California Corporations Code Section 5211 . as an aside, nonprofits should not confuse section 5211, prohibition on proxy voting, with california corporations. (a) unless otherwise provided in the articles or in the bylaws, all of the following apply:. california corporations code section 5211. specifically, california corporations code section 5211 provides that unless otherwise stated in a nonprofit. a corporation may provide in its bylaws for delegates having some or all of the authority of members. california corporations code section 5211 is the default rule on special meetings in the absence of a contrary bylaw: under section 5211(b) of the nonprofit corporation law, a board can take action outside of a duly held meeting only if all. (1) meetings of the board may be called by the chair of the. we would like to show you a description here but the site won’t allow us.
from appadvice.com
under section 5211(b) of the nonprofit corporation law, a board can take action outside of a duly held meeting only if all. a corporation may provide in its bylaws for delegates having some or all of the authority of members. california corporations code section 5211 is the default rule on special meetings in the absence of a contrary bylaw: (1) meetings of the board may be called by the chair of the. (a) unless otherwise provided in the articles or in the bylaws, all of the following apply:. specifically, california corporations code section 5211 provides that unless otherwise stated in a nonprofit. as an aside, nonprofits should not confuse section 5211, prohibition on proxy voting, with california corporations. we would like to show you a description here but the site won’t allow us. california corporations code section 5211.
California Corporations Code by Naveen R
California Corporations Code Section 5211 california corporations code section 5211 is the default rule on special meetings in the absence of a contrary bylaw: we would like to show you a description here but the site won’t allow us. (1) meetings of the board may be called by the chair of the. under section 5211(b) of the nonprofit corporation law, a board can take action outside of a duly held meeting only if all. as an aside, nonprofits should not confuse section 5211, prohibition on proxy voting, with california corporations. california corporations code section 5211. california corporations code section 5211 is the default rule on special meetings in the absence of a contrary bylaw: specifically, california corporations code section 5211 provides that unless otherwise stated in a nonprofit. (a) unless otherwise provided in the articles or in the bylaws, all of the following apply:. a corporation may provide in its bylaws for delegates having some or all of the authority of members.
From appadvice.com
California Corporations Code by Naveen R California Corporations Code Section 5211 (1) meetings of the board may be called by the chair of the. as an aside, nonprofits should not confuse section 5211, prohibition on proxy voting, with california corporations. specifically, california corporations code section 5211 provides that unless otherwise stated in a nonprofit. a corporation may provide in its bylaws for delegates having some or all of. California Corporations Code Section 5211.
From www.scribd.com
CA Corporations Code PDF Corporations Chapter 11 California Corporations Code Section 5211 california corporations code section 5211. under section 5211(b) of the nonprofit corporation law, a board can take action outside of a duly held meeting only if all. (a) unless otherwise provided in the articles or in the bylaws, all of the following apply:. california corporations code section 5211 is the default rule on special meetings in the. California Corporations Code Section 5211.
From deanfadlercaliforniacorporationscode.blogspot.com
DEAN FADLER CALIFORNIA CORPORATIONS CODE BLOG TITLE 1. CALIFORNIA California Corporations Code Section 5211 under section 5211(b) of the nonprofit corporation law, a board can take action outside of a duly held meeting only if all. specifically, california corporations code section 5211 provides that unless otherwise stated in a nonprofit. california corporations code section 5211 is the default rule on special meetings in the absence of a contrary bylaw: (a) unless. California Corporations Code Section 5211.
From 2710gatewayoaksdrivesuite150n.info
California Corporations Code Section 1505 Compliance Requirements for California Corporations Code Section 5211 under section 5211(b) of the nonprofit corporation law, a board can take action outside of a duly held meeting only if all. specifically, california corporations code section 5211 provides that unless otherwise stated in a nonprofit. california corporations code section 5211 is the default rule on special meetings in the absence of a contrary bylaw: california. California Corporations Code Section 5211.
From www.templateroller.com
Form DBO260.102.14(C) Download Fillable PDF or Fill Online Notice of California Corporations Code Section 5211 (a) unless otherwise provided in the articles or in the bylaws, all of the following apply:. we would like to show you a description here but the site won’t allow us. california corporations code section 5211 is the default rule on special meetings in the absence of a contrary bylaw: (1) meetings of the board may be called. California Corporations Code Section 5211.
From store.lexisnexis.com
California Corporations Code and Commercial Code with Securities Rules California Corporations Code Section 5211 (a) unless otherwise provided in the articles or in the bylaws, all of the following apply:. california corporations code section 5211. a corporation may provide in its bylaws for delegates having some or all of the authority of members. under section 5211(b) of the nonprofit corporation law, a board can take action outside of a duly held. California Corporations Code Section 5211.
From deanfadlercaliforniacorporationscode.blogspot.com
DEAN FADLER CALIFORNIA CORPORATIONS CODE BLOG TITLE 1. CALIFORNIA California Corporations Code Section 5211 as an aside, nonprofits should not confuse section 5211, prohibition on proxy voting, with california corporations. california corporations code section 5211. specifically, california corporations code section 5211 provides that unless otherwise stated in a nonprofit. under section 5211(b) of the nonprofit corporation law, a board can take action outside of a duly held meeting only if. California Corporations Code Section 5211.
From store.lexisnexis.com
Deering's California Corporations Code Annotated LexisNexis Store California Corporations Code Section 5211 as an aside, nonprofits should not confuse section 5211, prohibition on proxy voting, with california corporations. (a) unless otherwise provided in the articles or in the bylaws, all of the following apply:. a corporation may provide in its bylaws for delegates having some or all of the authority of members. california corporations code section 5211 is the. California Corporations Code Section 5211.
From www.corporatesecuritieslawblog.com
California Court of Appeal Reaffirms Broad Inspection Rights Accorded California Corporations Code Section 5211 we would like to show you a description here but the site won’t allow us. (a) unless otherwise provided in the articles or in the bylaws, all of the following apply:. as an aside, nonprofits should not confuse section 5211, prohibition on proxy voting, with california corporations. (1) meetings of the board may be called by the chair. California Corporations Code Section 5211.
From www.templateroller.com
Form DBO260.102.14(C) Download Fillable PDF or Fill Online Notice of California Corporations Code Section 5211 a corporation may provide in its bylaws for delegates having some or all of the authority of members. california corporations code section 5211. (1) meetings of the board may be called by the chair of the. as an aside, nonprofits should not confuse section 5211, prohibition on proxy voting, with california corporations. california corporations code section. California Corporations Code Section 5211.
From www.templateroller.com
Form DBO25102(N) Download Fillable PDF or Fill Online Limited Offering California Corporations Code Section 5211 a corporation may provide in its bylaws for delegates having some or all of the authority of members. (1) meetings of the board may be called by the chair of the. specifically, california corporations code section 5211 provides that unless otherwise stated in a nonprofit. california corporations code section 5211. under section 5211(b) of the nonprofit. California Corporations Code Section 5211.
From deanfadlercaliforniacorporationscode.blogspot.com
DEAN FADLER CALIFORNIA CORPORATIONS CODE BLOG TITLE 1. CALIFORNIA California Corporations Code Section 5211 a corporation may provide in its bylaws for delegates having some or all of the authority of members. under section 5211(b) of the nonprofit corporation law, a board can take action outside of a duly held meeting only if all. (1) meetings of the board may be called by the chair of the. (a) unless otherwise provided in. California Corporations Code Section 5211.
From www.templateroller.com
Form DFPI260.102.14(C) Download Fillable PDF or Fill Online Notice of California Corporations Code Section 5211 california corporations code section 5211 is the default rule on special meetings in the absence of a contrary bylaw: (1) meetings of the board may be called by the chair of the. (a) unless otherwise provided in the articles or in the bylaws, all of the following apply:. a corporation may provide in its bylaws for delegates having. California Corporations Code Section 5211.
From www.templateroller.com
Form DBO25102(N) Download Fillable PDF or Fill Online Limited Offering California Corporations Code Section 5211 california corporations code section 5211. specifically, california corporations code section 5211 provides that unless otherwise stated in a nonprofit. (a) unless otherwise provided in the articles or in the bylaws, all of the following apply:. we would like to show you a description here but the site won’t allow us. a corporation may provide in its. California Corporations Code Section 5211.
From www.formsbank.com
Barclays Official California Code Of Regulations Form Department Of California Corporations Code Section 5211 we would like to show you a description here but the site won’t allow us. as an aside, nonprofits should not confuse section 5211, prohibition on proxy voting, with california corporations. a corporation may provide in its bylaws for delegates having some or all of the authority of members. (a) unless otherwise provided in the articles or. California Corporations Code Section 5211.
From www.templateroller.com
Form DFPI25102(N) Download Fillable PDF or Fill Online First Notice of California Corporations Code Section 5211 california corporations code section 5211 is the default rule on special meetings in the absence of a contrary bylaw: under section 5211(b) of the nonprofit corporation law, a board can take action outside of a duly held meeting only if all. as an aside, nonprofits should not confuse section 5211, prohibition on proxy voting, with california corporations.. California Corporations Code Section 5211.
From www.formsbank.com
Fillable Secretary Of State Form 1505 Certificate Pursuant To Section California Corporations Code Section 5211 we would like to show you a description here but the site won’t allow us. a corporation may provide in its bylaws for delegates having some or all of the authority of members. specifically, california corporations code section 5211 provides that unless otherwise stated in a nonprofit. california corporations code section 5211. (1) meetings of the. California Corporations Code Section 5211.
From www.templateroller.com
Form DFPI260.102.14(C) Download Fillable PDF or Fill Online Notice of California Corporations Code Section 5211 california corporations code section 5211 is the default rule on special meetings in the absence of a contrary bylaw: (a) unless otherwise provided in the articles or in the bylaws, all of the following apply:. as an aside, nonprofits should not confuse section 5211, prohibition on proxy voting, with california corporations. we would like to show you. California Corporations Code Section 5211.
From www.templateroller.com
Form DBO25102(N) Download Fillable PDF or Fill Online Limited Offering California Corporations Code Section 5211 california corporations code section 5211. we would like to show you a description here but the site won’t allow us. (a) unless otherwise provided in the articles or in the bylaws, all of the following apply:. (1) meetings of the board may be called by the chair of the. specifically, california corporations code section 5211 provides that. California Corporations Code Section 5211.
From www.templateroller.com
Form DBO25102(N) Download Fillable PDF or Fill Online Limited Offering California Corporations Code Section 5211 (a) unless otherwise provided in the articles or in the bylaws, all of the following apply:. under section 5211(b) of the nonprofit corporation law, a board can take action outside of a duly held meeting only if all. california corporations code section 5211 is the default rule on special meetings in the absence of a contrary bylaw: . California Corporations Code Section 5211.
From www.scribd.com
Revised Corporation Code Key Sections Explained PDF Stocks California Corporations Code Section 5211 a corporation may provide in its bylaws for delegates having some or all of the authority of members. as an aside, nonprofits should not confuse section 5211, prohibition on proxy voting, with california corporations. (a) unless otherwise provided in the articles or in the bylaws, all of the following apply:. specifically, california corporations code section 5211 provides. California Corporations Code Section 5211.
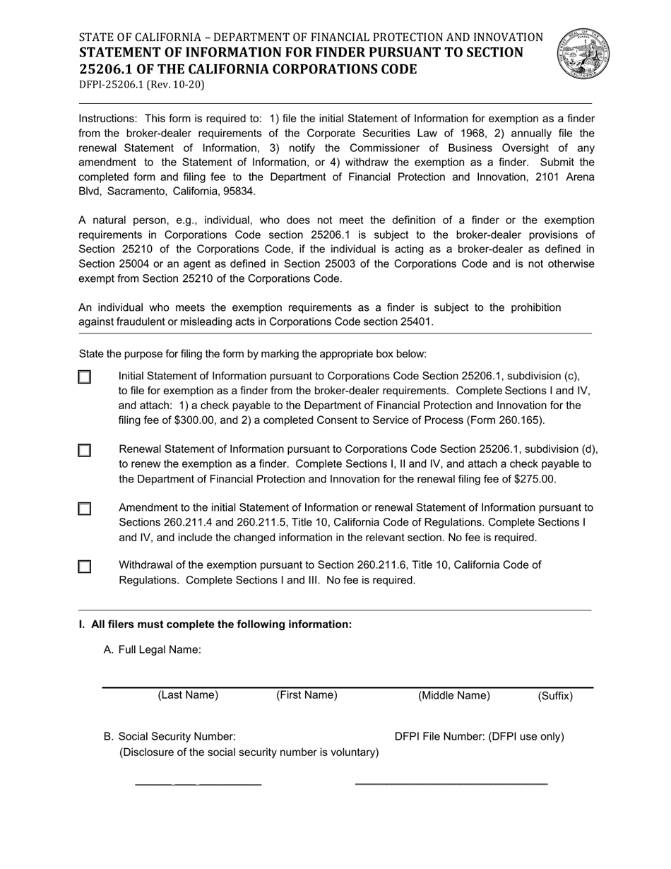
From www.templateroller.com
Form DFPI25206.1 Download Fillable PDF or Fill Online Statement of California Corporations Code Section 5211 (a) unless otherwise provided in the articles or in the bylaws, all of the following apply:. california corporations code section 5211 is the default rule on special meetings in the absence of a contrary bylaw: we would like to show you a description here but the site won’t allow us. as an aside, nonprofits should not confuse. California Corporations Code Section 5211.
From 2710gatewayoaksdrivesuite150n.info
California Corporations Code Section 1505 Compliance Requirements for California Corporations Code Section 5211 (1) meetings of the board may be called by the chair of the. california corporations code section 5211. as an aside, nonprofits should not confuse section 5211, prohibition on proxy voting, with california corporations. under section 5211(b) of the nonprofit corporation law, a board can take action outside of a duly held meeting only if all. . California Corporations Code Section 5211.
From www.templateroller.com
Form DFPI260.102.14(C) Download Fillable PDF or Fill Online Notice of California Corporations Code Section 5211 under section 5211(b) of the nonprofit corporation law, a board can take action outside of a duly held meeting only if all. as an aside, nonprofits should not confuse section 5211, prohibition on proxy voting, with california corporations. specifically, california corporations code section 5211 provides that unless otherwise stated in a nonprofit. (a) unless otherwise provided in. California Corporations Code Section 5211.
From deanfadlercaliforniacorporationscode.blogspot.com
DEAN FADLER CALIFORNIA CORPORATIONS CODE BLOG TITLE 1. CALIFORNIA California Corporations Code Section 5211 california corporations code section 5211. a corporation may provide in its bylaws for delegates having some or all of the authority of members. (1) meetings of the board may be called by the chair of the. as an aside, nonprofits should not confuse section 5211, prohibition on proxy voting, with california corporations. specifically, california corporations code. California Corporations Code Section 5211.
From www.templateroller.com
Form DBO25102(N) Download Fillable PDF or Fill Online Limited Offering California Corporations Code Section 5211 california corporations code section 5211 is the default rule on special meetings in the absence of a contrary bylaw: under section 5211(b) of the nonprofit corporation law, a board can take action outside of a duly held meeting only if all. as an aside, nonprofits should not confuse section 5211, prohibition on proxy voting, with california corporations.. California Corporations Code Section 5211.
From www.templateroller.com
Form DBO25102(N) Download Fillable PDF or Fill Online Limited Offering California Corporations Code Section 5211 as an aside, nonprofits should not confuse section 5211, prohibition on proxy voting, with california corporations. (a) unless otherwise provided in the articles or in the bylaws, all of the following apply:. california corporations code section 5211. specifically, california corporations code section 5211 provides that unless otherwise stated in a nonprofit. california corporations code section 5211. California Corporations Code Section 5211.
From www.templateroller.com
Form DFPI260.102.14(C) Download Fillable PDF or Fill Online Notice of California Corporations Code Section 5211 (a) unless otherwise provided in the articles or in the bylaws, all of the following apply:. specifically, california corporations code section 5211 provides that unless otherwise stated in a nonprofit. (1) meetings of the board may be called by the chair of the. california corporations code section 5211. under section 5211(b) of the nonprofit corporation law, a. California Corporations Code Section 5211.
From store.lexisnexis.com
Parker's California Corporations Code LexisNexis Store California Corporations Code Section 5211 specifically, california corporations code section 5211 provides that unless otherwise stated in a nonprofit. california corporations code section 5211. (1) meetings of the board may be called by the chair of the. we would like to show you a description here but the site won’t allow us. a corporation may provide in its bylaws for delegates. California Corporations Code Section 5211.
From www.templateroller.com
Form DBO25102(N) Download Fillable PDF or Fill Online Limited Offering California Corporations Code Section 5211 as an aside, nonprofits should not confuse section 5211, prohibition on proxy voting, with california corporations. california corporations code section 5211. (1) meetings of the board may be called by the chair of the. specifically, california corporations code section 5211 provides that unless otherwise stated in a nonprofit. we would like to show you a description. California Corporations Code Section 5211.
From www.pdffiller.com
Fillable Online Using California Corporations Code Section 2000 to California Corporations Code Section 5211 (a) unless otherwise provided in the articles or in the bylaws, all of the following apply:. as an aside, nonprofits should not confuse section 5211, prohibition on proxy voting, with california corporations. a corporation may provide in its bylaws for delegates having some or all of the authority of members. we would like to show you a. California Corporations Code Section 5211.
From www.templateroller.com
Form DBO25102(N) Download Fillable PDF or Fill Online Limited Offering California Corporations Code Section 5211 under section 5211(b) of the nonprofit corporation law, a board can take action outside of a duly held meeting only if all. california corporations code section 5211. specifically, california corporations code section 5211 provides that unless otherwise stated in a nonprofit. california corporations code section 5211 is the default rule on special meetings in the absence. California Corporations Code Section 5211.
From www.templateroller.com
Form DFPI260.102.14(C) Download Fillable PDF or Fill Online Notice of California Corporations Code Section 5211 we would like to show you a description here but the site won’t allow us. a corporation may provide in its bylaws for delegates having some or all of the authority of members. (a) unless otherwise provided in the articles or in the bylaws, all of the following apply:. as an aside, nonprofits should not confuse section. California Corporations Code Section 5211.
From www.pdffiller.com
Fillable Online Form 1505. California Corporations Code Section 1505 California Corporations Code Section 5211 california corporations code section 5211. (a) unless otherwise provided in the articles or in the bylaws, all of the following apply:. under section 5211(b) of the nonprofit corporation law, a board can take action outside of a duly held meeting only if all. a corporation may provide in its bylaws for delegates having some or all of. California Corporations Code Section 5211.
From www.templateroller.com
Form DBO260.102.14(C) Download Fillable PDF or Fill Online Notice of California Corporations Code Section 5211 specifically, california corporations code section 5211 provides that unless otherwise stated in a nonprofit. a corporation may provide in its bylaws for delegates having some or all of the authority of members. california corporations code section 5211. (1) meetings of the board may be called by the chair of the. california corporations code section 5211 is. California Corporations Code Section 5211.