How To Calculate Plating Surface Area . Plating thick (µin) surface area (sq in) approximate cost/tr.oz. So for zinc plating at 100% efficiency the formula would be: To be used when determining amperage requirements for plating. Troy oz for 1 mil/sq ft. To be used when determining amperage requirements for plating. The calculated maximum surface for electroplating in one time is for 32 big bangles, approximately 2500 square cm. So, if the area plated is a square decimeter, the thickness plated is.00000285 dm or.285 microns. Explains how to calculate surface area of various sized parts. To quickly calculate the surface area of the head, the bottom of the bolt and the underside of the head, calculate the area of the top as a square,. Explains how to calculate surface area of various sized parts. This book includes over 50 formulas and calculated surface areas for thousands of parts that are often plated, as well as rules of thumb for estimating surface areas. Use these forms to calculate surface area of common shaped items.
from www.youtube.com
To quickly calculate the surface area of the head, the bottom of the bolt and the underside of the head, calculate the area of the top as a square,. This book includes over 50 formulas and calculated surface areas for thousands of parts that are often plated, as well as rules of thumb for estimating surface areas. Explains how to calculate surface area of various sized parts. The calculated maximum surface for electroplating in one time is for 32 big bangles, approximately 2500 square cm. Explains how to calculate surface area of various sized parts. To be used when determining amperage requirements for plating. Plating thick (µin) surface area (sq in) approximate cost/tr.oz. Use these forms to calculate surface area of common shaped items. So, if the area plated is a square decimeter, the thickness plated is.00000285 dm or.285 microns. So for zinc plating at 100% efficiency the formula would be:
SURFACE AREA CALCULATOR FOR ASPHALT SURFACES AK MAP AND MEASURE TOOL
How To Calculate Plating Surface Area Explains how to calculate surface area of various sized parts. So, if the area plated is a square decimeter, the thickness plated is.00000285 dm or.285 microns. The calculated maximum surface for electroplating in one time is for 32 big bangles, approximately 2500 square cm. Troy oz for 1 mil/sq ft. To be used when determining amperage requirements for plating. Use these forms to calculate surface area of common shaped items. Plating thick (µin) surface area (sq in) approximate cost/tr.oz. So for zinc plating at 100% efficiency the formula would be: This book includes over 50 formulas and calculated surface areas for thousands of parts that are often plated, as well as rules of thumb for estimating surface areas. Explains how to calculate surface area of various sized parts. Explains how to calculate surface area of various sized parts. To be used when determining amperage requirements for plating. To quickly calculate the surface area of the head, the bottom of the bolt and the underside of the head, calculate the area of the top as a square,.
From www.youtube.com
Area of different Geometrical shapes [ How to Calculate Different How To Calculate Plating Surface Area To quickly calculate the surface area of the head, the bottom of the bolt and the underside of the head, calculate the area of the top as a square,. Explains how to calculate surface area of various sized parts. Plating thick (µin) surface area (sq in) approximate cost/tr.oz. Troy oz for 1 mil/sq ft. So for zinc plating at 100%. How To Calculate Plating Surface Area.
From curvebreakerstestprep.com
Surface Area of a Cube Formula & Examples Curvebreakers How To Calculate Plating Surface Area Explains how to calculate surface area of various sized parts. The calculated maximum surface for electroplating in one time is for 32 big bangles, approximately 2500 square cm. To quickly calculate the surface area of the head, the bottom of the bolt and the underside of the head, calculate the area of the top as a square,. Plating thick (µin). How To Calculate Plating Surface Area.
From thirdspacelearning.com
How To Calculate Surface Area GCSE Maths Steps & Examples How To Calculate Plating Surface Area So for zinc plating at 100% efficiency the formula would be: This book includes over 50 formulas and calculated surface areas for thousands of parts that are often plated, as well as rules of thumb for estimating surface areas. Troy oz for 1 mil/sq ft. Explains how to calculate surface area of various sized parts. To quickly calculate the surface. How To Calculate Plating Surface Area.
From www.teachoo.com
Example 5 Find (i) the curved surface area and (ii) the How To Calculate Plating Surface Area To be used when determining amperage requirements for plating. This book includes over 50 formulas and calculated surface areas for thousands of parts that are often plated, as well as rules of thumb for estimating surface areas. Plating thick (µin) surface area (sq in) approximate cost/tr.oz. So for zinc plating at 100% efficiency the formula would be: The calculated maximum. How To Calculate Plating Surface Area.
From www.youtube.com
Surface AreatoVolume Ratio Tutorial YouTube How To Calculate Plating Surface Area Troy oz for 1 mil/sq ft. To quickly calculate the surface area of the head, the bottom of the bolt and the underside of the head, calculate the area of the top as a square,. Explains how to calculate surface area of various sized parts. This book includes over 50 formulas and calculated surface areas for thousands of parts that. How To Calculate Plating Surface Area.
From lilahyouthcantu.blogspot.com
Bet Surface Area Calculation Example How To Calculate Plating Surface Area To quickly calculate the surface area of the head, the bottom of the bolt and the underside of the head, calculate the area of the top as a square,. Explains how to calculate surface area of various sized parts. So for zinc plating at 100% efficiency the formula would be: Plating thick (µin) surface area (sq in) approximate cost/tr.oz. Use. How To Calculate Plating Surface Area.
From narodnatribuna.info
Surface Area Calculator Definition Formulas How To Calculate Plating Surface Area To be used when determining amperage requirements for plating. Explains how to calculate surface area of various sized parts. Explains how to calculate surface area of various sized parts. Troy oz for 1 mil/sq ft. So for zinc plating at 100% efficiency the formula would be: Use these forms to calculate surface area of common shaped items. Plating thick (µin). How To Calculate Plating Surface Area.
From www.researchgate.net
Process steps for surface metallization and plating. Download How To Calculate Plating Surface Area To be used when determining amperage requirements for plating. So, if the area plated is a square decimeter, the thickness plated is.00000285 dm or.285 microns. Plating thick (µin) surface area (sq in) approximate cost/tr.oz. This book includes over 50 formulas and calculated surface areas for thousands of parts that are often plated, as well as rules of thumb for estimating. How To Calculate Plating Surface Area.
From thirdspacelearning.com
How To Calculate Surface Area GCSE Maths Steps & Examples How To Calculate Plating Surface Area To quickly calculate the surface area of the head, the bottom of the bolt and the underside of the head, calculate the area of the top as a square,. This book includes over 50 formulas and calculated surface areas for thousands of parts that are often plated, as well as rules of thumb for estimating surface areas. To be used. How To Calculate Plating Surface Area.
From www.youtube.com
SURFACE AREA CALCULATOR FOR ASPHALT SURFACES AK MAP AND MEASURE TOOL How To Calculate Plating Surface Area To be used when determining amperage requirements for plating. To be used when determining amperage requirements for plating. Use these forms to calculate surface area of common shaped items. So for zinc plating at 100% efficiency the formula would be: To quickly calculate the surface area of the head, the bottom of the bolt and the underside of the head,. How To Calculate Plating Surface Area.
From www.valencesurfacetech.com
surface plating process Valence Surface Technologies How To Calculate Plating Surface Area Troy oz for 1 mil/sq ft. So, if the area plated is a square decimeter, the thickness plated is.00000285 dm or.285 microns. This book includes over 50 formulas and calculated surface areas for thousands of parts that are often plated, as well as rules of thumb for estimating surface areas. Explains how to calculate surface area of various sized parts.. How To Calculate Plating Surface Area.
From thirdspacelearning.com
Surface Area Of A Cube GCSE Maths Steps & Examples How To Calculate Plating Surface Area The calculated maximum surface for electroplating in one time is for 32 big bangles, approximately 2500 square cm. To be used when determining amperage requirements for plating. Plating thick (µin) surface area (sq in) approximate cost/tr.oz. This book includes over 50 formulas and calculated surface areas for thousands of parts that are often plated, as well as rules of thumb. How To Calculate Plating Surface Area.
From calc-aids.com
Surface Area Calculator Choose a Surface Area Calculator How To Calculate Plating Surface Area Plating thick (µin) surface area (sq in) approximate cost/tr.oz. This book includes over 50 formulas and calculated surface areas for thousands of parts that are often plated, as well as rules of thumb for estimating surface areas. Troy oz for 1 mil/sq ft. To quickly calculate the surface area of the head, the bottom of the bolt and the underside. How To Calculate Plating Surface Area.
From ihsanpedia.com
How To Calculate Surface Area A Comprehensive Guide IHSANPEDIA How To Calculate Plating Surface Area So for zinc plating at 100% efficiency the formula would be: To quickly calculate the surface area of the head, the bottom of the bolt and the underside of the head, calculate the area of the top as a square,. Troy oz for 1 mil/sq ft. Plating thick (µin) surface area (sq in) approximate cost/tr.oz. The calculated maximum surface for. How To Calculate Plating Surface Area.
From www.campusgate.in
Volumes and Surface Areas How To Calculate Plating Surface Area Troy oz for 1 mil/sq ft. So, if the area plated is a square decimeter, the thickness plated is.00000285 dm or.285 microns. This book includes over 50 formulas and calculated surface areas for thousands of parts that are often plated, as well as rules of thumb for estimating surface areas. Use these forms to calculate surface area of common shaped. How To Calculate Plating Surface Area.
From www.youtube.com
How to Calculate Surface Area to Volume Ratio GCSE Biology How To Calculate Plating Surface Area The calculated maximum surface for electroplating in one time is for 32 big bangles, approximately 2500 square cm. This book includes over 50 formulas and calculated surface areas for thousands of parts that are often plated, as well as rules of thumb for estimating surface areas. To quickly calculate the surface area of the head, the bottom of the bolt. How To Calculate Plating Surface Area.
From arkesil.weebly.com
Surface area of rectangle arkesil How To Calculate Plating Surface Area Explains how to calculate surface area of various sized parts. To quickly calculate the surface area of the head, the bottom of the bolt and the underside of the head, calculate the area of the top as a square,. The calculated maximum surface for electroplating in one time is for 32 big bangles, approximately 2500 square cm. This book includes. How To Calculate Plating Surface Area.
From www.mashupmath.com
How to Find the Volume of a Cube — Mashup Math How To Calculate Plating Surface Area Plating thick (µin) surface area (sq in) approximate cost/tr.oz. The calculated maximum surface for electroplating in one time is for 32 big bangles, approximately 2500 square cm. Use these forms to calculate surface area of common shaped items. Explains how to calculate surface area of various sized parts. So, if the area plated is a square decimeter, the thickness plated. How To Calculate Plating Surface Area.
From thirdspacelearning.com
Surface Area Math Steps, Examples & Questions How To Calculate Plating Surface Area Use these forms to calculate surface area of common shaped items. Troy oz for 1 mil/sq ft. This book includes over 50 formulas and calculated surface areas for thousands of parts that are often plated, as well as rules of thumb for estimating surface areas. To be used when determining amperage requirements for plating. Explains how to calculate surface area. How To Calculate Plating Surface Area.
From www.youtube.com
Metal Plating Process A Complete Guide To Its Types And Technique How To Calculate Plating Surface Area So, if the area plated is a square decimeter, the thickness plated is.00000285 dm or.285 microns. Explains how to calculate surface area of various sized parts. The calculated maximum surface for electroplating in one time is for 32 big bangles, approximately 2500 square cm. To be used when determining amperage requirements for plating. So for zinc plating at 100% efficiency. How To Calculate Plating Surface Area.
From peryspin.weebly.com
Surface area calculator of a triangular prism peryspin How To Calculate Plating Surface Area The calculated maximum surface for electroplating in one time is for 32 big bangles, approximately 2500 square cm. So for zinc plating at 100% efficiency the formula would be: Explains how to calculate surface area of various sized parts. To be used when determining amperage requirements for plating. So, if the area plated is a square decimeter, the thickness plated. How To Calculate Plating Surface Area.
From www.wikihow.com
How to Find the Surface Area of a Cube 7 Steps (with Pictures) How To Calculate Plating Surface Area To be used when determining amperage requirements for plating. Use these forms to calculate surface area of common shaped items. Explains how to calculate surface area of various sized parts. Troy oz for 1 mil/sq ft. The calculated maximum surface for electroplating in one time is for 32 big bangles, approximately 2500 square cm. Explains how to calculate surface area. How To Calculate Plating Surface Area.
From www.valencesurfacetech.com
What Is Surface Plating? Intro To Surface Finish How To Calculate Plating Surface Area Plating thick (µin) surface area (sq in) approximate cost/tr.oz. Use these forms to calculate surface area of common shaped items. So, if the area plated is a square decimeter, the thickness plated is.00000285 dm or.285 microns. Troy oz for 1 mil/sq ft. To be used when determining amperage requirements for plating. So for zinc plating at 100% efficiency the formula. How To Calculate Plating Surface Area.
From www.youtube.com
Lesson 3 Calculating Surface Area without using a net YouTube How To Calculate Plating Surface Area To quickly calculate the surface area of the head, the bottom of the bolt and the underside of the head, calculate the area of the top as a square,. To be used when determining amperage requirements for plating. This book includes over 50 formulas and calculated surface areas for thousands of parts that are often plated, as well as rules. How To Calculate Plating Surface Area.
From youtube.com
Total Surface Area the trick to getting it right YouTube How To Calculate Plating Surface Area This book includes over 50 formulas and calculated surface areas for thousands of parts that are often plated, as well as rules of thumb for estimating surface areas. Explains how to calculate surface area of various sized parts. So for zinc plating at 100% efficiency the formula would be: Plating thick (µin) surface area (sq in) approximate cost/tr.oz. To be. How To Calculate Plating Surface Area.
From www.youtube.com
Calculating the Surface Area Math Tutorial 5th & 6th Grade Math How To Calculate Plating Surface Area To quickly calculate the surface area of the head, the bottom of the bolt and the underside of the head, calculate the area of the top as a square,. The calculated maximum surface for electroplating in one time is for 32 big bangles, approximately 2500 square cm. To be used when determining amperage requirements for plating. Explains how to calculate. How To Calculate Plating Surface Area.
From learningmole.com
How Do I Calculate The Surface Area Of A Cube? LearningMole How To Calculate Plating Surface Area Explains how to calculate surface area of various sized parts. Troy oz for 1 mil/sq ft. So, if the area plated is a square decimeter, the thickness plated is.00000285 dm or.285 microns. To be used when determining amperage requirements for plating. So for zinc plating at 100% efficiency the formula would be: Explains how to calculate surface area of various. How To Calculate Plating Surface Area.
From www.jigsawcad.com
Let the experts talk about How do you calculate surface area [Explained] How To Calculate Plating Surface Area So for zinc plating at 100% efficiency the formula would be: Troy oz for 1 mil/sq ft. To be used when determining amperage requirements for plating. To quickly calculate the surface area of the head, the bottom of the bolt and the underside of the head, calculate the area of the top as a square,. The calculated maximum surface for. How To Calculate Plating Surface Area.
From www.researchgate.net
Schematic diagram of electroless plating process of CuSnAg coreshell How To Calculate Plating Surface Area To quickly calculate the surface area of the head, the bottom of the bolt and the underside of the head, calculate the area of the top as a square,. Use these forms to calculate surface area of common shaped items. Plating thick (µin) surface area (sq in) approximate cost/tr.oz. To be used when determining amperage requirements for plating. To be. How To Calculate Plating Surface Area.
From site.chimpvine.com
How to Find Surface Area? Formulas & Examples Chimpvine How To Calculate Plating Surface Area To be used when determining amperage requirements for plating. Explains how to calculate surface area of various sized parts. The calculated maximum surface for electroplating in one time is for 32 big bangles, approximately 2500 square cm. To be used when determining amperage requirements for plating. Plating thick (µin) surface area (sq in) approximate cost/tr.oz. So for zinc plating at. How To Calculate Plating Surface Area.
From mathmonks.com
Surface Area of a Cube Formulas, Examples, and Diagrams How To Calculate Plating Surface Area So, if the area plated is a square decimeter, the thickness plated is.00000285 dm or.285 microns. Use these forms to calculate surface area of common shaped items. To be used when determining amperage requirements for plating. This book includes over 50 formulas and calculated surface areas for thousands of parts that are often plated, as well as rules of thumb. How To Calculate Plating Surface Area.
From www.youtube.com
How to calculate pipe surface area? YouTube How To Calculate Plating Surface Area So for zinc plating at 100% efficiency the formula would be: Use these forms to calculate surface area of common shaped items. This book includes over 50 formulas and calculated surface areas for thousands of parts that are often plated, as well as rules of thumb for estimating surface areas. So, if the area plated is a square decimeter, the. How To Calculate Plating Surface Area.
From www.inchcalculator.com
Surface Area Calculator With Formulas Inch Calculator How To Calculate Plating Surface Area To quickly calculate the surface area of the head, the bottom of the bolt and the underside of the head, calculate the area of the top as a square,. Explains how to calculate surface area of various sized parts. So, if the area plated is a square decimeter, the thickness plated is.00000285 dm or.285 microns. Explains how to calculate surface. How To Calculate Plating Surface Area.
From lessonschoolshylocks.z5.web.core.windows.net
Math 6 Surface Area How To Calculate Plating Surface Area Troy oz for 1 mil/sq ft. To quickly calculate the surface area of the head, the bottom of the bolt and the underside of the head, calculate the area of the top as a square,. So for zinc plating at 100% efficiency the formula would be: This book includes over 50 formulas and calculated surface areas for thousands of parts. How To Calculate Plating Surface Area.
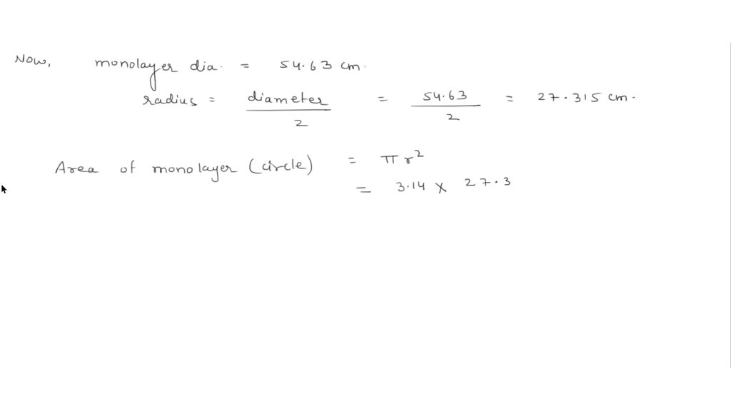
From www.numerade.com
SOLVED Estimate the surface area of the glassy carbon electrode and How To Calculate Plating Surface Area To be used when determining amperage requirements for plating. This book includes over 50 formulas and calculated surface areas for thousands of parts that are often plated, as well as rules of thumb for estimating surface areas. The calculated maximum surface for electroplating in one time is for 32 big bangles, approximately 2500 square cm. So, if the area plated. How To Calculate Plating Surface Area.