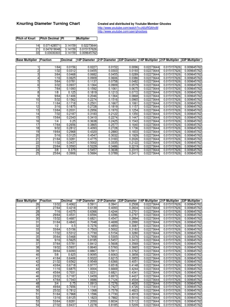
What Is A Knurl Diameter . Stock diameters for even knurls. The diameter of your workpiece will change after your knurling process. Its intention is to describe hand gripping aid knurls. 61 rows the following table gives standardized diameter pitches and dimensional relationships when producing straight, diagonal, and diamond. Knurling is a process used to create a pattern on the surface of a material by displacing or deforming the surface. This tool can be used to calculate an appropriate diameter for knurling, assuming you know the circular pitch of your knurl and the diameter of. Knurling is done to increase the friction on. Knurls have a definite pitch, and they work best when the stock circumference is an approximate multiple of. As ethan48 says, for fitting you need a more precise definition, at least for the outer surface (diameter, cylindricity, runout,.
from www.homemodelenginemachinist.com
Knurling is done to increase the friction on. Knurling is a process used to create a pattern on the surface of a material by displacing or deforming the surface. The diameter of your workpiece will change after your knurling process. This tool can be used to calculate an appropriate diameter for knurling, assuming you know the circular pitch of your knurl and the diameter of. 61 rows the following table gives standardized diameter pitches and dimensional relationships when producing straight, diagonal, and diamond. As ethan48 says, for fitting you need a more precise definition, at least for the outer surface (diameter, cylindricity, runout,. Knurls have a definite pitch, and they work best when the stock circumference is an approximate multiple of. Stock diameters for even knurls. Its intention is to describe hand gripping aid knurls.
A Knurl Pitch Chart Home Model Engine Machinist
What Is A Knurl Diameter This tool can be used to calculate an appropriate diameter for knurling, assuming you know the circular pitch of your knurl and the diameter of. Knurling is done to increase the friction on. 61 rows the following table gives standardized diameter pitches and dimensional relationships when producing straight, diagonal, and diamond. This tool can be used to calculate an appropriate diameter for knurling, assuming you know the circular pitch of your knurl and the diameter of. As ethan48 says, for fitting you need a more precise definition, at least for the outer surface (diameter, cylindricity, runout,. Stock diameters for even knurls. Knurls have a definite pitch, and they work best when the stock circumference is an approximate multiple of. Knurling is a process used to create a pattern on the surface of a material by displacing or deforming the surface. Its intention is to describe hand gripping aid knurls. The diameter of your workpiece will change after your knurling process.
From catalog.pemnet.com
Part PKBM4, Pressin Threaded Inserts, Straight Knurl Metric On What Is A Knurl Diameter Knurling is done to increase the friction on. Knurling is a process used to create a pattern on the surface of a material by displacing or deforming the surface. 61 rows the following table gives standardized diameter pitches and dimensional relationships when producing straight, diagonal, and diamond. Knurls have a definite pitch, and they work best when the stock circumference. What Is A Knurl Diameter.
From www.chronos.ltd.uk
Pair of 3/4 Diameter HSS Knurls Straight Fine 3/8 wide Chronos What Is A Knurl Diameter The diameter of your workpiece will change after your knurling process. This tool can be used to calculate an appropriate diameter for knurling, assuming you know the circular pitch of your knurl and the diameter of. 61 rows the following table gives standardized diameter pitches and dimensional relationships when producing straight, diagonal, and diamond. Knurling is done to increase the. What Is A Knurl Diameter.
From www.amazon.com
FORM ROLL High Speed Steel Knurl Diameter 1" Tooth Pattern What Is A Knurl Diameter Knurling is done to increase the friction on. As ethan48 says, for fitting you need a more precise definition, at least for the outer surface (diameter, cylindricity, runout,. 61 rows the following table gives standardized diameter pitches and dimensional relationships when producing straight, diagonal, and diamond. Stock diameters for even knurls. Knurling is a process used to create a pattern. What Is A Knurl Diameter.
From www.youtube.com
How To Make Knurling Solidworks Tutorial YouTube What Is A Knurl Diameter As ethan48 says, for fitting you need a more precise definition, at least for the outer surface (diameter, cylindricity, runout,. This tool can be used to calculate an appropriate diameter for knurling, assuming you know the circular pitch of your knurl and the diameter of. Stock diameters for even knurls. 61 rows the following table gives standardized diameter pitches and. What Is A Knurl Diameter.
From at-machining.com
Knurling Tools and Techniques A Comprehensive Guide ATMachining What Is A Knurl Diameter Knurling is a process used to create a pattern on the surface of a material by displacing or deforming the surface. Its intention is to describe hand gripping aid knurls. Knurling is done to increase the friction on. As ethan48 says, for fitting you need a more precise definition, at least for the outer surface (diameter, cylindricity, runout,. The diameter. What Is A Knurl Diameter.
From engistudies.blogspot.com
Knurls and Knurling process Engistudies What Is A Knurl Diameter As ethan48 says, for fitting you need a more precise definition, at least for the outer surface (diameter, cylindricity, runout,. Stock diameters for even knurls. Knurls have a definite pitch, and they work best when the stock circumference is an approximate multiple of. Its intention is to describe hand gripping aid knurls. Knurling is done to increase the friction on.. What Is A Knurl Diameter.
From www.youtube.com
How to knurl with a pinch type knurling tool, the basic theory, part 2 What Is A Knurl Diameter As ethan48 says, for fitting you need a more precise definition, at least for the outer surface (diameter, cylindricity, runout,. Knurls have a definite pitch, and they work best when the stock circumference is an approximate multiple of. 61 rows the following table gives standardized diameter pitches and dimensional relationships when producing straight, diagonal, and diamond. Knurling is done to. What Is A Knurl Diameter.
From www.homemodelenginemachinist.com
A Knurl Pitch Chart Home Model Engine Machinist What Is A Knurl Diameter Knurling is a process used to create a pattern on the surface of a material by displacing or deforming the surface. This tool can be used to calculate an appropriate diameter for knurling, assuming you know the circular pitch of your knurl and the diameter of. Stock diameters for even knurls. Its intention is to describe hand gripping aid knurls.. What Is A Knurl Diameter.
From engineeringtechnology.org
Knurls What Is A Knurl Diameter Its intention is to describe hand gripping aid knurls. The diameter of your workpiece will change after your knurling process. 61 rows the following table gives standardized diameter pitches and dimensional relationships when producing straight, diagonal, and diamond. As ethan48 says, for fitting you need a more precise definition, at least for the outer surface (diameter, cylindricity, runout,. Knurling is. What Is A Knurl Diameter.
From www.accu-trak.com
Knurl Wheels What Is A Knurl Diameter The diameter of your workpiece will change after your knurling process. Knurling is a process used to create a pattern on the surface of a material by displacing or deforming the surface. This tool can be used to calculate an appropriate diameter for knurling, assuming you know the circular pitch of your knurl and the diameter of. Its intention is. What Is A Knurl Diameter.
From www.youtube.com
Pt 14 How to Knurl on a Lathe YouTube What Is A Knurl Diameter As ethan48 says, for fitting you need a more precise definition, at least for the outer surface (diameter, cylindricity, runout,. The diameter of your workpiece will change after your knurling process. Knurling is done to increase the friction on. This tool can be used to calculate an appropriate diameter for knurling, assuming you know the circular pitch of your knurl. What Is A Knurl Diameter.
From www.theengineerspost.com
Knurling Operation Definition, Process, Types & Uses [PDF] What Is A Knurl Diameter Knurling is done to increase the friction on. Knurling is a process used to create a pattern on the surface of a material by displacing or deforming the surface. Its intention is to describe hand gripping aid knurls. The diameter of your workpiece will change after your knurling process. Knurls have a definite pitch, and they work best when the. What Is A Knurl Diameter.
From commediadelartebrighella.blogspot.com
How To Call Out Knurling On A Drawing / Mechanical Engineering How To What Is A Knurl Diameter The diameter of your workpiece will change after your knurling process. As ethan48 says, for fitting you need a more precise definition, at least for the outer surface (diameter, cylindricity, runout,. Knurling is a process used to create a pattern on the surface of a material by displacing or deforming the surface. Stock diameters for even knurls. 61 rows the. What Is A Knurl Diameter.
From mensquats.com
What is a knurl on a barbell? 3 Types of Knurling. MENSQUATS What Is A Knurl Diameter This tool can be used to calculate an appropriate diameter for knurling, assuming you know the circular pitch of your knurl and the diameter of. Stock diameters for even knurls. Knurls have a definite pitch, and they work best when the stock circumference is an approximate multiple of. 61 rows the following table gives standardized diameter pitches and dimensional relationships. What Is A Knurl Diameter.
From www.scribd.com
Knurling Turn Diameters Quick Reference Decimal Fraction (Mathematics) What Is A Knurl Diameter As ethan48 says, for fitting you need a more precise definition, at least for the outer surface (diameter, cylindricity, runout,. Its intention is to describe hand gripping aid knurls. Knurling is done to increase the friction on. The diameter of your workpiece will change after your knurling process. Knurls have a definite pitch, and they work best when the stock. What Is A Knurl Diameter.
From www.doriantool.com
Knurling Tools « Dorian Tool International Incorporated What Is A Knurl Diameter This tool can be used to calculate an appropriate diameter for knurling, assuming you know the circular pitch of your knurl and the diameter of. Knurls have a definite pitch, and they work best when the stock circumference is an approximate multiple of. As ethan48 says, for fitting you need a more precise definition, at least for the outer surface. What Is A Knurl Diameter.
From accu-trak.com
General Knurling Information What Is A Knurl Diameter Stock diameters for even knurls. 61 rows the following table gives standardized diameter pitches and dimensional relationships when producing straight, diagonal, and diamond. The diameter of your workpiece will change after your knurling process. Its intention is to describe hand gripping aid knurls. This tool can be used to calculate an appropriate diameter for knurling, assuming you know the circular. What Is A Knurl Diameter.
From www.formrolldie.com
KNX SERIES What Is A Knurl Diameter Knurls have a definite pitch, and they work best when the stock circumference is an approximate multiple of. 61 rows the following table gives standardized diameter pitches and dimensional relationships when producing straight, diagonal, and diamond. Its intention is to describe hand gripping aid knurls. This tool can be used to calculate an appropriate diameter for knurling, assuming you know. What Is A Knurl Diameter.
From www.gdandtbasics.com
Knurling GD&T Basics What Is A Knurl Diameter Knurling is done to increase the friction on. The diameter of your workpiece will change after your knurling process. Knurls have a definite pitch, and they work best when the stock circumference is an approximate multiple of. 61 rows the following table gives standardized diameter pitches and dimensional relationships when producing straight, diagonal, and diamond. This tool can be used. What Is A Knurl Diameter.
From fasteners.hitechfasteners.com
Moldedin Threaded Inserts, ThruThreaded, Knurled Metric On HiTech What Is A Knurl Diameter Stock diameters for even knurls. Its intention is to describe hand gripping aid knurls. The diameter of your workpiece will change after your knurling process. Knurling is a process used to create a pattern on the surface of a material by displacing or deforming the surface. Knurling is done to increase the friction on. This tool can be used to. What Is A Knurl Diameter.
From www.practicalmachinist.com
Knurling C. I. What Is A Knurl Diameter Its intention is to describe hand gripping aid knurls. Stock diameters for even knurls. Knurling is a process used to create a pattern on the surface of a material by displacing or deforming the surface. This tool can be used to calculate an appropriate diameter for knurling, assuming you know the circular pitch of your knurl and the diameter of.. What Is A Knurl Diameter.
From www.accu-trak.com
Knurl Wheels What Is A Knurl Diameter Knurling is done to increase the friction on. Knurls have a definite pitch, and they work best when the stock circumference is an approximate multiple of. As ethan48 says, for fitting you need a more precise definition, at least for the outer surface (diameter, cylindricity, runout,. The diameter of your workpiece will change after your knurling process. Knurling is a. What Is A Knurl Diameter.
From www.youtube.com
How I install longer studs with bigger knurl diameter YouTube What Is A Knurl Diameter Its intention is to describe hand gripping aid knurls. This tool can be used to calculate an appropriate diameter for knurling, assuming you know the circular pitch of your knurl and the diameter of. As ethan48 says, for fitting you need a more precise definition, at least for the outer surface (diameter, cylindricity, runout,. 61 rows the following table gives. What Is A Knurl Diameter.
From www.pinterest.com
Knurl definition and synonims of «knurl» in english dictionary What Is A Knurl Diameter Its intention is to describe hand gripping aid knurls. This tool can be used to calculate an appropriate diameter for knurling, assuming you know the circular pitch of your knurl and the diameter of. Knurling is a process used to create a pattern on the surface of a material by displacing or deforming the surface. Knurls have a definite pitch,. What Is A Knurl Diameter.
From accu-trak.com
General Knurling Information What Is A Knurl Diameter This tool can be used to calculate an appropriate diameter for knurling, assuming you know the circular pitch of your knurl and the diameter of. 61 rows the following table gives standardized diameter pitches and dimensional relationships when producing straight, diagonal, and diamond. The diameter of your workpiece will change after your knurling process. Knurling is done to increase the. What Is A Knurl Diameter.
From www.hobby-machinist.com
Knurling advice Page 3 The HobbyMachinist What Is A Knurl Diameter Its intention is to describe hand gripping aid knurls. The diameter of your workpiece will change after your knurling process. Stock diameters for even knurls. Knurling is done to increase the friction on. 61 rows the following table gives standardized diameter pitches and dimensional relationships when producing straight, diagonal, and diamond. Knurling is a process used to create a pattern. What Is A Knurl Diameter.
From www.mscdirect.com
Made in USA Standard Knurl Wheel 3/4" Dia, 80 ° Tooth Angle What Is A Knurl Diameter Its intention is to describe hand gripping aid knurls. This tool can be used to calculate an appropriate diameter for knurling, assuming you know the circular pitch of your knurl and the diameter of. Knurls have a definite pitch, and they work best when the stock circumference is an approximate multiple of. Stock diameters for even knurls. Knurling is done. What Is A Knurl Diameter.
From www.gdandtbasics.com
Knurling GD&T Basics What Is A Knurl Diameter 61 rows the following table gives standardized diameter pitches and dimensional relationships when producing straight, diagonal, and diamond. Knurling is a process used to create a pattern on the surface of a material by displacing or deforming the surface. As ethan48 says, for fitting you need a more precise definition, at least for the outer surface (diameter, cylindricity, runout,. Its. What Is A Knurl Diameter.
From www.knurlingindia.com
Female Diamond Knurling Tool GV Rapid Knurling What Is A Knurl Diameter This tool can be used to calculate an appropriate diameter for knurling, assuming you know the circular pitch of your knurl and the diameter of. The diameter of your workpiece will change after your knurling process. Knurling is a process used to create a pattern on the surface of a material by displacing or deforming the surface. Knurling is done. What Is A Knurl Diameter.
From www.penntoolco.com
Form Roll KN Series Knurl, 30 Degree Diamond Male Circular Pitch 50 What Is A Knurl Diameter Knurls have a definite pitch, and they work best when the stock circumference is an approximate multiple of. 61 rows the following table gives standardized diameter pitches and dimensional relationships when producing straight, diagonal, and diamond. This tool can be used to calculate an appropriate diameter for knurling, assuming you know the circular pitch of your knurl and the diameter. What Is A Knurl Diameter.
From ponasa.condesan-ecoandes.org
Knurling Diameter Turning Chart Ponasa What Is A Knurl Diameter Knurling is done to increase the friction on. Knurling is a process used to create a pattern on the surface of a material by displacing or deforming the surface. 61 rows the following table gives standardized diameter pitches and dimensional relationships when producing straight, diagonal, and diamond. Stock diameters for even knurls. The diameter of your workpiece will change after. What Is A Knurl Diameter.
From www.penntoolco.com
Diametral Pitch Knurl, Straight, HSS, 96 356204 Penn Tool Co., Inc What Is A Knurl Diameter Its intention is to describe hand gripping aid knurls. This tool can be used to calculate an appropriate diameter for knurling, assuming you know the circular pitch of your knurl and the diameter of. As ethan48 says, for fitting you need a more precise definition, at least for the outer surface (diameter, cylindricity, runout,. The diameter of your workpiece will. What Is A Knurl Diameter.
From www.accu-trak.com
Knurl Wheels What Is A Knurl Diameter The diameter of your workpiece will change after your knurling process. This tool can be used to calculate an appropriate diameter for knurling, assuming you know the circular pitch of your knurl and the diameter of. Knurls have a definite pitch, and they work best when the stock circumference is an approximate multiple of. Its intention is to describe hand. What Is A Knurl Diameter.
From boostatv.com
A Guide to ATV Lug Nuts, Wheel Bolts & Studs (Sizes & Types) What Is A Knurl Diameter Its intention is to describe hand gripping aid knurls. 61 rows the following table gives standardized diameter pitches and dimensional relationships when producing straight, diagonal, and diamond. This tool can be used to calculate an appropriate diameter for knurling, assuming you know the circular pitch of your knurl and the diameter of. Knurling is done to increase the friction on.. What Is A Knurl Diameter.
From www.slideserve.com
PPT DIMENSIONING PowerPoint Presentation ID527174 What Is A Knurl Diameter Knurling is a process used to create a pattern on the surface of a material by displacing or deforming the surface. Its intention is to describe hand gripping aid knurls. Knurling is done to increase the friction on. Stock diameters for even knurls. 61 rows the following table gives standardized diameter pitches and dimensional relationships when producing straight, diagonal, and. What Is A Knurl Diameter.