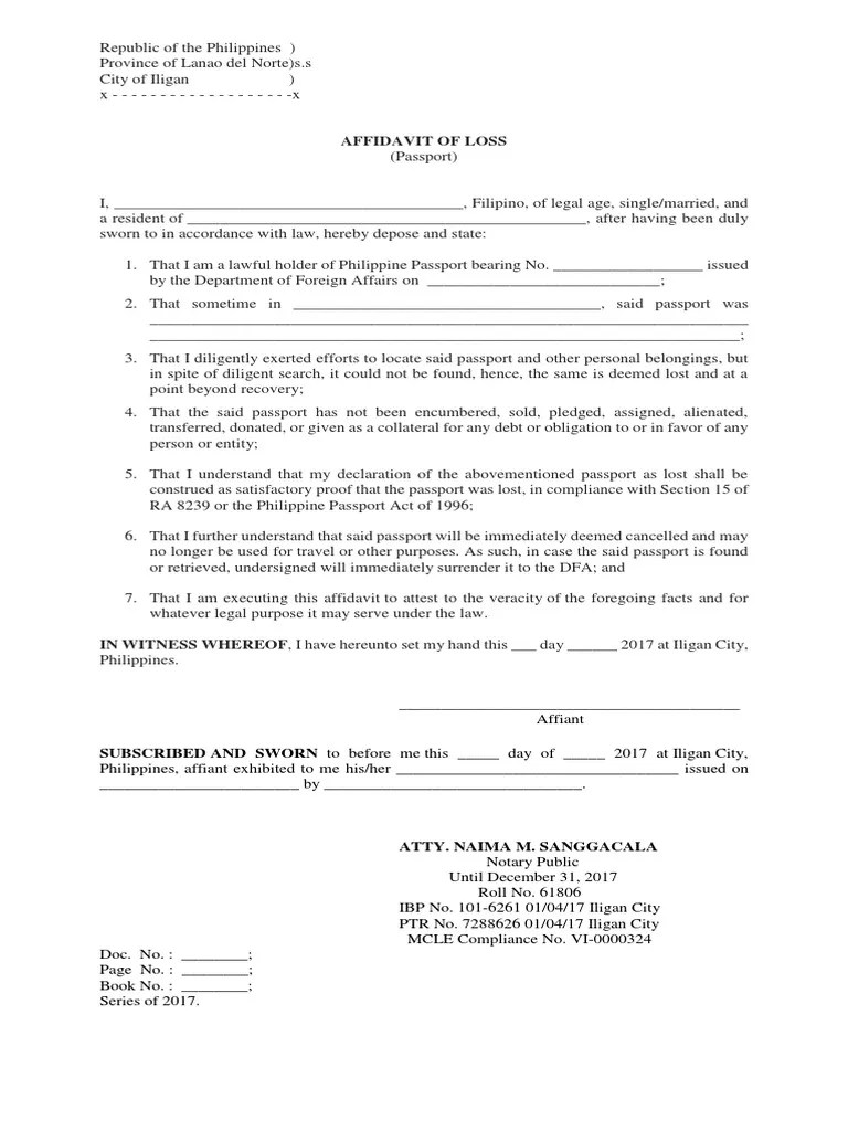
Where Can I Get Affidavit Of Loss Passport . Lost your passport you will need to present to the philippines embassy / consulate or the dfa these documents: The affidavit of loss should. I am executing this affidavit of loss in connection with my present application for a new passport/travel document. It is recommended to get this at public attorney’s office near your area. You were told you needed an affidavit of loss to obtain a replacement for your driver’s license, which you lost on your way home the. Get a new passport at your embassy or consulate. What you need for a new passport. That the undersigned fully understands that the said passport is automatically deemed cancelled upon declaration of loss and that if found, it can. File a loss/robbery report at a police station. Applying for a replacement of a lost valid epassport is treated as a new application, and this includes securing a confirmed online appointment with the department.
from www.scribd.com
That the undersigned fully understands that the said passport is automatically deemed cancelled upon declaration of loss and that if found, it can. What you need for a new passport. I am executing this affidavit of loss in connection with my present application for a new passport/travel document. Applying for a replacement of a lost valid epassport is treated as a new application, and this includes securing a confirmed online appointment with the department. Lost your passport you will need to present to the philippines embassy / consulate or the dfa these documents: It is recommended to get this at public attorney’s office near your area. The affidavit of loss should. You were told you needed an affidavit of loss to obtain a replacement for your driver’s license, which you lost on your way home the. File a loss/robbery report at a police station. Get a new passport at your embassy or consulate.
Affidavit of Loss (Passport) PDF
Where Can I Get Affidavit Of Loss Passport Applying for a replacement of a lost valid epassport is treated as a new application, and this includes securing a confirmed online appointment with the department. Get a new passport at your embassy or consulate. Lost your passport you will need to present to the philippines embassy / consulate or the dfa these documents: It is recommended to get this at public attorney’s office near your area. What you need for a new passport. Applying for a replacement of a lost valid epassport is treated as a new application, and this includes securing a confirmed online appointment with the department. The affidavit of loss should. File a loss/robbery report at a police station. That the undersigned fully understands that the said passport is automatically deemed cancelled upon declaration of loss and that if found, it can. You were told you needed an affidavit of loss to obtain a replacement for your driver’s license, which you lost on your way home the. I am executing this affidavit of loss in connection with my present application for a new passport/travel document.
From www.scribd.com
Affidavit of Loss (Passport) Where Can I Get Affidavit Of Loss Passport File a loss/robbery report at a police station. Get a new passport at your embassy or consulate. Applying for a replacement of a lost valid epassport is treated as a new application, and this includes securing a confirmed online appointment with the department. I am executing this affidavit of loss in connection with my present application for a new passport/travel. Where Can I Get Affidavit Of Loss Passport.
From www.scribd.com
Affidavit of Loss.passport Where Can I Get Affidavit Of Loss Passport What you need for a new passport. I am executing this affidavit of loss in connection with my present application for a new passport/travel document. That the undersigned fully understands that the said passport is automatically deemed cancelled upon declaration of loss and that if found, it can. File a loss/robbery report at a police station. Lost your passport you. Where Can I Get Affidavit Of Loss Passport.
From www.scribd.com
Affidavit of Loss Passport Jamesreid Where Can I Get Affidavit Of Loss Passport Applying for a replacement of a lost valid epassport is treated as a new application, and this includes securing a confirmed online appointment with the department. That the undersigned fully understands that the said passport is automatically deemed cancelled upon declaration of loss and that if found, it can. It is recommended to get this at public attorney’s office near. Where Can I Get Affidavit Of Loss Passport.
From www.scribd.com
Affidavit of Loss Passport PDF Where Can I Get Affidavit Of Loss Passport What you need for a new passport. It is recommended to get this at public attorney’s office near your area. The affidavit of loss should. I am executing this affidavit of loss in connection with my present application for a new passport/travel document. That the undersigned fully understands that the said passport is automatically deemed cancelled upon declaration of loss. Where Can I Get Affidavit Of Loss Passport.
From www.scribd.com
Affidavit of Loss Passport Where Can I Get Affidavit Of Loss Passport Get a new passport at your embassy or consulate. You were told you needed an affidavit of loss to obtain a replacement for your driver’s license, which you lost on your way home the. What you need for a new passport. File a loss/robbery report at a police station. I am executing this affidavit of loss in connection with my. Where Can I Get Affidavit Of Loss Passport.
From www.scribd.com
Affidavit of Loss (Passport) PDF Where Can I Get Affidavit Of Loss Passport You were told you needed an affidavit of loss to obtain a replacement for your driver’s license, which you lost on your way home the. It is recommended to get this at public attorney’s office near your area. That the undersigned fully understands that the said passport is automatically deemed cancelled upon declaration of loss and that if found, it. Where Can I Get Affidavit Of Loss Passport.
From www.scribd.com
Affidavit of Loss Passport PDF Where Can I Get Affidavit Of Loss Passport The affidavit of loss should. Lost your passport you will need to present to the philippines embassy / consulate or the dfa these documents: Applying for a replacement of a lost valid epassport is treated as a new application, and this includes securing a confirmed online appointment with the department. What you need for a new passport. Get a new. Where Can I Get Affidavit Of Loss Passport.
From www.signnow.com
Affidavit in Lieu of Lost Passport Form Fill Out and Sign Printable Where Can I Get Affidavit Of Loss Passport That the undersigned fully understands that the said passport is automatically deemed cancelled upon declaration of loss and that if found, it can. You were told you needed an affidavit of loss to obtain a replacement for your driver’s license, which you lost on your way home the. File a loss/robbery report at a police station. Applying for a replacement. Where Can I Get Affidavit Of Loss Passport.
From www.scribd.com
Affdavit of Loss Passport Sample Affidavit Civil Law Law) Where Can I Get Affidavit Of Loss Passport Lost your passport you will need to present to the philippines embassy / consulate or the dfa these documents: Get a new passport at your embassy or consulate. It is recommended to get this at public attorney’s office near your area. File a loss/robbery report at a police station. That the undersigned fully understands that the said passport is automatically. Where Can I Get Affidavit Of Loss Passport.
From www.scribd.com
Affidavit of Loss (Passport) PDF Where Can I Get Affidavit Of Loss Passport What you need for a new passport. Get a new passport at your embassy or consulate. I am executing this affidavit of loss in connection with my present application for a new passport/travel document. You were told you needed an affidavit of loss to obtain a replacement for your driver’s license, which you lost on your way home the. It. Where Can I Get Affidavit Of Loss Passport.
From mungfali.com
Sample Of Affidavit Of Loss Passport Where Can I Get Affidavit Of Loss Passport Lost your passport you will need to present to the philippines embassy / consulate or the dfa these documents: Applying for a replacement of a lost valid epassport is treated as a new application, and this includes securing a confirmed online appointment with the department. I am executing this affidavit of loss in connection with my present application for a. Where Can I Get Affidavit Of Loss Passport.
From www.scribd.com
Affidavit of Loss Passport Affidavit Passport Where Can I Get Affidavit Of Loss Passport You were told you needed an affidavit of loss to obtain a replacement for your driver’s license, which you lost on your way home the. Applying for a replacement of a lost valid epassport is treated as a new application, and this includes securing a confirmed online appointment with the department. That the undersigned fully understands that the said passport. Where Can I Get Affidavit Of Loss Passport.
From www.scribd.com
Affidavit of Loss (Passport) Affidavit Passport Where Can I Get Affidavit Of Loss Passport File a loss/robbery report at a police station. Lost your passport you will need to present to the philippines embassy / consulate or the dfa these documents: You were told you needed an affidavit of loss to obtain a replacement for your driver’s license, which you lost on your way home the. It is recommended to get this at public. Where Can I Get Affidavit Of Loss Passport.
From www.pdffiller.com
Affidavit Of Loss Fill Online, Printable, Fillable, Blank pdfFiller Where Can I Get Affidavit Of Loss Passport File a loss/robbery report at a police station. What you need for a new passport. You were told you needed an affidavit of loss to obtain a replacement for your driver’s license, which you lost on your way home the. It is recommended to get this at public attorney’s office near your area. That the undersigned fully understands that the. Where Can I Get Affidavit Of Loss Passport.
From www.scribd.com
affidavit_of_loss_passport_affidavits copy Where Can I Get Affidavit Of Loss Passport Lost your passport you will need to present to the philippines embassy / consulate or the dfa these documents: You were told you needed an affidavit of loss to obtain a replacement for your driver’s license, which you lost on your way home the. It is recommended to get this at public attorney’s office near your area. File a loss/robbery. Where Can I Get Affidavit Of Loss Passport.
From www.sampleforms.com
FREE 50+ Affidavit Forms in PDF MS Word Excel Where Can I Get Affidavit Of Loss Passport I am executing this affidavit of loss in connection with my present application for a new passport/travel document. What you need for a new passport. The affidavit of loss should. Applying for a replacement of a lost valid epassport is treated as a new application, and this includes securing a confirmed online appointment with the department. That the undersigned fully. Where Can I Get Affidavit Of Loss Passport.
From www.uslegalforms.com
Affidavit Of Loss Passport Fill and Sign Printable Template Online Where Can I Get Affidavit Of Loss Passport You were told you needed an affidavit of loss to obtain a replacement for your driver’s license, which you lost on your way home the. File a loss/robbery report at a police station. Lost your passport you will need to present to the philippines embassy / consulate or the dfa these documents: The affidavit of loss should. Applying for a. Where Can I Get Affidavit Of Loss Passport.
From www.sampletemplates.com
FREE 16+ Affidavit of Loss Samples & Templates in PDF Where Can I Get Affidavit Of Loss Passport File a loss/robbery report at a police station. You were told you needed an affidavit of loss to obtain a replacement for your driver’s license, which you lost on your way home the. Get a new passport at your embassy or consulate. The affidavit of loss should. Applying for a replacement of a lost valid epassport is treated as a. Where Can I Get Affidavit Of Loss Passport.
From www.scribd.com
Affidavit of Loss(Pasport) Affidavit Passport Free 30day Trial Where Can I Get Affidavit Of Loss Passport You were told you needed an affidavit of loss to obtain a replacement for your driver’s license, which you lost on your way home the. The affidavit of loss should. That the undersigned fully understands that the said passport is automatically deemed cancelled upon declaration of loss and that if found, it can. Applying for a replacement of a lost. Where Can I Get Affidavit Of Loss Passport.
From www.pdffiller.com
Fillable Online Affidavit of Loss Passport Fax Email Print pdfFiller Where Can I Get Affidavit Of Loss Passport You were told you needed an affidavit of loss to obtain a replacement for your driver’s license, which you lost on your way home the. That the undersigned fully understands that the said passport is automatically deemed cancelled upon declaration of loss and that if found, it can. Get a new passport at your embassy or consulate. Applying for a. Where Can I Get Affidavit Of Loss Passport.
From www.sampletemplates.com
FREE 16+ Affidavit of Loss Samples & Templates in PDF Where Can I Get Affidavit Of Loss Passport Get a new passport at your embassy or consulate. I am executing this affidavit of loss in connection with my present application for a new passport/travel document. It is recommended to get this at public attorney’s office near your area. File a loss/robbery report at a police station. You were told you needed an affidavit of loss to obtain a. Where Can I Get Affidavit Of Loss Passport.
From www.scribd.com
Affidavit of Loss Passport PDF Passport Affidavit Where Can I Get Affidavit Of Loss Passport Lost your passport you will need to present to the philippines embassy / consulate or the dfa these documents: I am executing this affidavit of loss in connection with my present application for a new passport/travel document. It is recommended to get this at public attorney’s office near your area. The affidavit of loss should. What you need for a. Where Can I Get Affidavit Of Loss Passport.
From www.scribd.com
SampleAffidavit of Loss Passport PDF Where Can I Get Affidavit Of Loss Passport You were told you needed an affidavit of loss to obtain a replacement for your driver’s license, which you lost on your way home the. It is recommended to get this at public attorney’s office near your area. Get a new passport at your embassy or consulate. Lost your passport you will need to present to the philippines embassy /. Where Can I Get Affidavit Of Loss Passport.
From www.scribd.com
Affidavit of Loss Form Passport Affidavit Passport Where Can I Get Affidavit Of Loss Passport Applying for a replacement of a lost valid epassport is treated as a new application, and this includes securing a confirmed online appointment with the department. The affidavit of loss should. I am executing this affidavit of loss in connection with my present application for a new passport/travel document. It is recommended to get this at public attorney’s office near. Where Can I Get Affidavit Of Loss Passport.
From www.pdffiller.com
Fillable Online Affidavit of Loss of Passport Philippine Consulate Where Can I Get Affidavit Of Loss Passport The affidavit of loss should. Applying for a replacement of a lost valid epassport is treated as a new application, and this includes securing a confirmed online appointment with the department. Lost your passport you will need to present to the philippines embassy / consulate or the dfa these documents: Get a new passport at your embassy or consulate. I. Where Can I Get Affidavit Of Loss Passport.
From www.docsity.com
Affidavit of Lost Passport Docsity Where Can I Get Affidavit Of Loss Passport It is recommended to get this at public attorney’s office near your area. I am executing this affidavit of loss in connection with my present application for a new passport/travel document. The affidavit of loss should. Applying for a replacement of a lost valid epassport is treated as a new application, and this includes securing a confirmed online appointment with. Where Can I Get Affidavit Of Loss Passport.
From www.scribd.com
Affidavit of Loss Passport PDF Where Can I Get Affidavit Of Loss Passport It is recommended to get this at public attorney’s office near your area. The affidavit of loss should. Lost your passport you will need to present to the philippines embassy / consulate or the dfa these documents: What you need for a new passport. That the undersigned fully understands that the said passport is automatically deemed cancelled upon declaration of. Where Can I Get Affidavit Of Loss Passport.
From www.scribd.com
Affidavit of Lost Passport PDF Where Can I Get Affidavit Of Loss Passport File a loss/robbery report at a police station. Lost your passport you will need to present to the philippines embassy / consulate or the dfa these documents: What you need for a new passport. I am executing this affidavit of loss in connection with my present application for a new passport/travel document. You were told you needed an affidavit of. Where Can I Get Affidavit Of Loss Passport.
From www.scribd.com
Affidavit of Loss of Passport PDF Affidavit Passport Where Can I Get Affidavit Of Loss Passport I am executing this affidavit of loss in connection with my present application for a new passport/travel document. It is recommended to get this at public attorney’s office near your area. The affidavit of loss should. Applying for a replacement of a lost valid epassport is treated as a new application, and this includes securing a confirmed online appointment with. Where Can I Get Affidavit Of Loss Passport.
From www.formsbank.com
Affidavit Of Loss Of Passport printable pdf download Where Can I Get Affidavit Of Loss Passport The affidavit of loss should. File a loss/robbery report at a police station. Get a new passport at your embassy or consulate. Lost your passport you will need to present to the philippines embassy / consulate or the dfa these documents: It is recommended to get this at public attorney’s office near your area. Applying for a replacement of a. Where Can I Get Affidavit Of Loss Passport.
From www.yumpu.com
AFFIDAVIT FOR APPLYING FOR PASSPORT IN LIEU LOST Where Can I Get Affidavit Of Loss Passport You were told you needed an affidavit of loss to obtain a replacement for your driver’s license, which you lost on your way home the. Get a new passport at your embassy or consulate. That the undersigned fully understands that the said passport is automatically deemed cancelled upon declaration of loss and that if found, it can. What you need. Where Can I Get Affidavit Of Loss Passport.
From www.scribd.com
Affidavit of LossPassport PDF Where Can I Get Affidavit Of Loss Passport It is recommended to get this at public attorney’s office near your area. Lost your passport you will need to present to the philippines embassy / consulate or the dfa these documents: I am executing this affidavit of loss in connection with my present application for a new passport/travel document. What you need for a new passport. Get a new. Where Can I Get Affidavit Of Loss Passport.
From www.scribd.com
Affidavit of Loss passport_sample PDF Where Can I Get Affidavit Of Loss Passport What you need for a new passport. Lost your passport you will need to present to the philippines embassy / consulate or the dfa these documents: File a loss/robbery report at a police station. The affidavit of loss should. Get a new passport at your embassy or consulate. You were told you needed an affidavit of loss to obtain a. Where Can I Get Affidavit Of Loss Passport.
From www.scribd.com
Affidavit of Loss Passport Where Can I Get Affidavit Of Loss Passport File a loss/robbery report at a police station. You were told you needed an affidavit of loss to obtain a replacement for your driver’s license, which you lost on your way home the. It is recommended to get this at public attorney’s office near your area. The affidavit of loss should. That the undersigned fully understands that the said passport. Where Can I Get Affidavit Of Loss Passport.
From www.scribd.com
Affidavit of Loss Passport Template v1.1 PDF Where Can I Get Affidavit Of Loss Passport Lost your passport you will need to present to the philippines embassy / consulate or the dfa these documents: You were told you needed an affidavit of loss to obtain a replacement for your driver’s license, which you lost on your way home the. I am executing this affidavit of loss in connection with my present application for a new. Where Can I Get Affidavit Of Loss Passport.