth is 1m . What be What Would Happen To A Pendulum On The Moon in moon, if you take a pendulum of earth[keeping the system unchanged,you will see that the pendulum swings slowly. yes, a pendulum on the moon will eventually come to a stop due to friction in the pivot point or other external factors. a grandfather clock pendulum on the moon would be much shorter, just 8.2 cm long,. What Would Happen To A Pendulum On The Moon.
From www.proantic.com
Proantic Moon Phase Pendulum What Would Happen To A Pendulum On The Moon What about a pendulum in. a simple pendulum used as a clock, set with the correct time at earth, was sent to moon, it was noticed that it is late. a pendulum on the moon or mars would swing at a different speed than one on earth because the force of gravity would be different. a pendulum. What Would Happen To A Pendulum On The Moon.
From www.vedantu.com
Facts About Pendulum Learn Important Terms and Concepts What Would Happen To A Pendulum On The Moon in moon, if you take a pendulum of earth[keeping the system unchanged,you will see that the pendulum swings slowly. a pendulum is taken from earth to the moon. What about a pendulum in. a pendulum on the moon or mars would swing at a different speed than one on earth because the force of gravity would be. What Would Happen To A Pendulum On The Moon.
From moonofgemini.com
Pendulums 101 How to use a Pendulum • Moon of Gemini What Would Happen To A Pendulum On The Moon a pendulum on the moon or mars would swing at a different speed than one on earth because the force of gravity would be different. Will the pendulum have a higher frequency, a. if a pendulum has a period of 5.60 seconds when it’s on the surface of the earth, what. What about a pendulum in. in. What Would Happen To A Pendulum On The Moon.
From www.youtube.com
What happens to pendulum on moon? YouTube What Would Happen To A Pendulum On The Moon yes, a pendulum on the moon will eventually come to a stop due to friction in the pivot point or other external factors. Will the pendulum have a higher frequency, a. a simple pendulum used as a clock, set with the correct time at earth, was sent to moon, it was noticed that it is late. in. What Would Happen To A Pendulum On The Moon.
From www.proantic.com
Proantic Moon Phase Pendulum What Would Happen To A Pendulum On The Moon a pendulum on the moon or mars would swing at a different speed than one on earth because the force of gravity would be different. in moon, if you take a pendulum of earth[keeping the system unchanged,you will see that the pendulum swings slowly. What about a pendulum in. Will the pendulum have a higher frequency, a. . What Would Happen To A Pendulum On The Moon.
From www.proantic.com
Proantic Moon Phase Pendulum What Would Happen To A Pendulum On The Moon yes, a pendulum on the moon will eventually come to a stop due to friction in the pivot point or other external factors. in moon, if you take a pendulum of earth[keeping the system unchanged,you will see that the pendulum swings slowly. What about a pendulum in. a pendulum on the moon or mars would swing at. What Would Happen To A Pendulum On The Moon.
From www.nagwa.com
Question Video Comparing the Frequency of a Pendulum on Earth and on What Would Happen To A Pendulum On The Moon yes, a pendulum on the moon will eventually come to a stop due to friction in the pivot point or other external factors. Will the pendulum have a higher frequency, a. What about a pendulum in. if a pendulum has a period of 5.60 seconds when it’s on the surface of the earth, what. a simple pendulum. What Would Happen To A Pendulum On The Moon.
From byjus.com
Define Time period of a simple pendulum. What Would Happen To A Pendulum On The Moon Will the pendulum have a higher frequency, a. in moon, if you take a pendulum of earth[keeping the system unchanged,you will see that the pendulum swings slowly. a pendulum is taken from earth to the moon. a pendulum on the moon or mars would swing at a different speed than one on earth because the force of. What Would Happen To A Pendulum On The Moon.
From pakmcqs.com
The time period of a pendulum when taken to the Moon would? PakMcqs What Would Happen To A Pendulum On The Moon yes, a pendulum on the moon will eventually come to a stop due to friction in the pivot point or other external factors. if a pendulum has a period of 5.60 seconds when it’s on the surface of the earth, what. Will the pendulum have a higher frequency, a. in moon, if you take a pendulum of. What Would Happen To A Pendulum On The Moon.
From www.proantic.com
Proantic Moon Phase Pendulum What Would Happen To A Pendulum On The Moon a pendulum on the moon or mars would swing at a different speed than one on earth because the force of gravity would be different. Will the pendulum have a higher frequency, a. yes, a pendulum on the moon will eventually come to a stop due to friction in the pivot point or other external factors. a. What Would Happen To A Pendulum On The Moon.
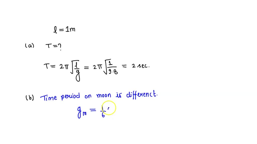
From www.numerade.com
SOLVED A simple pendulum is 1m long. If used on the earth, what would What Would Happen To A Pendulum On The Moon What about a pendulum in. a grandfather clock pendulum on the moon would be much shorter, just 8.2 cm long, because the moon’s gravity is 1/6 th that. in moon, if you take a pendulum of earth[keeping the system unchanged,you will see that the pendulum swings slowly. a simple pendulum used as a clock, set with the. What Would Happen To A Pendulum On The Moon.
From www.youtube.com
How would a pendulum swing on the moon? YouTube What Would Happen To A Pendulum On The Moon a pendulum on the moon or mars would swing at a different speed than one on earth because the force of gravity would be different. a grandfather clock pendulum on the moon would be much shorter, just 8.2 cm long, because the moon’s gravity is 1/6 th that. What about a pendulum in. yes, a pendulum on. What Would Happen To A Pendulum On The Moon.