Uniform Beam Definition . The moment in a beam with uniform load supported at both ends in position x can be expressed as. In this article, we’ll show, the most important and easiest deflection formulas for beams due to different loading scenarios like udl line loads, point loads and external. The loads may be point loads or uniformly distributed loads (udl). The deflection of a beam is calculated based on a variety of factors, including materials, the moment of inertia of a section, the force applied, and the distance from support. A beam is a structure, which is loaded transversely (sideways). Simply select the picture which most resembles the beam configuration and loading condition you.
from www.chegg.com
The loads may be point loads or uniformly distributed loads (udl). The deflection of a beam is calculated based on a variety of factors, including materials, the moment of inertia of a section, the force applied, and the distance from support. A beam is a structure, which is loaded transversely (sideways). The moment in a beam with uniform load supported at both ends in position x can be expressed as. Simply select the picture which most resembles the beam configuration and loading condition you. In this article, we’ll show, the most important and easiest deflection formulas for beams due to different loading scenarios like udl line loads, point loads and external.
Solved For the uniform beam shown, determine Part 1 out of 3
Uniform Beam Definition The loads may be point loads or uniformly distributed loads (udl). The moment in a beam with uniform load supported at both ends in position x can be expressed as. The deflection of a beam is calculated based on a variety of factors, including materials, the moment of inertia of a section, the force applied, and the distance from support. Simply select the picture which most resembles the beam configuration and loading condition you. In this article, we’ll show, the most important and easiest deflection formulas for beams due to different loading scenarios like udl line loads, point loads and external. A beam is a structure, which is loaded transversely (sideways). The loads may be point loads or uniformly distributed loads (udl).
From www.chegg.com
Solved A uniform beam of length L carries a concentrated Uniform Beam Definition The moment in a beam with uniform load supported at both ends in position x can be expressed as. The loads may be point loads or uniformly distributed loads (udl). The deflection of a beam is calculated based on a variety of factors, including materials, the moment of inertia of a section, the force applied, and the distance from support.. Uniform Beam Definition.
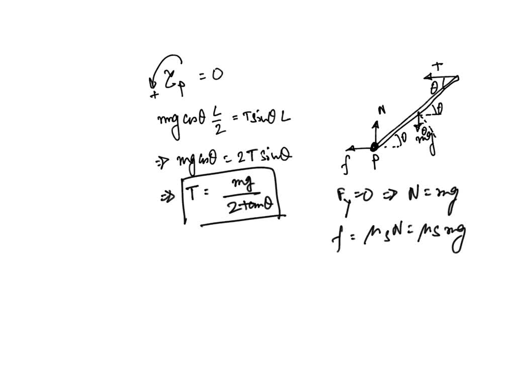
From www.cannondigi.com
Beam Of Uniform Strength Meaning The Best Picture Of Beam Uniform Beam Definition The loads may be point loads or uniformly distributed loads (udl). The deflection of a beam is calculated based on a variety of factors, including materials, the moment of inertia of a section, the force applied, and the distance from support. Simply select the picture which most resembles the beam configuration and loading condition you. The moment in a beam. Uniform Beam Definition.
From www.numerade.com
SOLVED 4. For the uniform beam shown in Fig. 4a, determine the Uniform Beam Definition Simply select the picture which most resembles the beam configuration and loading condition you. The moment in a beam with uniform load supported at both ends in position x can be expressed as. A beam is a structure, which is loaded transversely (sideways). The deflection of a beam is calculated based on a variety of factors, including materials, the moment. Uniform Beam Definition.
From www.solutionspile.com
[Solved] PROBLEM 1 The figure below shows a uniform beam s Uniform Beam Definition In this article, we’ll show, the most important and easiest deflection formulas for beams due to different loading scenarios like udl line loads, point loads and external. The loads may be point loads or uniformly distributed loads (udl). Simply select the picture which most resembles the beam configuration and loading condition you. The moment in a beam with uniform load. Uniform Beam Definition.
From www.cannondigi.com
The Uniform Beam Is Supported By Two Rods The Best Picture Of Beam Uniform Beam Definition In this article, we’ll show, the most important and easiest deflection formulas for beams due to different loading scenarios like udl line loads, point loads and external. The deflection of a beam is calculated based on a variety of factors, including materials, the moment of inertia of a section, the force applied, and the distance from support. The loads may. Uniform Beam Definition.
From www.numerade.com
A uniform beam of length L and mass m shown in Figure PI2.16 is Uniform Beam Definition The loads may be point loads or uniformly distributed loads (udl). The deflection of a beam is calculated based on a variety of factors, including materials, the moment of inertia of a section, the force applied, and the distance from support. Simply select the picture which most resembles the beam configuration and loading condition you. In this article, we’ll show,. Uniform Beam Definition.
From www.chegg.com
Solved A uniform beam is subject to a linearly increasing Uniform Beam Definition The loads may be point loads or uniformly distributed loads (udl). Simply select the picture which most resembles the beam configuration and loading condition you. The moment in a beam with uniform load supported at both ends in position x can be expressed as. A beam is a structure, which is loaded transversely (sideways). In this article, we’ll show, the. Uniform Beam Definition.
From www.chegg.com
Solved 1 and 9.82 For the uniform beam shown, determine the Uniform Beam Definition The deflection of a beam is calculated based on a variety of factors, including materials, the moment of inertia of a section, the force applied, and the distance from support. A beam is a structure, which is loaded transversely (sideways). The moment in a beam with uniform load supported at both ends in position x can be expressed as. In. Uniform Beam Definition.
From solvedlib.com
Uniform beam of mass m is at equilibrium_ as shown in… SolvedLib Uniform Beam Definition In this article, we’ll show, the most important and easiest deflection formulas for beams due to different loading scenarios like udl line loads, point loads and external. Simply select the picture which most resembles the beam configuration and loading condition you. The deflection of a beam is calculated based on a variety of factors, including materials, the moment of inertia. Uniform Beam Definition.
From www.researchgate.net
Uniform beam with uniformly distributed load and end shear forces and Uniform Beam Definition In this article, we’ll show, the most important and easiest deflection formulas for beams due to different loading scenarios like udl line loads, point loads and external. A beam is a structure, which is loaded transversely (sideways). The deflection of a beam is calculated based on a variety of factors, including materials, the moment of inertia of a section, the. Uniform Beam Definition.
From www.chegg.com
Solved 4 A Uniform Beam Of Length L = 5.5m And Mass M = Uniform Beam Definition A beam is a structure, which is loaded transversely (sideways). The loads may be point loads or uniformly distributed loads (udl). In this article, we’ll show, the most important and easiest deflection formulas for beams due to different loading scenarios like udl line loads, point loads and external. Simply select the picture which most resembles the beam configuration and loading. Uniform Beam Definition.
From www.youtube.com
The uniform beam is supported by two rods AB and CD that have cross Uniform Beam Definition A beam is a structure, which is loaded transversely (sideways). The moment in a beam with uniform load supported at both ends in position x can be expressed as. The loads may be point loads or uniformly distributed loads (udl). In this article, we’ll show, the most important and easiest deflection formulas for beams due to different loading scenarios like. Uniform Beam Definition.
From www.slideserve.com
PPT Beams PowerPoint Presentation, free download ID210023 Uniform Beam Definition A beam is a structure, which is loaded transversely (sideways). Simply select the picture which most resembles the beam configuration and loading condition you. The loads may be point loads or uniformly distributed loads (udl). The moment in a beam with uniform load supported at both ends in position x can be expressed as. In this article, we’ll show, the. Uniform Beam Definition.
From www.chegg.com
Solved For the uniform beam shown, determine (a) the Uniform Beam Definition The loads may be point loads or uniformly distributed loads (udl). The moment in a beam with uniform load supported at both ends in position x can be expressed as. Simply select the picture which most resembles the beam configuration and loading condition you. The deflection of a beam is calculated based on a variety of factors, including materials, the. Uniform Beam Definition.
From www.numerade.com
SOLVEDA 5meterlong uniform beam is simply supported at both ends and Uniform Beam Definition The loads may be point loads or uniformly distributed loads (udl). The deflection of a beam is calculated based on a variety of factors, including materials, the moment of inertia of a section, the force applied, and the distance from support. Simply select the picture which most resembles the beam configuration and loading condition you. In this article, we’ll show,. Uniform Beam Definition.
From www.studypool.com
SOLUTION Beam deflection formulas frequencies and eigenfunctions for Uniform Beam Definition Simply select the picture which most resembles the beam configuration and loading condition you. A beam is a structure, which is loaded transversely (sideways). The moment in a beam with uniform load supported at both ends in position x can be expressed as. The loads may be point loads or uniformly distributed loads (udl). The deflection of a beam is. Uniform Beam Definition.
From www.chegg.com
Solved 3. For the uniform beam shown, determine the reaction Uniform Beam Definition In this article, we’ll show, the most important and easiest deflection formulas for beams due to different loading scenarios like udl line loads, point loads and external. Simply select the picture which most resembles the beam configuration and loading condition you. The moment in a beam with uniform load supported at both ends in position x can be expressed as.. Uniform Beam Definition.
From www.enhancestyleteam.com
Deflection Of Beam Uniformly Distributed Load New Images Beam Uniform Beam Definition In this article, we’ll show, the most important and easiest deflection formulas for beams due to different loading scenarios like udl line loads, point loads and external. Simply select the picture which most resembles the beam configuration and loading condition you. The loads may be point loads or uniformly distributed loads (udl). The deflection of a beam is calculated based. Uniform Beam Definition.
From www.coursehero.com
[Solved] . The uniform beam is supported by a pin at point A and a Uniform Beam Definition The loads may be point loads or uniformly distributed loads (udl). The moment in a beam with uniform load supported at both ends in position x can be expressed as. A beam is a structure, which is loaded transversely (sideways). The deflection of a beam is calculated based on a variety of factors, including materials, the moment of inertia of. Uniform Beam Definition.
From www.slideserve.com
PPT Beam Formula PowerPoint Presentation, free download ID6128602 Uniform Beam Definition In this article, we’ll show, the most important and easiest deflection formulas for beams due to different loading scenarios like udl line loads, point loads and external. A beam is a structure, which is loaded transversely (sideways). The moment in a beam with uniform load supported at both ends in position x can be expressed as. Simply select the picture. Uniform Beam Definition.
From www.chegg.com
Solved For the uniform beam shown, determine the reaction at Uniform Beam Definition The moment in a beam with uniform load supported at both ends in position x can be expressed as. The loads may be point loads or uniformly distributed loads (udl). The deflection of a beam is calculated based on a variety of factors, including materials, the moment of inertia of a section, the force applied, and the distance from support.. Uniform Beam Definition.
From www.cannondigi.com
A Uniform Beam Of Length The Best Picture Of Beam Uniform Beam Definition In this article, we’ll show, the most important and easiest deflection formulas for beams due to different loading scenarios like udl line loads, point loads and external. The moment in a beam with uniform load supported at both ends in position x can be expressed as. The deflection of a beam is calculated based on a variety of factors, including. Uniform Beam Definition.
From www.cannondigi.com
Deflection Of Simply Supported Beam With Uniform Load The Best Uniform Beam Definition Simply select the picture which most resembles the beam configuration and loading condition you. In this article, we’ll show, the most important and easiest deflection formulas for beams due to different loading scenarios like udl line loads, point loads and external. The deflection of a beam is calculated based on a variety of factors, including materials, the moment of inertia. Uniform Beam Definition.
From www.numerade.com
SOLVED Case I Uniform beam under distributed load In the shown Uniform Beam Definition In this article, we’ll show, the most important and easiest deflection formulas for beams due to different loading scenarios like udl line loads, point loads and external. A beam is a structure, which is loaded transversely (sideways). The deflection of a beam is calculated based on a variety of factors, including materials, the moment of inertia of a section, the. Uniform Beam Definition.
From www.numerade.com
SOLVED The uniform beam shown in the figure weighs 500 lbs and Uniform Beam Definition In this article, we’ll show, the most important and easiest deflection formulas for beams due to different loading scenarios like udl line loads, point loads and external. Simply select the picture which most resembles the beam configuration and loading condition you. The moment in a beam with uniform load supported at both ends in position x can be expressed as.. Uniform Beam Definition.
From www.chegg.com
Solved For the uniform beam shown, determine Part 1 out of 3 Uniform Beam Definition The deflection of a beam is calculated based on a variety of factors, including materials, the moment of inertia of a section, the force applied, and the distance from support. A beam is a structure, which is loaded transversely (sideways). The loads may be point loads or uniformly distributed loads (udl). Simply select the picture which most resembles the beam. Uniform Beam Definition.
From civiltutorials.com
What is beam Types of beams Application, Definition of beam Uniform Beam Definition A beam is a structure, which is loaded transversely (sideways). The deflection of a beam is calculated based on a variety of factors, including materials, the moment of inertia of a section, the force applied, and the distance from support. The loads may be point loads or uniformly distributed loads (udl). Simply select the picture which most resembles the beam. Uniform Beam Definition.
From www.numerade.com
SOLVED A uniform beam of length L and mass m shown in the figure below Uniform Beam Definition In this article, we’ll show, the most important and easiest deflection formulas for beams due to different loading scenarios like udl line loads, point loads and external. The moment in a beam with uniform load supported at both ends in position x can be expressed as. A beam is a structure, which is loaded transversely (sideways). The deflection of a. Uniform Beam Definition.
From www.slideserve.com
PPT Introduction to Beam Theory PowerPoint Presentation, free Uniform Beam Definition The moment in a beam with uniform load supported at both ends in position x can be expressed as. The loads may be point loads or uniformly distributed loads (udl). A beam is a structure, which is loaded transversely (sideways). In this article, we’ll show, the most important and easiest deflection formulas for beams due to different loading scenarios like. Uniform Beam Definition.
From www.chegg.com
Figure a below shows a uniform beam subject to a Uniform Beam Definition Simply select the picture which most resembles the beam configuration and loading condition you. A beam is a structure, which is loaded transversely (sideways). The deflection of a beam is calculated based on a variety of factors, including materials, the moment of inertia of a section, the force applied, and the distance from support. In this article, we’ll show, the. Uniform Beam Definition.
From www.hpdconsult.com
Types of Beams 17 Different types of Beams in Construction Uniform Beam Definition Simply select the picture which most resembles the beam configuration and loading condition you. In this article, we’ll show, the most important and easiest deflection formulas for beams due to different loading scenarios like udl line loads, point loads and external. A beam is a structure, which is loaded transversely (sideways). The deflection of a beam is calculated based on. Uniform Beam Definition.
From www.toppr.com
The diagram shows a uniform beam PQ . The length of the beam is 3.0 m Uniform Beam Definition The loads may be point loads or uniformly distributed loads (udl). Simply select the picture which most resembles the beam configuration and loading condition you. In this article, we’ll show, the most important and easiest deflection formulas for beams due to different loading scenarios like udl line loads, point loads and external. The deflection of a beam is calculated based. Uniform Beam Definition.
From www.chegg.com
Solved Example 621 The beam is subjected to the uniform Uniform Beam Definition The moment in a beam with uniform load supported at both ends in position x can be expressed as. A beam is a structure, which is loaded transversely (sideways). The loads may be point loads or uniformly distributed loads (udl). The deflection of a beam is calculated based on a variety of factors, including materials, the moment of inertia of. Uniform Beam Definition.
From www.youtube.com
Beam of Uniform Strength YouTube Uniform Beam Definition A beam is a structure, which is loaded transversely (sideways). Simply select the picture which most resembles the beam configuration and loading condition you. The moment in a beam with uniform load supported at both ends in position x can be expressed as. The deflection of a beam is calculated based on a variety of factors, including materials, the moment. Uniform Beam Definition.
From shannonardn1965.blogspot.com
3 Span Continuous Beam 3 Unequal Spans Uniform Load Shannon Ardn1965 Uniform Beam Definition The moment in a beam with uniform load supported at both ends in position x can be expressed as. In this article, we’ll show, the most important and easiest deflection formulas for beams due to different loading scenarios like udl line loads, point loads and external. Simply select the picture which most resembles the beam configuration and loading condition you.. Uniform Beam Definition.