Drafting Bail Application . 3) the name of the police in which fir is. What documents are required to file a regular. what is bail and what is its purpose? canada’s bail system promotes public safety, maintains confidence in the administration of justice, and ensures. What is a regular bail application? What the charter of rights and freedoms says about bail. Go to your bail hearing. — unlock the secrets of drafting effective bail applications with our expert guide. — important content for the bail application. Understand the grounds of detention 2. 1) the name of the court. Prepare your application for bail review 4. How to prepare a regular bail application? Bail is a shared responsibility. What the supreme court of.
from www.youtube.com
what is bail and what is its purpose? How to prepare a regular bail application? What documents are required to file a regular. Go to your bail hearing. What the supreme court of. What the charter of rights and freedoms says about bail. Understand the grounds of detention 2. Prepare your application for bail review 4. Talk to a lawyer 3. 3) the name of the police in which fir is.
Drafting of Bail Application by Kushal Mor YouTube
Drafting Bail Application Bail is a shared responsibility. What documents are required to file a regular. 3) the name of the police in which fir is. Go to your bail hearing. Bail is a shared responsibility. — unlock the secrets of drafting effective bail applications with our expert guide. Prepare your application for bail review 4. Explore essential tips, legal nuances, and formatting. How to prepare a regular bail application? Talk to a lawyer 3. What the supreme court of. 1) the name of the court. — important content for the bail application. Understand the grounds of detention 2. What the charter of rights and freedoms says about bail. what is bail and what is its purpose?
From www.scribd.com
Draft Bail Application (Legal DraftingII) PDF Drafting Bail Application Explore essential tips, legal nuances, and formatting. — unlock the secrets of drafting effective bail applications with our expert guide. What is a regular bail application? Bail is a shared responsibility. Talk to a lawyer 3. Prepare your application for bail review 4. What documents are required to file a regular. — important content for the bail application.. Drafting Bail Application.
From www.scribd.com
Bail Application Drafting Bail Application 1) the name of the court. canada’s bail system promotes public safety, maintains confidence in the administration of justice, and ensures. What is a regular bail application? Bail is a shared responsibility. — important content for the bail application. Understand the grounds of detention 2. Go to your bail hearing. Talk to a lawyer 3. How to prepare. Drafting Bail Application.
From www.studocu.com
Bail draft format easy BAIL APPLICATION NO. 567/ PRESENTATION DT Drafting Bail Application 3) the name of the police in which fir is. Talk to a lawyer 3. How to prepare a regular bail application? What documents are required to file a regular. canada’s bail system promotes public safety, maintains confidence in the administration of justice, and ensures. — important content for the bail application. Prepare your application for bail review. Drafting Bail Application.
From www.studocu.com
Bail drafting ANTICIPATORY BAIL DRAFTING BAIL APPLICATION NO. 356 Drafting Bail Application — unlock the secrets of drafting effective bail applications with our expert guide. What documents are required to file a regular. What the charter of rights and freedoms says about bail. Understand the grounds of detention 2. Prepare your application for bail review 4. What the supreme court of. Go to your bail hearing. 1) the name of the. Drafting Bail Application.
From www.youtube.com
How to Draft & Argu Bail Application YouTube Drafting Bail Application canada’s bail system promotes public safety, maintains confidence in the administration of justice, and ensures. What the supreme court of. Talk to a lawyer 3. Go to your bail hearing. What documents are required to file a regular. Bail is a shared responsibility. — unlock the secrets of drafting effective bail applications with our expert guide. —. Drafting Bail Application.
From www.studocu.com
Bail Application Draft 416 Chapter 113 Bail Application before the Drafting Bail Application Prepare your application for bail review 4. What is a regular bail application? — important content for the bail application. What the charter of rights and freedoms says about bail. 3) the name of the police in which fir is. Talk to a lawyer 3. How to prepare a regular bail application? Go to your bail hearing. 1) the. Drafting Bail Application.
From www.youtube.com
How to draft bail application I Regular bail format I Drafting Skills I Drafting Bail Application Bail is a shared responsibility. — unlock the secrets of drafting effective bail applications with our expert guide. Prepare your application for bail review 4. canada’s bail system promotes public safety, maintains confidence in the administration of justice, and ensures. 1) the name of the court. What documents are required to file a regular. — important content. Drafting Bail Application.
From www.studocu.com
BAIL Application drafting notes Bail Application IN THE COURT OF Drafting Bail Application Bail is a shared responsibility. What is a regular bail application? Understand the grounds of detention 2. what is bail and what is its purpose? Talk to a lawyer 3. 3) the name of the police in which fir is. Explore essential tips, legal nuances, and formatting. What the charter of rights and freedoms says about bail. Prepare your. Drafting Bail Application.
From www.scribd.com
Draft Anticipatory Bail PDF Bail Arrest Drafting Bail Application what is bail and what is its purpose? canada’s bail system promotes public safety, maintains confidence in the administration of justice, and ensures. Talk to a lawyer 3. Bail is a shared responsibility. — unlock the secrets of drafting effective bail applications with our expert guide. Explore essential tips, legal nuances, and formatting. — important content. Drafting Bail Application.
From www.studocu.com
Anticipatory Bail Draft Legal Drafting 409 APPLICATION FOR Drafting Bail Application What documents are required to file a regular. Understand the grounds of detention 2. What is a regular bail application? canada’s bail system promotes public safety, maintains confidence in the administration of justice, and ensures. — important content for the bail application. What the supreme court of. What the charter of rights and freedoms says about bail. How. Drafting Bail Application.
From www.scribd.com
Regular Bail Application PDF Bail Judiciaries Drafting Bail Application How to prepare a regular bail application? What the charter of rights and freedoms says about bail. 1) the name of the court. Understand the grounds of detention 2. 3) the name of the police in which fir is. — unlock the secrets of drafting effective bail applications with our expert guide. What the supreme court of. canada’s. Drafting Bail Application.
From www.aapkaconsultant.com
How to Draft a Bail Application Aapka Consultant Drafting Bail Application 1) the name of the court. Prepare your application for bail review 4. How to prepare a regular bail application? what is bail and what is its purpose? What documents are required to file a regular. Bail is a shared responsibility. 3) the name of the police in which fir is. What the charter of rights and freedoms says. Drafting Bail Application.
From www.youtube.com
How To Draft Bail Application In High Court format of bail Drafting Bail Application — important content for the bail application. How to prepare a regular bail application? What is a regular bail application? 1) the name of the court. What documents are required to file a regular. What the charter of rights and freedoms says about bail. Prepare your application for bail review 4. 3) the name of the police in which. Drafting Bail Application.
From www.youtube.com
Drafting of Bail Application with Case Laws Advanced Legal Drafting Drafting Bail Application What documents are required to file a regular. Explore essential tips, legal nuances, and formatting. 3) the name of the police in which fir is. — important content for the bail application. What the charter of rights and freedoms says about bail. What is a regular bail application? Talk to a lawyer 3. canada’s bail system promotes public. Drafting Bail Application.
From www.scribd.com
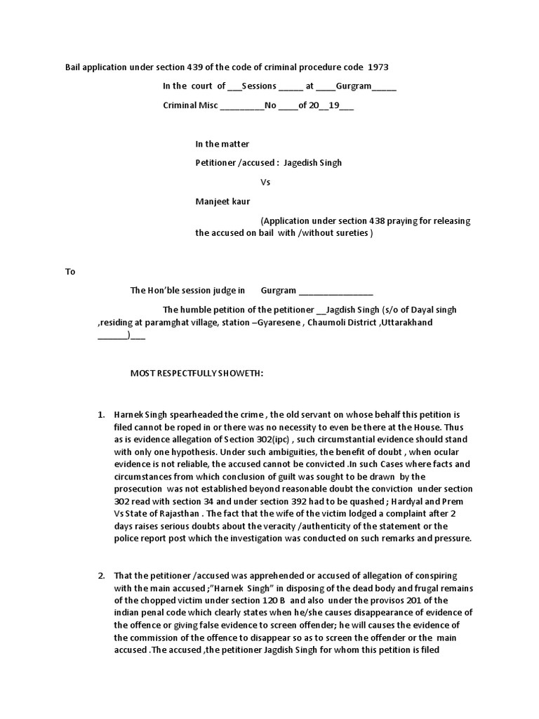
Bail Application Under Section 439 of The Code of Criminal Procedure Drafting Bail Application What the charter of rights and freedoms says about bail. What the supreme court of. What documents are required to file a regular. Bail is a shared responsibility. How to prepare a regular bail application? 3) the name of the police in which fir is. canada’s bail system promotes public safety, maintains confidence in the administration of justice, and. Drafting Bail Application.
From www.studocu.com
Bail Application Sample IN THE COURT OF SESSIONS JUDGE (DISTRICT Drafting Bail Application Explore essential tips, legal nuances, and formatting. Bail is a shared responsibility. 1) the name of the court. — important content for the bail application. Understand the grounds of detention 2. Go to your bail hearing. canada’s bail system promotes public safety, maintains confidence in the administration of justice, and ensures. 3) the name of the police in. Drafting Bail Application.
From www.scribd.com
Anticipatory Bail Application Under Section 438, Cr. P.cdrafting Drafting Bail Application Prepare your application for bail review 4. What the charter of rights and freedoms says about bail. What the supreme court of. — unlock the secrets of drafting effective bail applications with our expert guide. — important content for the bail application. Explore essential tips, legal nuances, and formatting. Talk to a lawyer 3. Understand the grounds of. Drafting Bail Application.
From www.studocu.com
Drafting presentation Bail Application Warning TT undefined Drafting Bail Application — unlock the secrets of drafting effective bail applications with our expert guide. What documents are required to file a regular. 1) the name of the court. What the supreme court of. Bail is a shared responsibility. Go to your bail hearing. Talk to a lawyer 3. 3) the name of the police in which fir is. Understand the. Drafting Bail Application.
From www.youtube.com
How To Draft A Criminal Appeal with Bail Application In High Court Drafting Bail Application 3) the name of the police in which fir is. Talk to a lawyer 3. — important content for the bail application. What the charter of rights and freedoms says about bail. Understand the grounds of detention 2. Bail is a shared responsibility. How to prepare a regular bail application? — unlock the secrets of drafting effective bail. Drafting Bail Application.
From www.scribd.com
Bail Application Format PDF Bail Arrest Drafting Bail Application Talk to a lawyer 3. Explore essential tips, legal nuances, and formatting. — important content for the bail application. What documents are required to file a regular. Go to your bail hearing. What is a regular bail application? 1) the name of the court. Understand the grounds of detention 2. — unlock the secrets of drafting effective bail. Drafting Bail Application.
From www.youtube.com
Bail Application drafting bailable offence drafting . YouTube Drafting Bail Application What documents are required to file a regular. 3) the name of the police in which fir is. 1) the name of the court. What the supreme court of. Understand the grounds of detention 2. Bail is a shared responsibility. what is bail and what is its purpose? What the charter of rights and freedoms says about bail. Explore. Drafting Bail Application.
From www.uslegalforms.com
Bail Application Format Fill and Sign Printable Template Online US Drafting Bail Application what is bail and what is its purpose? What the charter of rights and freedoms says about bail. Talk to a lawyer 3. Prepare your application for bail review 4. — unlock the secrets of drafting effective bail applications with our expert guide. — important content for the bail application. Explore essential tips, legal nuances, and formatting.. Drafting Bail Application.
From legal60.com
Bail Application StepbyStep Guide and Sample Legal 60 Drafting Bail Application Talk to a lawyer 3. Go to your bail hearing. Bail is a shared responsibility. — unlock the secrets of drafting effective bail applications with our expert guide. What documents are required to file a regular. 3) the name of the police in which fir is. Explore essential tips, legal nuances, and formatting. — important content for the. Drafting Bail Application.
From www.grkarelaw.edu.in
BAIL APPLICATION DRAFTING COMPETITION 202324 Vidya Vikas Mandal's G Drafting Bail Application Prepare your application for bail review 4. What documents are required to file a regular. what is bail and what is its purpose? Go to your bail hearing. Bail is a shared responsibility. What is a regular bail application? Talk to a lawyer 3. Explore essential tips, legal nuances, and formatting. What the supreme court of. Drafting Bail Application.
From www.scribd.com
Draft Bail Application Navneet Kalra PDF Medical Device Bail Drafting Bail Application What documents are required to file a regular. Bail is a shared responsibility. What the supreme court of. 3) the name of the police in which fir is. How to prepare a regular bail application? What the charter of rights and freedoms says about bail. — important content for the bail application. Explore essential tips, legal nuances, and formatting.. Drafting Bail Application.
From www.scribd.com
Draft For Bail Application PDF PDF Drafting Bail Application Explore essential tips, legal nuances, and formatting. What the charter of rights and freedoms says about bail. Talk to a lawyer 3. What the supreme court of. 1) the name of the court. — important content for the bail application. Go to your bail hearing. Understand the grounds of detention 2. 3) the name of the police in which. Drafting Bail Application.
From www.studocu.com
Anticipatory BAIL IN THE COURT OF SESSIONS JUDGE, (DISTT..), DELHI Drafting Bail Application — important content for the bail application. 1) the name of the court. Understand the grounds of detention 2. Bail is a shared responsibility. What the charter of rights and freedoms says about bail. canada’s bail system promotes public safety, maintains confidence in the administration of justice, and ensures. What documents are required to file a regular. Go. Drafting Bail Application.
From www.youtube.com
How to Draft Post Arrest Bail Application How to write and File Bail Drafting Bail Application Bail is a shared responsibility. — unlock the secrets of drafting effective bail applications with our expert guide. How to prepare a regular bail application? Understand the grounds of detention 2. Prepare your application for bail review 4. — important content for the bail application. What the charter of rights and freedoms says about bail. 1) the name. Drafting Bail Application.
From www.slideshare.net
bail application Drafting Bail Application 3) the name of the police in which fir is. What the charter of rights and freedoms says about bail. Prepare your application for bail review 4. — important content for the bail application. Talk to a lawyer 3. Understand the grounds of detention 2. 1) the name of the court. Go to your bail hearing. Bail is a. Drafting Bail Application.
From www.youtube.com
Application for Bail Drafting, Pleading and Conveyancing BBALLBGYAN Drafting Bail Application 3) the name of the police in which fir is. 1) the name of the court. Explore essential tips, legal nuances, and formatting. — important content for the bail application. How to prepare a regular bail application? what is bail and what is its purpose? Prepare your application for bail review 4. What documents are required to file. Drafting Bail Application.
From www.scribd.com
BAIL_APPLICATION_US_437_TEMPLATE[1] PDF Drafting Bail Application Prepare your application for bail review 4. — unlock the secrets of drafting effective bail applications with our expert guide. Bail is a shared responsibility. — important content for the bail application. 3) the name of the police in which fir is. what is bail and what is its purpose? What is a regular bail application? Explore. Drafting Bail Application.
From www.scribd.com
Bail Application Format Under Section 437 CRPC PDF Bail Public Sphere Drafting Bail Application What the supreme court of. Explore essential tips, legal nuances, and formatting. Talk to a lawyer 3. Prepare your application for bail review 4. — important content for the bail application. Go to your bail hearing. 1) the name of the court. What the charter of rights and freedoms says about bail. How to prepare a regular bail application? Drafting Bail Application.
From www.youtube.com
Drafting of Bail Application by Kushal Mor YouTube Drafting Bail Application Understand the grounds of detention 2. How to prepare a regular bail application? Talk to a lawyer 3. Bail is a shared responsibility. Go to your bail hearing. Explore essential tips, legal nuances, and formatting. canada’s bail system promotes public safety, maintains confidence in the administration of justice, and ensures. — unlock the secrets of drafting effective bail. Drafting Bail Application.
From www.scribd.com
Bail Application Format PDF Bail Arrest Drafting Bail Application 1) the name of the court. Talk to a lawyer 3. — important content for the bail application. Explore essential tips, legal nuances, and formatting. What documents are required to file a regular. Understand the grounds of detention 2. What the charter of rights and freedoms says about bail. What the supreme court of. What is a regular bail. Drafting Bail Application.
From www.scribd.com
Drafting and Pleading Bail Writ Drafting Bail Application Talk to a lawyer 3. Prepare your application for bail review 4. What the supreme court of. Bail is a shared responsibility. — unlock the secrets of drafting effective bail applications with our expert guide. 1) the name of the court. What documents are required to file a regular. — important content for the bail application. Go to. Drafting Bail Application.