Absolute Pressure Of Tires . For reasons we will explore later, in most cases the absolute pressure in fluids cannot be negative. A problem in our text asks to solve for the mass of a car and provides you with the area of contact of. Running your tires at the correct pressure is important. Absolute pressure is the sum of gauge pressure and atmospheric pressure. Why does the gauge read zero? P abs = p g + p atm where p abs is absolute. The recommended tire pressure is the pressure established by the manufacturer of your car as the optimal air pressure for your tires. There is no mystery here. I did some more research, and found that this is because tpms system in the vehicle gives you a type of absolute pressure. The total pressure, or absolute pressure, is thus the sum of gauge pressure and atmospheric pressure: Measuring pressure in various equipment, from vehicle tires to irrigation systems, is a common task that requires understanding psi, or pounds per square inch. A pressure gauge is an instrument used to measure the force exerted by a fluid or gas within a container. Tire gauges are simply designed to read zero at atmospheric pressure and positive when pressure is greater than atmospheric.
from www.chegg.com
Measuring pressure in various equipment, from vehicle tires to irrigation systems, is a common task that requires understanding psi, or pounds per square inch. I did some more research, and found that this is because tpms system in the vehicle gives you a type of absolute pressure. Why does the gauge read zero? Running your tires at the correct pressure is important. For reasons we will explore later, in most cases the absolute pressure in fluids cannot be negative. Tire gauges are simply designed to read zero at atmospheric pressure and positive when pressure is greater than atmospheric. There is no mystery here. The recommended tire pressure is the pressure established by the manufacturer of your car as the optimal air pressure for your tires. The total pressure, or absolute pressure, is thus the sum of gauge pressure and atmospheric pressure: Absolute pressure is the sum of gauge pressure and atmospheric pressure.
Solved An automobile tire is filled to an absolute pressure
Absolute Pressure Of Tires Absolute pressure is the sum of gauge pressure and atmospheric pressure. I did some more research, and found that this is because tpms system in the vehicle gives you a type of absolute pressure. Why does the gauge read zero? The recommended tire pressure is the pressure established by the manufacturer of your car as the optimal air pressure for your tires. A pressure gauge is an instrument used to measure the force exerted by a fluid or gas within a container. P abs = p g + p atm where p abs is absolute. Running your tires at the correct pressure is important. A problem in our text asks to solve for the mass of a car and provides you with the area of contact of. The total pressure, or absolute pressure, is thus the sum of gauge pressure and atmospheric pressure: There is no mystery here. Absolute pressure is the sum of gauge pressure and atmospheric pressure. Tire gauges are simply designed to read zero at atmospheric pressure and positive when pressure is greater than atmospheric. Measuring pressure in various equipment, from vehicle tires to irrigation systems, is a common task that requires understanding psi, or pounds per square inch. For reasons we will explore later, in most cases the absolute pressure in fluids cannot be negative.
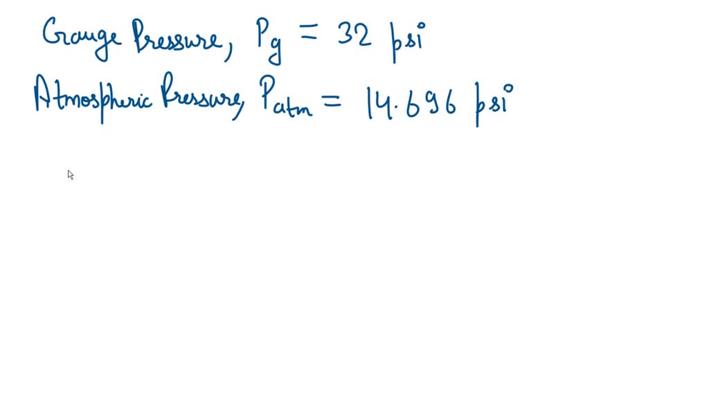
From www.coyoteents.com
TEMPERATURE AND TIRE PRESSURE Coyote Enterprises Absolute Pressure Of Tires Tire gauges are simply designed to read zero at atmospheric pressure and positive when pressure is greater than atmospheric. The recommended tire pressure is the pressure established by the manufacturer of your car as the optimal air pressure for your tires. For reasons we will explore later, in most cases the absolute pressure in fluids cannot be negative. Why does. Absolute Pressure Of Tires.
From www.infobarrel.com
Tire Pressure Chart Keeping Your Tire Pressure In Check InfoBarrel Absolute Pressure Of Tires P abs = p g + p atm where p abs is absolute. There is no mystery here. The total pressure, or absolute pressure, is thus the sum of gauge pressure and atmospheric pressure: Absolute pressure is the sum of gauge pressure and atmospheric pressure. Running your tires at the correct pressure is important. Measuring pressure in various equipment, from. Absolute Pressure Of Tires.
From exycjqvox.blob.core.windows.net
Absolute Pressure Means What at Olga Ware blog Absolute Pressure Of Tires Measuring pressure in various equipment, from vehicle tires to irrigation systems, is a common task that requires understanding psi, or pounds per square inch. P abs = p g + p atm where p abs is absolute. A problem in our text asks to solve for the mass of a car and provides you with the area of contact of.. Absolute Pressure Of Tires.
From www.chegg.com
Solved The pressure in an automobile tire depends on the Absolute Pressure Of Tires The total pressure, or absolute pressure, is thus the sum of gauge pressure and atmospheric pressure: There is no mystery here. P abs = p g + p atm where p abs is absolute. Measuring pressure in various equipment, from vehicle tires to irrigation systems, is a common task that requires understanding psi, or pounds per square inch. A pressure. Absolute Pressure Of Tires.
From www.numerade.com
SOLVEDA bicycle tire whose volume is 4.1 ×10^4 m^3 has a temperature Absolute Pressure Of Tires The total pressure, or absolute pressure, is thus the sum of gauge pressure and atmospheric pressure: A pressure gauge is an instrument used to measure the force exerted by a fluid or gas within a container. The recommended tire pressure is the pressure established by the manufacturer of your car as the optimal air pressure for your tires. Measuring pressure. Absolute Pressure Of Tires.
From www.motorbiscuit.com
How Does a Tire Pressure Monitoring System Work? Absolute Pressure Of Tires P abs = p g + p atm where p abs is absolute. I did some more research, and found that this is because tpms system in the vehicle gives you a type of absolute pressure. There is no mystery here. The recommended tire pressure is the pressure established by the manufacturer of your car as the optimal air pressure. Absolute Pressure Of Tires.
From www.chegg.com
Solved The pressure in an automobile tire depends on the Absolute Pressure Of Tires A problem in our text asks to solve for the mass of a car and provides you with the area of contact of. I did some more research, and found that this is because tpms system in the vehicle gives you a type of absolute pressure. Tire gauges are simply designed to read zero at atmospheric pressure and positive when. Absolute Pressure Of Tires.
From cyclingabout.com
What Tyre Pressure Should You Use for Bicycle Touring? Absolute Pressure Of Tires Measuring pressure in various equipment, from vehicle tires to irrigation systems, is a common task that requires understanding psi, or pounds per square inch. I did some more research, and found that this is because tpms system in the vehicle gives you a type of absolute pressure. Tire gauges are simply designed to read zero at atmospheric pressure and positive. Absolute Pressure Of Tires.
From www.snowys.com.au
Why 4WD Tyre Pressures Are Important Snowys Blog Absolute Pressure Of Tires The total pressure, or absolute pressure, is thus the sum of gauge pressure and atmospheric pressure: Running your tires at the correct pressure is important. There is no mystery here. P abs = p g + p atm where p abs is absolute. Tire gauges are simply designed to read zero at atmospheric pressure and positive when pressure is greater. Absolute Pressure Of Tires.
From fixdiagramkathy99.z19.web.core.windows.net
Specialized Tire Pressure Guide Absolute Pressure Of Tires Tire gauges are simply designed to read zero at atmospheric pressure and positive when pressure is greater than atmospheric. Absolute pressure is the sum of gauge pressure and atmospheric pressure. I did some more research, and found that this is because tpms system in the vehicle gives you a type of absolute pressure. Running your tires at the correct pressure. Absolute Pressure Of Tires.
From www.youtube.com
What is the Proper Tire Pressure? YouTube Absolute Pressure Of Tires Tire gauges are simply designed to read zero at atmospheric pressure and positive when pressure is greater than atmospheric. A pressure gauge is an instrument used to measure the force exerted by a fluid or gas within a container. Why does the gauge read zero? Absolute pressure is the sum of gauge pressure and atmospheric pressure. For reasons we will. Absolute Pressure Of Tires.
From measuringstuff.com
Measuring Tire Pressure How Much Air Do My Tires Need? Measuring Stuff Absolute Pressure Of Tires A problem in our text asks to solve for the mass of a car and provides you with the area of contact of. A pressure gauge is an instrument used to measure the force exerted by a fluid or gas within a container. Measuring pressure in various equipment, from vehicle tires to irrigation systems, is a common task that requires. Absolute Pressure Of Tires.
From tiregrades.com
How To Calculate Tire Pressure For Bigger Tires (Or Smaller) TireGrades Absolute Pressure Of Tires Running your tires at the correct pressure is important. Measuring pressure in various equipment, from vehicle tires to irrigation systems, is a common task that requires understanding psi, or pounds per square inch. A pressure gauge is an instrument used to measure the force exerted by a fluid or gas within a container. P abs = p g + p. Absolute Pressure Of Tires.
From www.pirelli.cn
Tyre Pressure for Your Tyres Pirelli Absolute Pressure Of Tires The total pressure, or absolute pressure, is thus the sum of gauge pressure and atmospheric pressure: I did some more research, and found that this is because tpms system in the vehicle gives you a type of absolute pressure. Absolute pressure is the sum of gauge pressure and atmospheric pressure. There is no mystery here. Tire gauges are simply designed. Absolute Pressure Of Tires.
From www.chegg.com
Solved The air pressure within the bicycle tire is Absolute Pressure Of Tires The total pressure, or absolute pressure, is thus the sum of gauge pressure and atmospheric pressure: There is no mystery here. Measuring pressure in various equipment, from vehicle tires to irrigation systems, is a common task that requires understanding psi, or pounds per square inch. The recommended tire pressure is the pressure established by the manufacturer of your car as. Absolute Pressure Of Tires.
From liamhowells.z19.web.core.windows.net
Tire Pressure Chart For Cars Absolute Pressure Of Tires The total pressure, or absolute pressure, is thus the sum of gauge pressure and atmospheric pressure: For reasons we will explore later, in most cases the absolute pressure in fluids cannot be negative. Measuring pressure in various equipment, from vehicle tires to irrigation systems, is a common task that requires understanding psi, or pounds per square inch. Running your tires. Absolute Pressure Of Tires.
From giyopumps.com
How to Optimize Your Bike's Tire Pressure for Maximum Performance Giyo Absolute Pressure Of Tires P abs = p g + p atm where p abs is absolute. Tire gauges are simply designed to read zero at atmospheric pressure and positive when pressure is greater than atmospheric. A problem in our text asks to solve for the mass of a car and provides you with the area of contact of. For reasons we will explore. Absolute Pressure Of Tires.
From www.hankooktire.com
Tire Pressure Tire Care Guide Hankook Tire US site Absolute Pressure Of Tires Absolute pressure is the sum of gauge pressure and atmospheric pressure. A problem in our text asks to solve for the mass of a car and provides you with the area of contact of. The recommended tire pressure is the pressure established by the manufacturer of your car as the optimal air pressure for your tires. P abs = p. Absolute Pressure Of Tires.
From www.justchartit.com
bike tire pressure chart ᐉ Tire PSI by Rider Age & Weight Absolute Pressure Of Tires A pressure gauge is an instrument used to measure the force exerted by a fluid or gas within a container. Measuring pressure in various equipment, from vehicle tires to irrigation systems, is a common task that requires understanding psi, or pounds per square inch. P abs = p g + p atm where p abs is absolute. I did some. Absolute Pressure Of Tires.
From www.gravelcyclist.com
Gravel Bike Tyre / Tire Pressure Guidelines by ENVE Composites Absolute Pressure Of Tires Measuring pressure in various equipment, from vehicle tires to irrigation systems, is a common task that requires understanding psi, or pounds per square inch. A pressure gauge is an instrument used to measure the force exerted by a fluid or gas within a container. Absolute pressure is the sum of gauge pressure and atmospheric pressure. There is no mystery here.. Absolute Pressure Of Tires.
From www.wetrytires.com
How To Read A Tire Pressure Gauge? We Try Tires Absolute Pressure Of Tires Absolute pressure is the sum of gauge pressure and atmospheric pressure. The total pressure, or absolute pressure, is thus the sum of gauge pressure and atmospheric pressure: For reasons we will explore later, in most cases the absolute pressure in fluids cannot be negative. The recommended tire pressure is the pressure established by the manufacturer of your car as the. Absolute Pressure Of Tires.
From dad-camp.com
When And How To Check Your Tire Pressure DadCAMP Absolute Pressure Of Tires P abs = p g + p atm where p abs is absolute. I did some more research, and found that this is because tpms system in the vehicle gives you a type of absolute pressure. Running your tires at the correct pressure is important. Absolute pressure is the sum of gauge pressure and atmospheric pressure. Tire gauges are simply. Absolute Pressure Of Tires.
From www.chegg.com
Solved An automobile tire is filled to an absolute pressure Absolute Pressure Of Tires P abs = p g + p atm where p abs is absolute. Running your tires at the correct pressure is important. A pressure gauge is an instrument used to measure the force exerted by a fluid or gas within a container. I did some more research, and found that this is because tpms system in the vehicle gives you. Absolute Pressure Of Tires.
From www.slideserve.com
PPT Tire Tech 101 PowerPoint Presentation, free download ID3146882 Absolute Pressure Of Tires Tire gauges are simply designed to read zero at atmospheric pressure and positive when pressure is greater than atmospheric. The total pressure, or absolute pressure, is thus the sum of gauge pressure and atmospheric pressure: Absolute pressure is the sum of gauge pressure and atmospheric pressure. There is no mystery here. Measuring pressure in various equipment, from vehicle tires to. Absolute Pressure Of Tires.
From www.numerade.com
SOLVED A tire gauge shows a pressure of 30 psi. What is the absolute Absolute Pressure Of Tires Measuring pressure in various equipment, from vehicle tires to irrigation systems, is a common task that requires understanding psi, or pounds per square inch. Why does the gauge read zero? Running your tires at the correct pressure is important. I did some more research, and found that this is because tpms system in the vehicle gives you a type of. Absolute Pressure Of Tires.
From graceholloway.z13.web.core.windows.net
Tire Pressure Vs Temperature Chart Absolute Pressure Of Tires P abs = p g + p atm where p abs is absolute. Why does the gauge read zero? Measuring pressure in various equipment, from vehicle tires to irrigation systems, is a common task that requires understanding psi, or pounds per square inch. The total pressure, or absolute pressure, is thus the sum of gauge pressure and atmospheric pressure: Absolute. Absolute Pressure Of Tires.
From www.youtube.com
TIRE PRESSURE 2 MINUTE TIP PROPER TIRE PRESSURE FOR TOWING YouTube Absolute Pressure Of Tires Measuring pressure in various equipment, from vehicle tires to irrigation systems, is a common task that requires understanding psi, or pounds per square inch. Absolute pressure is the sum of gauge pressure and atmospheric pressure. Running your tires at the correct pressure is important. A problem in our text asks to solve for the mass of a car and provides. Absolute Pressure Of Tires.
From www.nemfg.com
Absolute And Gauge Pressure Choosing the Right Tire Gauge Absolute Pressure Of Tires A problem in our text asks to solve for the mass of a car and provides you with the area of contact of. Why does the gauge read zero? Absolute pressure is the sum of gauge pressure and atmospheric pressure. Tire gauges are simply designed to read zero at atmospheric pressure and positive when pressure is greater than atmospheric. P. Absolute Pressure Of Tires.
From point-s.ca
What is my Vehicle's Tire Inflation Pressure? Point S Absolute Pressure Of Tires Absolute pressure is the sum of gauge pressure and atmospheric pressure. There is no mystery here. A problem in our text asks to solve for the mass of a car and provides you with the area of contact of. Measuring pressure in various equipment, from vehicle tires to irrigation systems, is a common task that requires understanding psi, or pounds. Absolute Pressure Of Tires.
From bicycles.stackexchange.com
tire What is the relationship between tyre pressure and weight Absolute Pressure Of Tires Measuring pressure in various equipment, from vehicle tires to irrigation systems, is a common task that requires understanding psi, or pounds per square inch. Running your tires at the correct pressure is important. The recommended tire pressure is the pressure established by the manufacturer of your car as the optimal air pressure for your tires. Absolute pressure is the sum. Absolute Pressure Of Tires.
From www.333fab.com
Mountain Bike Tire Pressure Everything You Need to Know (2023) Absolute Pressure Of Tires Running your tires at the correct pressure is important. There is no mystery here. I did some more research, and found that this is because tpms system in the vehicle gives you a type of absolute pressure. A pressure gauge is an instrument used to measure the force exerted by a fluid or gas within a container. Measuring pressure in. Absolute Pressure Of Tires.
From www.continental-tires.com
Tire pressure Continental Tires Absolute Pressure Of Tires There is no mystery here. The total pressure, or absolute pressure, is thus the sum of gauge pressure and atmospheric pressure: A pressure gauge is an instrument used to measure the force exerted by a fluid or gas within a container. Why does the gauge read zero? For reasons we will explore later, in most cases the absolute pressure in. Absolute Pressure Of Tires.
From pitstopproducts.com
How To Check Tyre Pressure With A Tyre Pressure Gauge Pitstop Products Absolute Pressure Of Tires A problem in our text asks to solve for the mass of a car and provides you with the area of contact of. Why does the gauge read zero? Running your tires at the correct pressure is important. P abs = p g + p atm where p abs is absolute. The recommended tire pressure is the pressure established by. Absolute Pressure Of Tires.
From www.chegg.com
Solved Q2 The pressure in an automobile tire depends on the Absolute Pressure Of Tires A problem in our text asks to solve for the mass of a car and provides you with the area of contact of. The recommended tire pressure is the pressure established by the manufacturer of your car as the optimal air pressure for your tires. Absolute pressure is the sum of gauge pressure and atmospheric pressure. P abs = p. Absolute Pressure Of Tires.
From www.youtube.com
How to Know the Correct Tire Pressure for Your Car YouTube Absolute Pressure Of Tires For reasons we will explore later, in most cases the absolute pressure in fluids cannot be negative. Measuring pressure in various equipment, from vehicle tires to irrigation systems, is a common task that requires understanding psi, or pounds per square inch. There is no mystery here. The recommended tire pressure is the pressure established by the manufacturer of your car. Absolute Pressure Of Tires.