What Is Cot Pi 6 . Conversion from radians to degrees The cot of π/6 radians is √3, the same as cot of π/6 radians in degrees. Get the value of \cot (\frac {\pi } {6}) from trigonometric values table. The exact value of cot(π 6) cot (π 6) is √3 3. The value of cot (pi/6) is square root of 3 Cot π/6 = cot 30 degrees. In summary, the cotangent (cot) of an angle is the ratio of the adjacent side to the opposite side of a right triangle. To change π/6 radians to degrees multiply π/6 by 180° / π = 30°.
from www.youtube.com
Conversion from radians to degrees The value of cot (pi/6) is square root of 3 To change π/6 radians to degrees multiply π/6 by 180° / π = 30°. Cot π/6 = cot 30 degrees. The exact value of cot(π 6) cot (π 6) is √3 3. Get the value of \cot (\frac {\pi } {6}) from trigonometric values table. In summary, the cotangent (cot) of an angle is the ratio of the adjacent side to the opposite side of a right triangle. The cot of π/6 radians is √3, the same as cot of π/6 radians in degrees.
Exact Value of cot(pi/6) Unit Circle Survival Guide YouTube
What Is Cot Pi 6 Get the value of \cot (\frac {\pi } {6}) from trigonometric values table. The cot of π/6 radians is √3, the same as cot of π/6 radians in degrees. The exact value of cot(π 6) cot (π 6) is √3 3. Get the value of \cot (\frac {\pi } {6}) from trigonometric values table. Cot π/6 = cot 30 degrees. In summary, the cotangent (cot) of an angle is the ratio of the adjacent side to the opposite side of a right triangle. Conversion from radians to degrees To change π/6 radians to degrees multiply π/6 by 180° / π = 30°. The value of cot (pi/6) is square root of 3
From www.doubtnut.com
cot^(2)pi/6+"cosec"(5pi)/(6) + 3tan^(2)pi/6=6 What Is Cot Pi 6 Cot π/6 = cot 30 degrees. To change π/6 radians to degrees multiply π/6 by 180° / π = 30°. The value of cot (pi/6) is square root of 3 Get the value of \cot (\frac {\pi } {6}) from trigonometric values table. The exact value of cot(π 6) cot (π 6) is √3 3. Conversion from radians to degrees. What Is Cot Pi 6.
From socratic.org
Why is cos pi/6 the same as cos pi/6? Socratic What Is Cot Pi 6 The value of cot (pi/6) is square root of 3 Cot π/6 = cot 30 degrees. Get the value of \cot (\frac {\pi } {6}) from trigonometric values table. The cot of π/6 radians is √3, the same as cot of π/6 radians in degrees. To change π/6 radians to degrees multiply π/6 by 180° / π = 30°. The. What Is Cot Pi 6.
From www.youtube.com
Trigonometric Functions Cosecant, Secant, and Cotangent YouTube What Is Cot Pi 6 The exact value of cot(π 6) cot (π 6) is √3 3. The cot of π/6 radians is √3, the same as cot of π/6 radians in degrees. Conversion from radians to degrees To change π/6 radians to degrees multiply π/6 by 180° / π = 30°. Get the value of \cot (\frac {\pi } {6}) from trigonometric values table.. What Is Cot Pi 6.
From www.quora.com
What is the exact value of cot (5π/12)? Quora What Is Cot Pi 6 Cot π/6 = cot 30 degrees. Conversion from radians to degrees Get the value of \cot (\frac {\pi } {6}) from trigonometric values table. To change π/6 radians to degrees multiply π/6 by 180° / π = 30°. The cot of π/6 radians is √3, the same as cot of π/6 radians in degrees. In summary, the cotangent (cot) of. What Is Cot Pi 6.
From www.youtube.com
Compute cot(pi/6) YouTube What Is Cot Pi 6 Get the value of \cot (\frac {\pi } {6}) from trigonometric values table. Cot π/6 = cot 30 degrees. In summary, the cotangent (cot) of an angle is the ratio of the adjacent side to the opposite side of a right triangle. Conversion from radians to degrees To change π/6 radians to degrees multiply π/6 by 180° / π =. What Is Cot Pi 6.
From www.coursehero.com
[Solved] Given that cot(pi/6) = sq.root 3,use trigonometric expression What Is Cot Pi 6 Conversion from radians to degrees The cot of π/6 radians is √3, the same as cot of π/6 radians in degrees. In summary, the cotangent (cot) of an angle is the ratio of the adjacent side to the opposite side of a right triangle. The exact value of cot(π 6) cot (π 6) is √3 3. The value of cot. What Is Cot Pi 6.
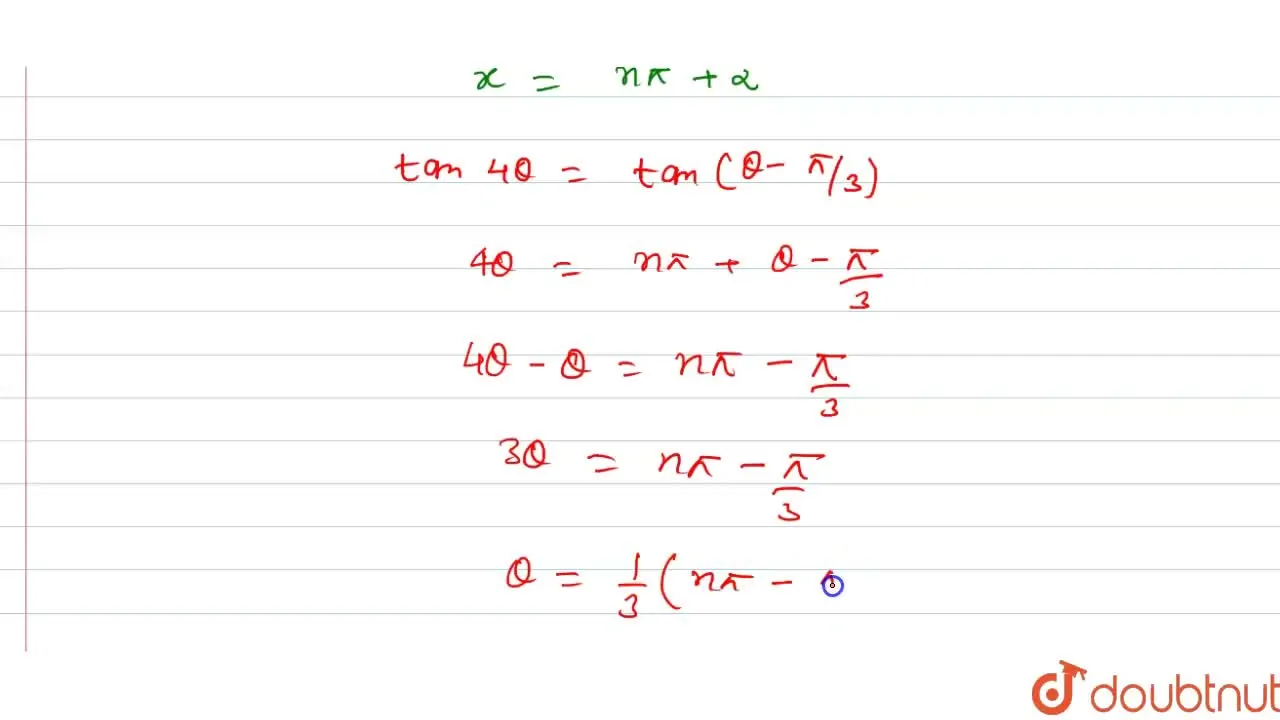
From www.doubtnut.com
हल कीजिए tan 4 theta = cot (pi/6+theta) What Is Cot Pi 6 Get the value of \cot (\frac {\pi } {6}) from trigonometric values table. The cot of π/6 radians is √3, the same as cot of π/6 radians in degrees. Cot π/6 = cot 30 degrees. In summary, the cotangent (cot) of an angle is the ratio of the adjacent side to the opposite side of a right triangle. Conversion from. What Is Cot Pi 6.
From www.chegg.com
Solved Use one of the cofunction identities to complete the What Is Cot Pi 6 The cot of π/6 radians is √3, the same as cot of π/6 radians in degrees. The exact value of cot(π 6) cot (π 6) is √3 3. The value of cot (pi/6) is square root of 3 Get the value of \cot (\frac {\pi } {6}) from trigonometric values table. In summary, the cotangent (cot) of an angle is. What Is Cot Pi 6.
From www.toppr.com
trigonometric functions of allied angles sin (pitheta)=sin theta cos What Is Cot Pi 6 Cot π/6 = cot 30 degrees. The cot of π/6 radians is √3, the same as cot of π/6 radians in degrees. The exact value of cot(π 6) cot (π 6) is √3 3. The value of cot (pi/6) is square root of 3 Conversion from radians to degrees To change π/6 radians to degrees multiply π/6 by 180° /. What Is Cot Pi 6.
From www.vrogue.co
Trigonometry Table Trigonometric Formula Ratio And An vrogue.co What Is Cot Pi 6 Conversion from radians to degrees The exact value of cot(π 6) cot (π 6) is √3 3. Get the value of \cot (\frac {\pi } {6}) from trigonometric values table. The value of cot (pi/6) is square root of 3 Cot π/6 = cot 30 degrees. The cot of π/6 radians is √3, the same as cot of π/6 radians. What Is Cot Pi 6.
From in.pinterest.com
Values of Trigonometric Functions Trigonometric functions, Math What Is Cot Pi 6 Get the value of \cot (\frac {\pi } {6}) from trigonometric values table. The value of cot (pi/6) is square root of 3 In summary, the cotangent (cot) of an angle is the ratio of the adjacent side to the opposite side of a right triangle. To change π/6 radians to degrees multiply π/6 by 180° / π = 30°.. What Is Cot Pi 6.
From www.youtube.com
Find the Exact Value of the Cotangent of (17*Pi/6) Using the Unit What Is Cot Pi 6 In summary, the cotangent (cot) of an angle is the ratio of the adjacent side to the opposite side of a right triangle. Conversion from radians to degrees Get the value of \cot (\frac {\pi } {6}) from trigonometric values table. The value of cot (pi/6) is square root of 3 The cot of π/6 radians is √3, the same. What Is Cot Pi 6.
From www.cuemath.com
Cot 5pi/6 Find Value of Cot 5pi/6 Cot 5π/6 What Is Cot Pi 6 Conversion from radians to degrees Cot π/6 = cot 30 degrees. The cot of π/6 radians is √3, the same as cot of π/6 radians in degrees. The exact value of cot(π 6) cot (π 6) is √3 3. The value of cot (pi/6) is square root of 3 Get the value of \cot (\frac {\pi } {6}) from trigonometric. What Is Cot Pi 6.
From www.cuemath.com
Cotangent Formula, Graph, Domain, Range Cot x Formula What Is Cot Pi 6 Cot π/6 = cot 30 degrees. The value of cot (pi/6) is square root of 3 The exact value of cot(π 6) cot (π 6) is √3 3. In summary, the cotangent (cot) of an angle is the ratio of the adjacent side to the opposite side of a right triangle. Get the value of \cot (\frac {\pi } {6}). What Is Cot Pi 6.
From www.inchcalculator.com
Cotangent Calculator Calculate cot(x) Inch Calculator What Is Cot Pi 6 The exact value of cot(π 6) cot (π 6) is √3 3. Get the value of \cot (\frac {\pi } {6}) from trigonometric values table. The cot of π/6 radians is √3, the same as cot of π/6 radians in degrees. Conversion from radians to degrees In summary, the cotangent (cot) of an angle is the ratio of the adjacent. What Is Cot Pi 6.
From www.onlinemathlearning.com
Trigonometric Functions (examples, videos, worksheets, solutions What Is Cot Pi 6 The exact value of cot(π 6) cot (π 6) is √3 3. Cot π/6 = cot 30 degrees. The cot of π/6 radians is √3, the same as cot of π/6 radians in degrees. To change π/6 radians to degrees multiply π/6 by 180° / π = 30°. Get the value of \cot (\frac {\pi } {6}) from trigonometric values. What Is Cot Pi 6.
From crystalclearmaths.com
The Unit Circle and Trigonometric Identities Crystal Clear Mathematics What Is Cot Pi 6 Get the value of \cot (\frac {\pi } {6}) from trigonometric values table. In summary, the cotangent (cot) of an angle is the ratio of the adjacent side to the opposite side of a right triangle. Cot π/6 = cot 30 degrees. The cot of π/6 radians is √3, the same as cot of π/6 radians in degrees. To change. What Is Cot Pi 6.
From www.math-only-math.com
Trigonometrical Ratios Table Trigonometric Standard Angles Standard What Is Cot Pi 6 Cot π/6 = cot 30 degrees. Conversion from radians to degrees The cot of π/6 radians is √3, the same as cot of π/6 radians in degrees. The value of cot (pi/6) is square root of 3 The exact value of cot(π 6) cot (π 6) is √3 3. In summary, the cotangent (cot) of an angle is the ratio. What Is Cot Pi 6.
From www.youtube.com
Evaluate integral csc pi t cot pi t dt over [1/6, 1/2]. The What Is Cot Pi 6 The value of cot (pi/6) is square root of 3 Conversion from radians to degrees To change π/6 radians to degrees multiply π/6 by 180° / π = 30°. The exact value of cot(π 6) cot (π 6) is √3 3. Cot π/6 = cot 30 degrees. Get the value of \cot (\frac {\pi } {6}) from trigonometric values table.. What Is Cot Pi 6.
From owlcation.com
Cofunction Identities in Trigonometry (With Proof and Examples) Owlcation What Is Cot Pi 6 Conversion from radians to degrees The value of cot (pi/6) is square root of 3 Cot π/6 = cot 30 degrees. The exact value of cot(π 6) cot (π 6) is √3 3. In summary, the cotangent (cot) of an angle is the ratio of the adjacent side to the opposite side of a right triangle. The cot of π/6. What Is Cot Pi 6.
From www.cuemath.com
Trigonometric Table Trigonometric Values Understanding Trig Table What Is Cot Pi 6 Cot π/6 = cot 30 degrees. In summary, the cotangent (cot) of an angle is the ratio of the adjacent side to the opposite side of a right triangle. The cot of π/6 radians is √3, the same as cot of π/6 radians in degrees. The value of cot (pi/6) is square root of 3 Conversion from radians to degrees. What Is Cot Pi 6.
From www.onlinemathlearning.com
Cotangent Graphs (examples, solutions, videos, worksheets, games What Is Cot Pi 6 Conversion from radians to degrees Get the value of \cot (\frac {\pi } {6}) from trigonometric values table. The value of cot (pi/6) is square root of 3 The cot of π/6 radians is √3, the same as cot of π/6 radians in degrees. To change π/6 radians to degrees multiply π/6 by 180° / π = 30°. The exact. What Is Cot Pi 6.
From www.teachoo.com
Ex 3.3, 3 Prove that cot2 pi/6 + cosec 5pi/6 + 3 tan2 pi/6 = 6 What Is Cot Pi 6 Conversion from radians to degrees The exact value of cot(π 6) cot (π 6) is √3 3. Get the value of \cot (\frac {\pi } {6}) from trigonometric values table. To change π/6 radians to degrees multiply π/6 by 180° / π = 30°. The cot of π/6 radians is √3, the same as cot of π/6 radians in degrees.. What Is Cot Pi 6.
From www.youtube.com
cot(pi + x) cot(pi + theta) YouTube What Is Cot Pi 6 The exact value of cot(π 6) cot (π 6) is √3 3. The cot of π/6 radians is √3, the same as cot of π/6 radians in degrees. Cot π/6 = cot 30 degrees. Conversion from radians to degrees In summary, the cotangent (cot) of an angle is the ratio of the adjacent side to the opposite side of a. What Is Cot Pi 6.
From brainly.com
what function is graphed below? a. y= cot(3/4(x pi/6)) b. y= cot(3/2(x What Is Cot Pi 6 The exact value of cot(π 6) cot (π 6) is √3 3. Conversion from radians to degrees To change π/6 radians to degrees multiply π/6 by 180° / π = 30°. The value of cot (pi/6) is square root of 3 Get the value of \cot (\frac {\pi } {6}) from trigonometric values table. The cot of π/6 radians is. What Is Cot Pi 6.
From www.youtube.com
Exact Value of cot(pi/6) Unit Circle Survival Guide YouTube What Is Cot Pi 6 To change π/6 radians to degrees multiply π/6 by 180° / π = 30°. Cot π/6 = cot 30 degrees. The exact value of cot(π 6) cot (π 6) is √3 3. In summary, the cotangent (cot) of an angle is the ratio of the adjacent side to the opposite side of a right triangle. Conversion from radians to degrees. What Is Cot Pi 6.
From www.chegg.com
Solved 17) Cot Pi/3 Cos Pi/6 Root3 B) 2Root3 3root2/6... What Is Cot Pi 6 Get the value of \cot (\frac {\pi } {6}) from trigonometric values table. Cot π/6 = cot 30 degrees. In summary, the cotangent (cot) of an angle is the ratio of the adjacent side to the opposite side of a right triangle. The value of cot (pi/6) is square root of 3 To change π/6 radians to degrees multiply π/6. What Is Cot Pi 6.
From www.studypug.com
Understanding the unit circle StudyPug What Is Cot Pi 6 To change π/6 radians to degrees multiply π/6 by 180° / π = 30°. Cot π/6 = cot 30 degrees. Get the value of \cot (\frac {\pi } {6}) from trigonometric values table. The cot of π/6 radians is √3, the same as cot of π/6 radians in degrees. The value of cot (pi/6) is square root of 3 In. What Is Cot Pi 6.
From www.youtube.com
Prove cot^2(pi/6) + cosec(5pi/6) + 3 tan^2(pi /6) =6 YouTube What Is Cot Pi 6 The exact value of cot(π 6) cot (π 6) is √3 3. In summary, the cotangent (cot) of an angle is the ratio of the adjacent side to the opposite side of a right triangle. To change π/6 radians to degrees multiply π/6 by 180° / π = 30°. The value of cot (pi/6) is square root of 3 Cot. What Is Cot Pi 6.
From ar.inspiredpencil.com
Unit Circle With Cotangent What Is Cot Pi 6 Cot π/6 = cot 30 degrees. The cot of π/6 radians is √3, the same as cot of π/6 radians in degrees. The value of cot (pi/6) is square root of 3 Get the value of \cot (\frac {\pi } {6}) from trigonometric values table. The exact value of cot(π 6) cot (π 6) is √3 3. Conversion from radians. What Is Cot Pi 6.
From printdsae.weebly.com
Cos tan sin chart printdsae What Is Cot Pi 6 The cot of π/6 radians is √3, the same as cot of π/6 radians in degrees. To change π/6 radians to degrees multiply π/6 by 180° / π = 30°. The value of cot (pi/6) is square root of 3 In summary, the cotangent (cot) of an angle is the ratio of the adjacent side to the opposite side of. What Is Cot Pi 6.
From www.cuemath.com
Cot pi/6 Find Value of Cot pi/6 Cot π/6 What Is Cot Pi 6 To change π/6 radians to degrees multiply π/6 by 180° / π = 30°. The exact value of cot(π 6) cot (π 6) is √3 3. The cot of π/6 radians is √3, the same as cot of π/6 radians in degrees. Conversion from radians to degrees The value of cot (pi/6) is square root of 3 In summary, the. What Is Cot Pi 6.
From www.cuemath.com
Cot pi Find Value of Cot pi Cot π What Is Cot Pi 6 The value of cot (pi/6) is square root of 3 The cot of π/6 radians is √3, the same as cot of π/6 radians in degrees. Cot π/6 = cot 30 degrees. To change π/6 radians to degrees multiply π/6 by 180° / π = 30°. Conversion from radians to degrees The exact value of cot(π 6) cot (π 6). What Is Cot Pi 6.
From www.doubtnut.com
Solve tan4theta=cot(pi/6+theta) What Is Cot Pi 6 Get the value of \cot (\frac {\pi } {6}) from trigonometric values table. The cot of π/6 radians is √3, the same as cot of π/6 radians in degrees. In summary, the cotangent (cot) of an angle is the ratio of the adjacent side to the opposite side of a right triangle. The value of cot (pi/6) is square root. What Is Cot Pi 6.
From www.omtexclasses.com
OMTEX CLASSES Trigonometric Table What Is Cot Pi 6 In summary, the cotangent (cot) of an angle is the ratio of the adjacent side to the opposite side of a right triangle. Get the value of \cot (\frac {\pi } {6}) from trigonometric values table. The exact value of cot(π 6) cot (π 6) is √3 3. Cot π/6 = cot 30 degrees. To change π/6 radians to degrees. What Is Cot Pi 6.