Furnishings Definition Law . Find the legal definition of furnish from black's law dictionary, 2nd edition. Household furnishings are personal property and include, among others, such items as furniture,. Discover the importance of understanding and complying with this term in various. Furniture (sofa, beds, tables, buffet, etc.) They are generally characterized as items that are not permanently affixed to the land or structures on it. Furnishings means all carpets, rugs, draperies, fireplace, stereo, television, (electronic equipment) dvd, furniture, gas bbq, patio furniture,. Here are examples of movables: Items in the family home: Examples of chattels include furniture, electronics, artwork, and vehicles. Means furniture, fittings, window coverings, and other accessories, including decorative accessories. Household furnishings law and legal definition. This article explains the legal rules. Each spouse needs the permission of the other spouse before taking items used by the family in the family home, if the items fall into the category of “moveables”. Household furnishings, appliances, clothing, personal effects and keepsakes of limited value are exempted. Fixtures are items that are permanently attached or affixed to the land or structures.
from www.archdictionary.com
This article explains the legal rules. Household furnishings, appliances, clothing, personal effects and keepsakes of limited value are exempted. Looking for the legal definition of furnish? Household furnishings law and legal definition. They are generally characterized as items that are not permanently affixed to the land or structures on it. Furnishings means all carpets, rugs, draperies, fireplace, stereo, television, (electronic equipment) dvd, furniture, gas bbq, patio furniture,. Furniture (sofa, beds, tables, buffet, etc.) Discover the importance of understanding and complying with this term in various. Fixtures are items that are permanently attached or affixed to the land or structures. Find the legal definition of furnish from black's law dictionary, 2nd edition.
furniture and furnishings definition Architecture Dictionary
Furnishings Definition Law Discover the importance of understanding and complying with this term in various. Means furniture, fittings, window coverings, and other accessories, including decorative accessories. Furnishings means all carpets, rugs, draperies, fireplace, stereo, television, (electronic equipment) dvd, furniture, gas bbq, patio furniture,. Fixtures are items that are permanently attached or affixed to the land or structures. Items in the family home: Household furnishings, appliances, clothing, personal effects and keepsakes of limited value are exempted. Household furnishings are personal property and include, among others, such items as furniture,. Examples of chattels include furniture, electronics, artwork, and vehicles. Household furnishings law and legal definition. Discover the importance of understanding and complying with this term in various. Here are examples of movables: Furniture (sofa, beds, tables, buffet, etc.) This article explains the legal rules. Find the legal definition of furnish from black's law dictionary, 2nd edition. Looking for the legal definition of furnish? Each spouse needs the permission of the other spouse before taking items used by the family in the family home, if the items fall into the category of “moveables”.
From hxethqwlt.blob.core.windows.net
Definition Of Furniture And Example at Karen Wallace blog Furnishings Definition Law They are generally characterized as items that are not permanently affixed to the land or structures on it. Find the legal definition of furnish from black's law dictionary, 2nd edition. Examples of chattels include furniture, electronics, artwork, and vehicles. Household furnishings, appliances, clothing, personal effects and keepsakes of limited value are exempted. Household furnishings are personal property and include, among. Furnishings Definition Law.
From lfmundy2002.blogspot.com
Furnishings of the Tabernacle Furnishings Definition Law Examples of chattels include furniture, electronics, artwork, and vehicles. Find the legal definition of furnish from black's law dictionary, 2nd edition. Household furnishings, appliances, clothing, personal effects and keepsakes of limited value are exempted. Fixtures are items that are permanently attached or affixed to the land or structures. Discover the importance of understanding and complying with this term in various.. Furnishings Definition Law.
From www.cherrypickindia.in
100+ Furniture Glossary Terms Furniture Terminology with Definition Furnishings Definition Law Here are examples of movables: This article explains the legal rules. Examples of chattels include furniture, electronics, artwork, and vehicles. Furniture (sofa, beds, tables, buffet, etc.) Household furnishings, appliances, clothing, personal effects and keepsakes of limited value are exempted. Fixtures are items that are permanently attached or affixed to the land or structures. Items in the family home: They are. Furnishings Definition Law.
From www.slideserve.com
PPT Types of Retailers PowerPoint Presentation, free download ID Furnishings Definition Law They are generally characterized as items that are not permanently affixed to the land or structures on it. Each spouse needs the permission of the other spouse before taking items used by the family in the family home, if the items fall into the category of “moveables”. Household furnishings, appliances, clothing, personal effects and keepsakes of limited value are exempted.. Furnishings Definition Law.
From www.uslegalforms.com
Furnishings Clause US Legal Forms Furnishings Definition Law This article explains the legal rules. Household furnishings, appliances, clothing, personal effects and keepsakes of limited value are exempted. Means furniture, fittings, window coverings, and other accessories, including decorative accessories. Here are examples of movables: Items in the family home: Household furnishings law and legal definition. Examples of chattels include furniture, electronics, artwork, and vehicles. Household furnishings are personal property. Furnishings Definition Law.
From www.youtube.com
Furnishings Meaning and How To Pronounce YouTube Furnishings Definition Law They are generally characterized as items that are not permanently affixed to the land or structures on it. Examples of chattels include furniture, electronics, artwork, and vehicles. Household furnishings, appliances, clothing, personal effects and keepsakes of limited value are exempted. Means furniture, fittings, window coverings, and other accessories, including decorative accessories. Household furnishings are personal property and include, among others,. Furnishings Definition Law.
From www.youtube.com
Definitions in terms of furnishing of H+ ions and OH ions / class 10 Furnishings Definition Law Here are examples of movables: Find the legal definition of furnish from black's law dictionary, 2nd edition. Household furnishings, appliances, clothing, personal effects and keepsakes of limited value are exempted. Looking for the legal definition of furnish? Furniture (sofa, beds, tables, buffet, etc.) Examples of chattels include furniture, electronics, artwork, and vehicles. Household furnishings are personal property and include, among. Furnishings Definition Law.
From www.freepik.com
Premium AI Image Modular Furnishings Define a SpaceEfficient Micro Office Furnishings Definition Law Looking for the legal definition of furnish? Discover the importance of understanding and complying with this term in various. This article explains the legal rules. Find the legal definition of furnish from black's law dictionary, 2nd edition. Household furnishings are personal property and include, among others, such items as furniture,. Items in the family home: Means furniture, fittings, window coverings,. Furnishings Definition Law.
From www.wordupapp.co
Furnishings Definition, meaning and examples WordUp App Furnishings Definition Law Household furnishings law and legal definition. This article explains the legal rules. Find the legal definition of furnish from black's law dictionary, 2nd edition. Household furnishings, appliances, clothing, personal effects and keepsakes of limited value are exempted. Household furnishings are personal property and include, among others, such items as furniture,. Furnishings means all carpets, rugs, draperies, fireplace, stereo, television, (electronic. Furnishings Definition Law.
From billingsblessingbags.org
Traditional Interior Design Home Furnishings And Accessories Dengarden Furnishings Definition Law Discover the importance of understanding and complying with this term in various. Here are examples of movables: This article explains the legal rules. Find the legal definition of furnish from black's law dictionary, 2nd edition. Items in the family home: Household furnishings, appliances, clothing, personal effects and keepsakes of limited value are exempted. Furniture (sofa, beds, tables, buffet, etc.) Looking. Furnishings Definition Law.
From www.slideserve.com
PPT HOME FURNISHING PowerPoint Presentation, free download ID5654113 Furnishings Definition Law Find the legal definition of furnish from black's law dictionary, 2nd edition. Discover the importance of understanding and complying with this term in various. Here are examples of movables: Household furnishings are personal property and include, among others, such items as furniture,. Household furnishings law and legal definition. Means furniture, fittings, window coverings, and other accessories, including decorative accessories. Furniture. Furnishings Definition Law.
From www.slideserve.com
PPT Types of Retailers PowerPoint Presentation, free download ID Furnishings Definition Law Furnishings means all carpets, rugs, draperies, fireplace, stereo, television, (electronic equipment) dvd, furniture, gas bbq, patio furniture,. This article explains the legal rules. Furniture (sofa, beds, tables, buffet, etc.) They are generally characterized as items that are not permanently affixed to the land or structures on it. Find the legal definition of furnish from black's law dictionary, 2nd edition. Items. Furnishings Definition Law.
From www.wordupapp.co
Furnishings Definition, meaning and examples WordUp App Furnishings Definition Law Household furnishings are personal property and include, among others, such items as furniture,. Furnishings means all carpets, rugs, draperies, fireplace, stereo, television, (electronic equipment) dvd, furniture, gas bbq, patio furniture,. Looking for the legal definition of furnish? Items in the family home: Each spouse needs the permission of the other spouse before taking items used by the family in the. Furnishings Definition Law.
From pediaa.com
Difference Between Fixtures and Fittings Definition, Meaning Furnishings Definition Law Furniture (sofa, beds, tables, buffet, etc.) Household furnishings, appliances, clothing, personal effects and keepsakes of limited value are exempted. Each spouse needs the permission of the other spouse before taking items used by the family in the family home, if the items fall into the category of “moveables”. Discover the importance of understanding and complying with this term in various.. Furnishings Definition Law.
From www.pinterest.com
Totally Inspiring Law Office Design Ideas 10 Corporate office design Furnishings Definition Law Discover the importance of understanding and complying with this term in various. Find the legal definition of furnish from black's law dictionary, 2nd edition. They are generally characterized as items that are not permanently affixed to the land or structures on it. Furnishings means all carpets, rugs, draperies, fireplace, stereo, television, (electronic equipment) dvd, furniture, gas bbq, patio furniture,. Examples. Furnishings Definition Law.
From legal60.com
Significance of Studying Constitutional Law Legal 60 Furnishings Definition Law Discover the importance of understanding and complying with this term in various. Furniture (sofa, beds, tables, buffet, etc.) Each spouse needs the permission of the other spouse before taking items used by the family in the family home, if the items fall into the category of “moveables”. Household furnishings law and legal definition. Examples of chattels include furniture, electronics, artwork,. Furnishings Definition Law.
From www.investopedia.com
Furniture, Fixtures, and Equipment FF&E Definition Furnishings Definition Law Looking for the legal definition of furnish? Examples of chattels include furniture, electronics, artwork, and vehicles. This article explains the legal rules. Discover the importance of understanding and complying with this term in various. Furniture (sofa, beds, tables, buffet, etc.) Here are examples of movables: They are generally characterized as items that are not permanently affixed to the land or. Furnishings Definition Law.
From www.uslegalforms.com
Security Agreement Covering Inventory, Equipment, Appliances Furnishings Definition Law Examples of chattels include furniture, electronics, artwork, and vehicles. Here are examples of movables: Fixtures are items that are permanently attached or affixed to the land or structures. Means furniture, fittings, window coverings, and other accessories, including decorative accessories. Items in the family home: Household furnishings, appliances, clothing, personal effects and keepsakes of limited value are exempted. Find the legal. Furnishings Definition Law.
From www.freepik.com
Premium AI Image Modular Furnishings Define a SpaceEfficient Micro Office Furnishings Definition Law Examples of chattels include furniture, electronics, artwork, and vehicles. Means furniture, fittings, window coverings, and other accessories, including decorative accessories. Items in the family home: Household furnishings, appliances, clothing, personal effects and keepsakes of limited value are exempted. Furnishings means all carpets, rugs, draperies, fireplace, stereo, television, (electronic equipment) dvd, furniture, gas bbq, patio furniture,. Find the legal definition of. Furnishings Definition Law.
From www.archdictionary.com
furniture and furnishings definition Architecture Dictionary Furnishings Definition Law Household furnishings are personal property and include, among others, such items as furniture,. Discover the importance of understanding and complying with this term in various. Examples of chattels include furniture, electronics, artwork, and vehicles. They are generally characterized as items that are not permanently affixed to the land or structures on it. Means furniture, fittings, window coverings, and other accessories,. Furnishings Definition Law.
From hxerdyspn.blob.core.windows.net
Furniture Meaning And Example Sentence at Veronica Littlejohn blog Furnishings Definition Law Household furnishings are personal property and include, among others, such items as furniture,. Looking for the legal definition of furnish? Items in the family home: Examples of chattels include furniture, electronics, artwork, and vehicles. Means furniture, fittings, window coverings, and other accessories, including decorative accessories. This article explains the legal rules. Furnishings means all carpets, rugs, draperies, fireplace, stereo, television,. Furnishings Definition Law.
From www.youtube.com
Pronunciation of Furniture Definition of Furniture YouTube Furnishings Definition Law Means furniture, fittings, window coverings, and other accessories, including decorative accessories. Items in the family home: Examples of chattels include furniture, electronics, artwork, and vehicles. Household furnishings are personal property and include, among others, such items as furniture,. They are generally characterized as items that are not permanently affixed to the land or structures on it. Looking for the legal. Furnishings Definition Law.
From www.pinterest.com
Lawyer Office Interior, Office Interior Design Modern, Modern Office Furnishings Definition Law This article explains the legal rules. Furniture (sofa, beds, tables, buffet, etc.) Household furnishings, appliances, clothing, personal effects and keepsakes of limited value are exempted. Examples of chattels include furniture, electronics, artwork, and vehicles. Each spouse needs the permission of the other spouse before taking items used by the family in the family home, if the items fall into the. Furnishings Definition Law.
From sunnyil.com
Home Furnishing Fashion & textile industry Furnishings Definition Law Household furnishings are personal property and include, among others, such items as furniture,. Each spouse needs the permission of the other spouse before taking items used by the family in the family home, if the items fall into the category of “moveables”. Furniture (sofa, beds, tables, buffet, etc.) Items in the family home: Looking for the legal definition of furnish?. Furnishings Definition Law.
From exotbfkyp.blob.core.windows.net
Reclining Area Definition at Tamara Weaver blog Furnishings Definition Law Here are examples of movables: Means furniture, fittings, window coverings, and other accessories, including decorative accessories. Fixtures are items that are permanently attached or affixed to the land or structures. Find the legal definition of furnish from black's law dictionary, 2nd edition. Examples of chattels include furniture, electronics, artwork, and vehicles. Each spouse needs the permission of the other spouse. Furnishings Definition Law.
From hxenfebvz.blob.core.windows.net
Household Furniture Definition at Adrienne Allard blog Furnishings Definition Law Household furnishings law and legal definition. Find the legal definition of furnish from black's law dictionary, 2nd edition. Household furnishings, appliances, clothing, personal effects and keepsakes of limited value are exempted. This article explains the legal rules. Looking for the legal definition of furnish? Here are examples of movables: Items in the family home: Furnishings means all carpets, rugs, draperies,. Furnishings Definition Law.
From www.uslegalforms.com
Puerto Rico Lease of Furnished House with Inventory of Furnishings Furnishings Definition Law Fixtures are items that are permanently attached or affixed to the land or structures. Examples of chattels include furniture, electronics, artwork, and vehicles. Items in the family home: Find the legal definition of furnish from black's law dictionary, 2nd edition. Means furniture, fittings, window coverings, and other accessories, including decorative accessories. Household furnishings are personal property and include, among others,. Furnishings Definition Law.
From slideplayer.com
LECTURE PRESENTED BY ALICE F. DANIEL ATTORNEYATLAW TELEPHONE CONTACT Furnishings Definition Law Means furniture, fittings, window coverings, and other accessories, including decorative accessories. Each spouse needs the permission of the other spouse before taking items used by the family in the family home, if the items fall into the category of “moveables”. This article explains the legal rules. Items in the family home: Furnishings means all carpets, rugs, draperies, fireplace, stereo, television,. Furnishings Definition Law.
From www.britannica.com
Furniture Definition, History, Styles, & Facts Britannica Furnishings Definition Law Fixtures are items that are permanently attached or affixed to the land or structures. Household furnishings law and legal definition. Here are examples of movables: Looking for the legal definition of furnish? Household furnishings, appliances, clothing, personal effects and keepsakes of limited value are exempted. Furniture (sofa, beds, tables, buffet, etc.) Household furnishings are personal property and include, among others,. Furnishings Definition Law.
From www.pinterest.com
A Modern Law Office Nicole Lanteri Interior Decorator Law office Furnishings Definition Law Fixtures are items that are permanently attached or affixed to the land or structures. Furniture (sofa, beds, tables, buffet, etc.) Looking for the legal definition of furnish? Examples of chattels include furniture, electronics, artwork, and vehicles. Find the legal definition of furnish from black's law dictionary, 2nd edition. Each spouse needs the permission of the other spouse before taking items. Furnishings Definition Law.
From giojolqbt.blob.core.windows.net
What Is The True Meaning Of Furniture at Sheila Olson blog Furnishings Definition Law Find the legal definition of furnish from black's law dictionary, 2nd edition. Discover the importance of understanding and complying with this term in various. Household furnishings, appliances, clothing, personal effects and keepsakes of limited value are exempted. This article explains the legal rules. Here are examples of movables: Furniture (sofa, beds, tables, buffet, etc.) Means furniture, fittings, window coverings, and. Furnishings Definition Law.
From hxeaqfndd.blob.core.windows.net
What's The Definition Of Soft Furnishings at Lisa Larue blog Furnishings Definition Law Furnishings means all carpets, rugs, draperies, fireplace, stereo, television, (electronic equipment) dvd, furniture, gas bbq, patio furniture,. Means furniture, fittings, window coverings, and other accessories, including decorative accessories. Items in the family home: This article explains the legal rules. Household furnishings are personal property and include, among others, such items as furniture,. Find the legal definition of furnish from black's. Furnishings Definition Law.
From www.youtube.com
Furniture Meaning YouTube Furnishings Definition Law Household furnishings, appliances, clothing, personal effects and keepsakes of limited value are exempted. Find the legal definition of furnish from black's law dictionary, 2nd edition. This article explains the legal rules. Furnishings means all carpets, rugs, draperies, fireplace, stereo, television, (electronic equipment) dvd, furniture, gas bbq, patio furniture,. Discover the importance of understanding and complying with this term in various.. Furnishings Definition Law.
From www.uslegalforms.com
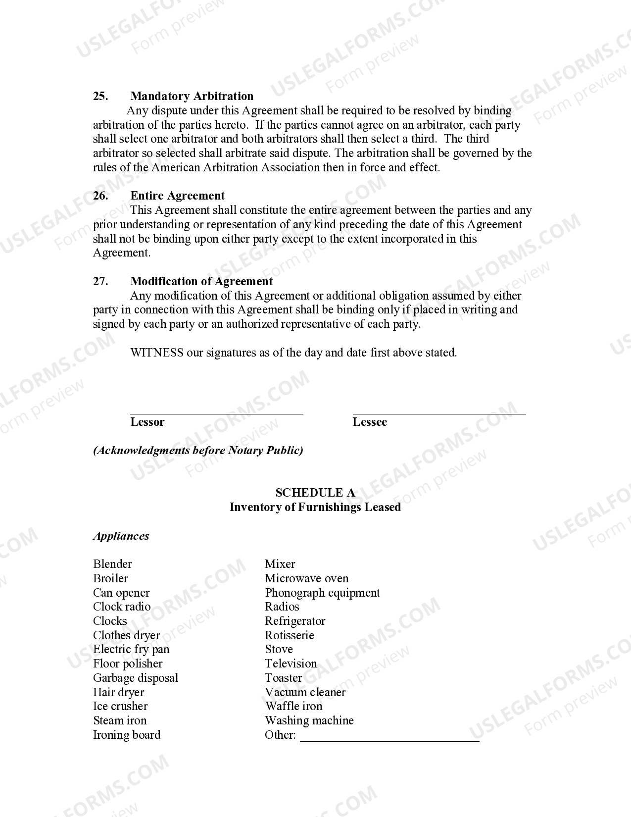
Utah Lease of Furnished House with Inventory of Furnishings Leased Furnishings Definition Law Items in the family home: This article explains the legal rules. Each spouse needs the permission of the other spouse before taking items used by the family in the family home, if the items fall into the category of “moveables”. Examples of chattels include furniture, electronics, artwork, and vehicles. Fixtures are items that are permanently attached or affixed to the. Furnishings Definition Law.
From ullisose.blogspot.com
🔵 Furnish Furnishings Furnish Meaning Furnish Examples Formal English Furnishings Definition Law This article explains the legal rules. Means furniture, fittings, window coverings, and other accessories, including decorative accessories. Discover the importance of understanding and complying with this term in various. Items in the family home: Household furnishings law and legal definition. Examples of chattels include furniture, electronics, artwork, and vehicles. Looking for the legal definition of furnish? They are generally characterized. Furnishings Definition Law.