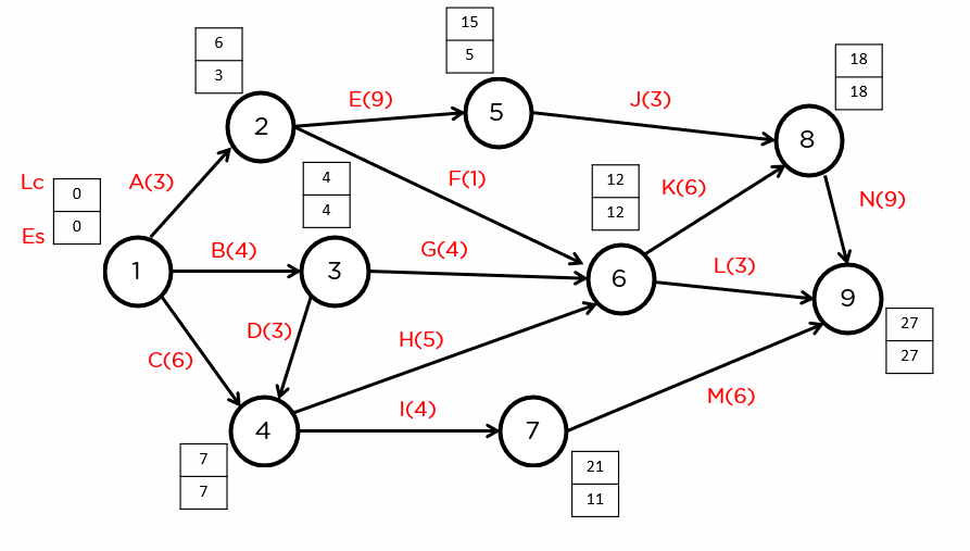
Network Diagram Backward Pass . This augments the diagram as follows: Two methods to calculate the forward and backward passes in a network diagram by jeffrey s. In order to identify the critical path and to detect float in the other paths, we need to carry out a backward pass. Just like the forward pass, the backward pass requires some tricky calculations. A backward pass in project management is a technique used to move through a project network diagram. Combining the backward and forward pass gives you a comprehensive view of the drivers of your project timeline enabling you to identify activities that have room for schedule. Today, the above procedure is largely an academic exercise limited to project management schools, because project management software. The second step in the calculation is comprised of the backward pass. What is a backward pass in project management?
from www.chegg.com
Combining the backward and forward pass gives you a comprehensive view of the drivers of your project timeline enabling you to identify activities that have room for schedule. In order to identify the critical path and to detect float in the other paths, we need to carry out a backward pass. A backward pass in project management is a technique used to move through a project network diagram. The second step in the calculation is comprised of the backward pass. Just like the forward pass, the backward pass requires some tricky calculations. This augments the diagram as follows: Today, the above procedure is largely an academic exercise limited to project management schools, because project management software. Two methods to calculate the forward and backward passes in a network diagram by jeffrey s. What is a backward pass in project management?
Solved Q. Perform a Forward and backward pass of the network
Network Diagram Backward Pass A backward pass in project management is a technique used to move through a project network diagram. Today, the above procedure is largely an academic exercise limited to project management schools, because project management software. In order to identify the critical path and to detect float in the other paths, we need to carry out a backward pass. Combining the backward and forward pass gives you a comprehensive view of the drivers of your project timeline enabling you to identify activities that have room for schedule. Two methods to calculate the forward and backward passes in a network diagram by jeffrey s. This augments the diagram as follows: Just like the forward pass, the backward pass requires some tricky calculations. The second step in the calculation is comprised of the backward pass. What is a backward pass in project management? A backward pass in project management is a technique used to move through a project network diagram.
From epochai.org
What’s the BackwardForward FLOP Ratio for Neural Networks? Epoch AI Network Diagram Backward Pass Just like the forward pass, the backward pass requires some tricky calculations. In order to identify the critical path and to detect float in the other paths, we need to carry out a backward pass. What is a backward pass in project management? A backward pass in project management is a technique used to move through a project network diagram.. Network Diagram Backward Pass.
From www.aileenellis.com
How to get every network diagram question right on the PMP Exam Network Diagram Backward Pass The second step in the calculation is comprised of the backward pass. Two methods to calculate the forward and backward passes in a network diagram by jeffrey s. Today, the above procedure is largely an academic exercise limited to project management schools, because project management software. What is a backward pass in project management? In order to identify the critical. Network Diagram Backward Pass.
From www.chegg.com
Solved Use attached network diagram for this problem Using Network Diagram Backward Pass In order to identify the critical path and to detect float in the other paths, we need to carry out a backward pass. The second step in the calculation is comprised of the backward pass. Today, the above procedure is largely an academic exercise limited to project management schools, because project management software. This augments the diagram as follows: Two. Network Diagram Backward Pass.
From www.youtube.com
Complete the forward and backward pass of an ADM network diagram for Network Diagram Backward Pass This augments the diagram as follows: In order to identify the critical path and to detect float in the other paths, we need to carry out a backward pass. A backward pass in project management is a technique used to move through a project network diagram. Two methods to calculate the forward and backward passes in a network diagram by. Network Diagram Backward Pass.
From www.youtube.com
How to Draw Project Network (Forward & Backward Path) EST, EFT, LST Network Diagram Backward Pass This augments the diagram as follows: Today, the above procedure is largely an academic exercise limited to project management schools, because project management software. What is a backward pass in project management? In order to identify the critical path and to detect float in the other paths, we need to carry out a backward pass. A backward pass in project. Network Diagram Backward Pass.
From www.youtube.com
Finding forward pass and backward pass of network diagram project Network Diagram Backward Pass This augments the diagram as follows: Today, the above procedure is largely an academic exercise limited to project management schools, because project management software. Just like the forward pass, the backward pass requires some tricky calculations. The second step in the calculation is comprised of the backward pass. Two methods to calculate the forward and backward passes in a network. Network Diagram Backward Pass.
From www.chegg.com
Solved The following network shows a sample precedence Network Diagram Backward Pass Two methods to calculate the forward and backward passes in a network diagram by jeffrey s. Just like the forward pass, the backward pass requires some tricky calculations. A backward pass in project management is a technique used to move through a project network diagram. Combining the backward and forward pass gives you a comprehensive view of the drivers of. Network Diagram Backward Pass.
From www.wrike.com
What Is a Backward Pass in Project Management? Wrike Network Diagram Backward Pass Just like the forward pass, the backward pass requires some tricky calculations. This augments the diagram as follows: In order to identify the critical path and to detect float in the other paths, we need to carry out a backward pass. Two methods to calculate the forward and backward passes in a network diagram by jeffrey s. What is a. Network Diagram Backward Pass.
From www.mpug.com
How to Use Forward and Backward Pass for Activity Assignments MPUG Network Diagram Backward Pass Today, the above procedure is largely an academic exercise limited to project management schools, because project management software. This augments the diagram as follows: Combining the backward and forward pass gives you a comprehensive view of the drivers of your project timeline enabling you to identify activities that have room for schedule. The second step in the calculation is comprised. Network Diagram Backward Pass.
From www.chegg.com
Solved How do I perform the forward and backward pass on Network Diagram Backward Pass The second step in the calculation is comprised of the backward pass. Two methods to calculate the forward and backward passes in a network diagram by jeffrey s. Combining the backward and forward pass gives you a comprehensive view of the drivers of your project timeline enabling you to identify activities that have room for schedule. This augments the diagram. Network Diagram Backward Pass.
From www.simplilearn.com
Critical Path Method Explained Boost Project Efficiency Network Diagram Backward Pass In order to identify the critical path and to detect float in the other paths, we need to carry out a backward pass. A backward pass in project management is a technique used to move through a project network diagram. Two methods to calculate the forward and backward passes in a network diagram by jeffrey s. Combining the backward and. Network Diagram Backward Pass.
From www.youtube.com
Forward Pass and Backward Pass YouTube Network Diagram Backward Pass What is a backward pass in project management? Two methods to calculate the forward and backward passes in a network diagram by jeffrey s. This augments the diagram as follows: In order to identify the critical path and to detect float in the other paths, we need to carry out a backward pass. Today, the above procedure is largely an. Network Diagram Backward Pass.
From www.stakeholdermap.com
What does Backward Pass mean? Project Management Dictionary of Terms Network Diagram Backward Pass A backward pass in project management is a technique used to move through a project network diagram. Just like the forward pass, the backward pass requires some tricky calculations. In order to identify the critical path and to detect float in the other paths, we need to carry out a backward pass. Combining the backward and forward pass gives you. Network Diagram Backward Pass.
From www.sisipil.com
Cara Membuat Network Diagram Metode AoA Network Diagram Backward Pass Combining the backward and forward pass gives you a comprehensive view of the drivers of your project timeline enabling you to identify activities that have room for schedule. A backward pass in project management is a technique used to move through a project network diagram. This augments the diagram as follows: Just like the forward pass, the backward pass requires. Network Diagram Backward Pass.
From dokumen.tips
(PPT) Review network diagram Forward/backward pass Critical path Network Diagram Backward Pass What is a backward pass in project management? Just like the forward pass, the backward pass requires some tricky calculations. Today, the above procedure is largely an academic exercise limited to project management schools, because project management software. A backward pass in project management is a technique used to move through a project network diagram. Two methods to calculate the. Network Diagram Backward Pass.
From mavink.com
Network Diagram Forward And Backward Pass Network Diagram Backward Pass What is a backward pass in project management? Just like the forward pass, the backward pass requires some tricky calculations. In order to identify the critical path and to detect float in the other paths, we need to carry out a backward pass. Combining the backward and forward pass gives you a comprehensive view of the drivers of your project. Network Diagram Backward Pass.
From mavink.com
Network Diagram Forward And Backward Pass Network Diagram Backward Pass What is a backward pass in project management? Two methods to calculate the forward and backward passes in a network diagram by jeffrey s. A backward pass in project management is a technique used to move through a project network diagram. Just like the forward pass, the backward pass requires some tricky calculations. Today, the above procedure is largely an. Network Diagram Backward Pass.
From pe.nebulome.com
Network diagram backward pass Network Diagram Backward Pass Today, the above procedure is largely an academic exercise limited to project management schools, because project management software. This augments the diagram as follows: A backward pass in project management is a technique used to move through a project network diagram. Combining the backward and forward pass gives you a comprehensive view of the drivers of your project timeline enabling. Network Diagram Backward Pass.
From projectnetworkdiagram.netlify.app
Network Diagram Forward And Backward Pass Solver Network Diagram Backward Pass Today, the above procedure is largely an academic exercise limited to project management schools, because project management software. Just like the forward pass, the backward pass requires some tricky calculations. This augments the diagram as follows: A backward pass in project management is a technique used to move through a project network diagram. Combining the backward and forward pass gives. Network Diagram Backward Pass.
From www.researchgate.net
Architecture diagram of backward pass neural network Download Network Diagram Backward Pass Two methods to calculate the forward and backward passes in a network diagram by jeffrey s. The second step in the calculation is comprised of the backward pass. In order to identify the critical path and to detect float in the other paths, we need to carry out a backward pass. Just like the forward pass, the backward pass requires. Network Diagram Backward Pass.
From www.youtube.com
Use forward and backward pass to determine project duration and Network Diagram Backward Pass In order to identify the critical path and to detect float in the other paths, we need to carry out a backward pass. A backward pass in project management is a technique used to move through a project network diagram. Today, the above procedure is largely an academic exercise limited to project management schools, because project management software. The second. Network Diagram Backward Pass.
From www.studocu.com
SST101 AON Diagram Exercise Revision on forward pass and backward Network Diagram Backward Pass The second step in the calculation is comprised of the backward pass. In order to identify the critical path and to detect float in the other paths, we need to carry out a backward pass. This augments the diagram as follows: Today, the above procedure is largely an academic exercise limited to project management schools, because project management software. Combining. Network Diagram Backward Pass.
From www.youtube.com
What is a PERT Chart or Network Diagram and Critical Path Part 2 Network Diagram Backward Pass Just like the forward pass, the backward pass requires some tricky calculations. The second step in the calculation is comprised of the backward pass. This augments the diagram as follows: Combining the backward and forward pass gives you a comprehensive view of the drivers of your project timeline enabling you to identify activities that have room for schedule. What is. Network Diagram Backward Pass.
From www.youtube.com
Project management, network diagram, forward pass and backward pass. Network Diagram Backward Pass Just like the forward pass, the backward pass requires some tricky calculations. The second step in the calculation is comprised of the backward pass. In order to identify the critical path and to detect float in the other paths, we need to carry out a backward pass. Combining the backward and forward pass gives you a comprehensive view of the. Network Diagram Backward Pass.
From www.youtube.com
PMP Critical Path Method / CPM Network Analysis Doing a Backward Network Diagram Backward Pass A backward pass in project management is a technique used to move through a project network diagram. Just like the forward pass, the backward pass requires some tricky calculations. The second step in the calculation is comprised of the backward pass. This augments the diagram as follows: Combining the backward and forward pass gives you a comprehensive view of the. Network Diagram Backward Pass.
From www.coursehero.com
[Solved] For the network diagram in class Do the forward pass and Network Diagram Backward Pass A backward pass in project management is a technique used to move through a project network diagram. What is a backward pass in project management? This augments the diagram as follows: Two methods to calculate the forward and backward passes in a network diagram by jeffrey s. The second step in the calculation is comprised of the backward pass. Just. Network Diagram Backward Pass.
From www.chegg.com
Solved complete the Forward Pass and Backward Pass for the Network Diagram Backward Pass Combining the backward and forward pass gives you a comprehensive view of the drivers of your project timeline enabling you to identify activities that have room for schedule. What is a backward pass in project management? This augments the diagram as follows: In order to identify the critical path and to detect float in the other paths, we need to. Network Diagram Backward Pass.
From www.slideserve.com
PPT PROJECT NETWORK DIAGRAM PowerPoint Presentation, free download Network Diagram Backward Pass What is a backward pass in project management? Today, the above procedure is largely an academic exercise limited to project management schools, because project management software. This augments the diagram as follows: Combining the backward and forward pass gives you a comprehensive view of the drivers of your project timeline enabling you to identify activities that have room for schedule.. Network Diagram Backward Pass.
From deeprojectmanager.com
Master How to Use Backward Pass in Project Management in 2024 Network Diagram Backward Pass Just like the forward pass, the backward pass requires some tricky calculations. In order to identify the critical path and to detect float in the other paths, we need to carry out a backward pass. A backward pass in project management is a technique used to move through a project network diagram. This augments the diagram as follows: Two methods. Network Diagram Backward Pass.
From www.slideshare.net
Network Diagrams Forward and backward pass Network Diagram Backward Pass Two methods to calculate the forward and backward passes in a network diagram by jeffrey s. A backward pass in project management is a technique used to move through a project network diagram. Combining the backward and forward pass gives you a comprehensive view of the drivers of your project timeline enabling you to identify activities that have room for. Network Diagram Backward Pass.
From www.chegg.com
Solved Q. Perform a Forward and backward pass of the network Network Diagram Backward Pass This augments the diagram as follows: What is a backward pass in project management? Two methods to calculate the forward and backward passes in a network diagram by jeffrey s. In order to identify the critical path and to detect float in the other paths, we need to carry out a backward pass. Just like the forward pass, the backward. Network Diagram Backward Pass.
From www.youtube.com
forward pass and backward pass calculation network diagram in excel Network Diagram Backward Pass Combining the backward and forward pass gives you a comprehensive view of the drivers of your project timeline enabling you to identify activities that have room for schedule. What is a backward pass in project management? The second step in the calculation is comprised of the backward pass. Two methods to calculate the forward and backward passes in a network. Network Diagram Backward Pass.
From www.researchgate.net
Backward pass diagram for the Fully Connected Unit Download Network Diagram Backward Pass This augments the diagram as follows: In order to identify the critical path and to detect float in the other paths, we need to carry out a backward pass. Today, the above procedure is largely an academic exercise limited to project management schools, because project management software. Two methods to calculate the forward and backward passes in a network diagram. Network Diagram Backward Pass.
From mavink.com
Network Diagram Forward And Backward Pass Network Diagram Backward Pass The second step in the calculation is comprised of the backward pass. A backward pass in project management is a technique used to move through a project network diagram. What is a backward pass in project management? Two methods to calculate the forward and backward passes in a network diagram by jeffrey s. In order to identify the critical path. Network Diagram Backward Pass.
From theneuralblog.com
A step by step forward pass and backpropagation example Network Diagram Backward Pass Combining the backward and forward pass gives you a comprehensive view of the drivers of your project timeline enabling you to identify activities that have room for schedule. What is a backward pass in project management? The second step in the calculation is comprised of the backward pass. This augments the diagram as follows: A backward pass in project management. Network Diagram Backward Pass.