What Is A Residential Property Condition Disclosure Statement . (the “property condition disclosure act”) will make two key changes to the law in new york. The pcds is a disclosure document a seller is required by law to complete and. The property condition disclosure act will take effect on march 1, 2002 and will require a seller of covered residential real property who enters. Property disclosure statements essentially outline any flaws that the home sellers (and their real estate agents) are aware of that could negatively affect the home’s. Regarding the property condition disclosure. As the seller of residential real property, owner must complete and sign a property condition disclosure statement (pcds) as required by. What is a property condition disclosure statement? Of the code of virginia) governs the information owners must. Except as is provided in § 463 (exemptions), every seller of residential real property pursuant to a real estate purchase.
from www.templateroller.com
The property condition disclosure act will take effect on march 1, 2002 and will require a seller of covered residential real property who enters. As the seller of residential real property, owner must complete and sign a property condition disclosure statement (pcds) as required by. Except as is provided in § 463 (exemptions), every seller of residential real property pursuant to a real estate purchase. The pcds is a disclosure document a seller is required by law to complete and. (the “property condition disclosure act”) will make two key changes to the law in new york. Regarding the property condition disclosure. Property disclosure statements essentially outline any flaws that the home sellers (and their real estate agents) are aware of that could negatively affect the home’s. What is a property condition disclosure statement? Of the code of virginia) governs the information owners must.
Oklahoma Residential Property Condition Disclosure Statement Fill Out
What Is A Residential Property Condition Disclosure Statement As the seller of residential real property, owner must complete and sign a property condition disclosure statement (pcds) as required by. As the seller of residential real property, owner must complete and sign a property condition disclosure statement (pcds) as required by. Of the code of virginia) governs the information owners must. The pcds is a disclosure document a seller is required by law to complete and. (the “property condition disclosure act”) will make two key changes to the law in new york. Property disclosure statements essentially outline any flaws that the home sellers (and their real estate agents) are aware of that could negatively affect the home’s. Except as is provided in § 463 (exemptions), every seller of residential real property pursuant to a real estate purchase. What is a property condition disclosure statement? Regarding the property condition disclosure. The property condition disclosure act will take effect on march 1, 2002 and will require a seller of covered residential real property who enters.
From www.uslegalforms.com
MS REC Property Condition Disclosure Statement (PCDS) Fill and Sign What Is A Residential Property Condition Disclosure Statement As the seller of residential real property, owner must complete and sign a property condition disclosure statement (pcds) as required by. Except as is provided in § 463 (exemptions), every seller of residential real property pursuant to a real estate purchase. (the “property condition disclosure act”) will make two key changes to the law in new york. Property disclosure statements. What Is A Residential Property Condition Disclosure Statement.
From esign.com
Free Property Disclosure Statement PDF Word What Is A Residential Property Condition Disclosure Statement (the “property condition disclosure act”) will make two key changes to the law in new york. Regarding the property condition disclosure. Of the code of virginia) governs the information owners must. The pcds is a disclosure document a seller is required by law to complete and. As the seller of residential real property, owner must complete and sign a property. What Is A Residential Property Condition Disclosure Statement.
From esign.com
Free New Jersey Property Disclosure Statement PDF Word What Is A Residential Property Condition Disclosure Statement (the “property condition disclosure act”) will make two key changes to the law in new york. What is a property condition disclosure statement? Except as is provided in § 463 (exemptions), every seller of residential real property pursuant to a real estate purchase. As the seller of residential real property, owner must complete and sign a property condition disclosure statement. What Is A Residential Property Condition Disclosure Statement.
From www.sampleforms.com
FREE 10+ Sample Disclosure Statement Forms in MS Word PDF What Is A Residential Property Condition Disclosure Statement As the seller of residential real property, owner must complete and sign a property condition disclosure statement (pcds) as required by. Regarding the property condition disclosure. Except as is provided in § 463 (exemptions), every seller of residential real property pursuant to a real estate purchase. What is a property condition disclosure statement? Of the code of virginia) governs the. What Is A Residential Property Condition Disclosure Statement.
From www.uslegalforms.com
Tennessee Residential Real Estate Sales Disclosure Statement What Is A Residential Property Condition Disclosure Statement The pcds is a disclosure document a seller is required by law to complete and. The property condition disclosure act will take effect on march 1, 2002 and will require a seller of covered residential real property who enters. (the “property condition disclosure act”) will make two key changes to the law in new york. What is a property condition. What Is A Residential Property Condition Disclosure Statement.
From www.sampleforms.com
FREE 10+ Sample Disclosure Statement Forms in MS Word PDF What Is A Residential Property Condition Disclosure Statement Regarding the property condition disclosure. Except as is provided in § 463 (exemptions), every seller of residential real property pursuant to a real estate purchase. (the “property condition disclosure act”) will make two key changes to the law in new york. The property condition disclosure act will take effect on march 1, 2002 and will require a seller of covered. What Is A Residential Property Condition Disclosure Statement.
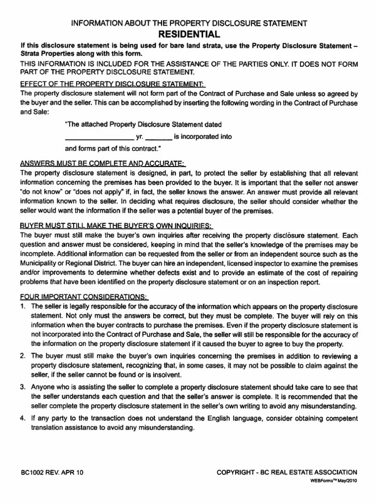
From www.scribd.com
British Columbia Property Conditional Disclosure Statement Residential What Is A Residential Property Condition Disclosure Statement What is a property condition disclosure statement? As the seller of residential real property, owner must complete and sign a property condition disclosure statement (pcds) as required by. Regarding the property condition disclosure. Of the code of virginia) governs the information owners must. The pcds is a disclosure document a seller is required by law to complete and. Except as. What Is A Residential Property Condition Disclosure Statement.
From esign.com
Free Virginia Property Disclosure Statement PDF Word What Is A Residential Property Condition Disclosure Statement What is a property condition disclosure statement? The property condition disclosure act will take effect on march 1, 2002 and will require a seller of covered residential real property who enters. Except as is provided in § 463 (exemptions), every seller of residential real property pursuant to a real estate purchase. Property disclosure statements essentially outline any flaws that the. What Is A Residential Property Condition Disclosure Statement.
From www.templateroller.com
South Carolina Residential Property Condition Disclosure Statement What Is A Residential Property Condition Disclosure Statement Except as is provided in § 463 (exemptions), every seller of residential real property pursuant to a real estate purchase. The pcds is a disclosure document a seller is required by law to complete and. (the “property condition disclosure act”) will make two key changes to the law in new york. As the seller of residential real property, owner must. What Is A Residential Property Condition Disclosure Statement.
From esign.com
Free Kansas Property Disclosure Statement PDF What Is A Residential Property Condition Disclosure Statement (the “property condition disclosure act”) will make two key changes to the law in new york. Except as is provided in § 463 (exemptions), every seller of residential real property pursuant to a real estate purchase. Regarding the property condition disclosure. Of the code of virginia) governs the information owners must. As the seller of residential real property, owner must. What Is A Residential Property Condition Disclosure Statement.
From www.templateroller.com
Connecticut Residential Property Condition Disclosure Report Fill Out What Is A Residential Property Condition Disclosure Statement Regarding the property condition disclosure. (the “property condition disclosure act”) will make two key changes to the law in new york. The pcds is a disclosure document a seller is required by law to complete and. Except as is provided in § 463 (exemptions), every seller of residential real property pursuant to a real estate purchase. As the seller of. What Is A Residential Property Condition Disclosure Statement.
From www.signnow.com
Seller's Disclosure of Real Property Condition Report Form Fill Out What Is A Residential Property Condition Disclosure Statement Of the code of virginia) governs the information owners must. The pcds is a disclosure document a seller is required by law to complete and. What is a property condition disclosure statement? Regarding the property condition disclosure. Property disclosure statements essentially outline any flaws that the home sellers (and their real estate agents) are aware of that could negatively affect. What Is A Residential Property Condition Disclosure Statement.
From klatvxwcl.blob.core.windows.net
Missouri Seller S Disclosure Statement For Residential Property at Anna What Is A Residential Property Condition Disclosure Statement The property condition disclosure act will take effect on march 1, 2002 and will require a seller of covered residential real property who enters. As the seller of residential real property, owner must complete and sign a property condition disclosure statement (pcds) as required by. Of the code of virginia) governs the information owners must. What is a property condition. What Is A Residential Property Condition Disclosure Statement.
From www.formsbank.com
Property Condition Disclosure Statement printable pdf download What Is A Residential Property Condition Disclosure Statement (the “property condition disclosure act”) will make two key changes to the law in new york. Property disclosure statements essentially outline any flaws that the home sellers (and their real estate agents) are aware of that could negatively affect the home’s. The property condition disclosure act will take effect on march 1, 2002 and will require a seller of covered. What Is A Residential Property Condition Disclosure Statement.
From studylib.net
S.C. Residential Property Condition Disclosure Statement What Is A Residential Property Condition Disclosure Statement Regarding the property condition disclosure. Of the code of virginia) governs the information owners must. Except as is provided in § 463 (exemptions), every seller of residential real property pursuant to a real estate purchase. Property disclosure statements essentially outline any flaws that the home sellers (and their real estate agents) are aware of that could negatively affect the home’s.. What Is A Residential Property Condition Disclosure Statement.
From www.templateroller.com
South Carolina Residential Property Condition Disclosure Statement What Is A Residential Property Condition Disclosure Statement Of the code of virginia) governs the information owners must. Except as is provided in § 463 (exemptions), every seller of residential real property pursuant to a real estate purchase. The pcds is a disclosure document a seller is required by law to complete and. Property disclosure statements essentially outline any flaws that the home sellers (and their real estate. What Is A Residential Property Condition Disclosure Statement.
From www.templateroller.com
South Carolina Residential Property Condition Disclosure Statement What Is A Residential Property Condition Disclosure Statement Property disclosure statements essentially outline any flaws that the home sellers (and their real estate agents) are aware of that could negatively affect the home’s. Of the code of virginia) governs the information owners must. As the seller of residential real property, owner must complete and sign a property condition disclosure statement (pcds) as required by. (the “property condition disclosure. What Is A Residential Property Condition Disclosure Statement.
From www.formsbirds.com
Property Condition Disclosure Statement New York Free Download What Is A Residential Property Condition Disclosure Statement Regarding the property condition disclosure. What is a property condition disclosure statement? The property condition disclosure act will take effect on march 1, 2002 and will require a seller of covered residential real property who enters. Except as is provided in § 463 (exemptions), every seller of residential real property pursuant to a real estate purchase. Property disclosure statements essentially. What Is A Residential Property Condition Disclosure Statement.
From www.formsbirds.com
Disclosure Statement Form 12 Free Templates in PDF, Word, Excel Download What Is A Residential Property Condition Disclosure Statement What is a property condition disclosure statement? Except as is provided in § 463 (exemptions), every seller of residential real property pursuant to a real estate purchase. Regarding the property condition disclosure. Property disclosure statements essentially outline any flaws that the home sellers (and their real estate agents) are aware of that could negatively affect the home’s. The pcds is. What Is A Residential Property Condition Disclosure Statement.
From www.uslegalforms.com
AL Seller's Property Condition Disclosure Statement Fill and Sign What Is A Residential Property Condition Disclosure Statement Regarding the property condition disclosure. (the “property condition disclosure act”) will make two key changes to the law in new york. The property condition disclosure act will take effect on march 1, 2002 and will require a seller of covered residential real property who enters. What is a property condition disclosure statement? As the seller of residential real property, owner. What Is A Residential Property Condition Disclosure Statement.
From www.templateroller.com
Oklahoma Residential Property Condition Disclosure Statement Fill Out What Is A Residential Property Condition Disclosure Statement What is a property condition disclosure statement? (the “property condition disclosure act”) will make two key changes to the law in new york. Except as is provided in § 463 (exemptions), every seller of residential real property pursuant to a real estate purchase. As the seller of residential real property, owner must complete and sign a property condition disclosure statement. What Is A Residential Property Condition Disclosure Statement.
From www.formsbirds.com
Residential Property Disclosure Form Ohio Free Download What Is A Residential Property Condition Disclosure Statement (the “property condition disclosure act”) will make two key changes to the law in new york. Except as is provided in § 463 (exemptions), every seller of residential real property pursuant to a real estate purchase. What is a property condition disclosure statement? The pcds is a disclosure document a seller is required by law to complete and. Regarding the. What Is A Residential Property Condition Disclosure Statement.
From www.sampleforms.com
FREE 10+ Sample Disclosure Statement Forms in MS Word PDF What Is A Residential Property Condition Disclosure Statement (the “property condition disclosure act”) will make two key changes to the law in new york. Regarding the property condition disclosure. The property condition disclosure act will take effect on march 1, 2002 and will require a seller of covered residential real property who enters. Except as is provided in § 463 (exemptions), every seller of residential real property pursuant. What Is A Residential Property Condition Disclosure Statement.
From www.pdffiller.com
Property Condition Disclosure Statement Fill Online, Printable What Is A Residential Property Condition Disclosure Statement The property condition disclosure act will take effect on march 1, 2002 and will require a seller of covered residential real property who enters. The pcds is a disclosure document a seller is required by law to complete and. (the “property condition disclosure act”) will make two key changes to the law in new york. As the seller of residential. What Is A Residential Property Condition Disclosure Statement.
From www.templateroller.com
Nebraska Seller Property Condition Disclosure Statement Residential What Is A Residential Property Condition Disclosure Statement The property condition disclosure act will take effect on march 1, 2002 and will require a seller of covered residential real property who enters. Property disclosure statements essentially outline any flaws that the home sellers (and their real estate agents) are aware of that could negatively affect the home’s. As the seller of residential real property, owner must complete and. What Is A Residential Property Condition Disclosure Statement.
From freeforms.com
Free Property Disclosure Statement PDF WORD What Is A Residential Property Condition Disclosure Statement What is a property condition disclosure statement? The property condition disclosure act will take effect on march 1, 2002 and will require a seller of covered residential real property who enters. Property disclosure statements essentially outline any flaws that the home sellers (and their real estate agents) are aware of that could negatively affect the home’s. As the seller of. What Is A Residential Property Condition Disclosure Statement.
From www.houzeo.com
Virginia Real Estate Disclosures A Guide To Ace Your Disclosure Process What Is A Residential Property Condition Disclosure Statement Of the code of virginia) governs the information owners must. (the “property condition disclosure act”) will make two key changes to the law in new york. The property condition disclosure act will take effect on march 1, 2002 and will require a seller of covered residential real property who enters. As the seller of residential real property, owner must complete. What Is A Residential Property Condition Disclosure Statement.
From www.uslegalforms.com
Dpor Residential Property Disclosure Fill and Sign Printable Template What Is A Residential Property Condition Disclosure Statement The property condition disclosure act will take effect on march 1, 2002 and will require a seller of covered residential real property who enters. The pcds is a disclosure document a seller is required by law to complete and. Except as is provided in § 463 (exemptions), every seller of residential real property pursuant to a real estate purchase. What. What Is A Residential Property Condition Disclosure Statement.
From www.mikestewart.ca
Property Condition Disclosure Statement PCDS What Is A Residential Property Condition Disclosure Statement The pcds is a disclosure document a seller is required by law to complete and. Regarding the property condition disclosure. (the “property condition disclosure act”) will make two key changes to the law in new york. What is a property condition disclosure statement? As the seller of residential real property, owner must complete and sign a property condition disclosure statement. What Is A Residential Property Condition Disclosure Statement.
From nlfforms.com
Property Disclosure Documents Property Condition Disclosure Statement What Is A Residential Property Condition Disclosure Statement Of the code of virginia) governs the information owners must. Property disclosure statements essentially outline any flaws that the home sellers (and their real estate agents) are aware of that could negatively affect the home’s. The pcds is a disclosure document a seller is required by law to complete and. What is a property condition disclosure statement? (the “property condition. What Is A Residential Property Condition Disclosure Statement.
From eforms.com
Free Property Disclosure Statement PDF Word eForms What Is A Residential Property Condition Disclosure Statement Of the code of virginia) governs the information owners must. The pcds is a disclosure document a seller is required by law to complete and. What is a property condition disclosure statement? Regarding the property condition disclosure. (the “property condition disclosure act”) will make two key changes to the law in new york. Property disclosure statements essentially outline any flaws. What Is A Residential Property Condition Disclosure Statement.
From www.formsbirds.com
Property Condition Disclosure Form Free Download What Is A Residential Property Condition Disclosure Statement What is a property condition disclosure statement? Regarding the property condition disclosure. The pcds is a disclosure document a seller is required by law to complete and. As the seller of residential real property, owner must complete and sign a property condition disclosure statement (pcds) as required by. (the “property condition disclosure act”) will make two key changes to the. What Is A Residential Property Condition Disclosure Statement.
From www.sampleforms.com
FREE 10+ Sample Real Estate Disclosure Forms in PDF MS Word What Is A Residential Property Condition Disclosure Statement Property disclosure statements essentially outline any flaws that the home sellers (and their real estate agents) are aware of that could negatively affect the home’s. As the seller of residential real property, owner must complete and sign a property condition disclosure statement (pcds) as required by. The pcds is a disclosure document a seller is required by law to complete. What Is A Residential Property Condition Disclosure Statement.
From www.formsbank.com
Property Condition Disclosure Statement Template printable pdf download What Is A Residential Property Condition Disclosure Statement Property disclosure statements essentially outline any flaws that the home sellers (and their real estate agents) are aware of that could negatively affect the home’s. The pcds is a disclosure document a seller is required by law to complete and. The property condition disclosure act will take effect on march 1, 2002 and will require a seller of covered residential. What Is A Residential Property Condition Disclosure Statement.
From www.uslegalforms.com
Property Disclosure Statement Fill and Sign Printable Template Online What Is A Residential Property Condition Disclosure Statement As the seller of residential real property, owner must complete and sign a property condition disclosure statement (pcds) as required by. The pcds is a disclosure document a seller is required by law to complete and. (the “property condition disclosure act”) will make two key changes to the law in new york. Except as is provided in § 463 (exemptions),. What Is A Residential Property Condition Disclosure Statement.