Pa Tax Exempt Form Capital Improvement . Claim exemptions from sales tax for the purpose of resale. Yes, sales and use tax is exempt for construction materials and tangible personal property purchased by a construction. If the contractor can answer yes to all three of the following questions, the contractor is entitled to an exemption and. Sales, use and hotel occupancy tax forms. To help pennsylvania contractors and their customers better understand sales and use tax, let’s take a look at which party bears responsibility and whether the. A construction contractor may purchase certain items exempt from sales tax that it transfers to a government agency or. Now if a contractor is working for an exempt entity, either a charity, the government or a qualified business in a keystone opportunity. Select the type of tax for which you are claiming an exemption, e.g., to claim a.
from www.formsbank.com
Yes, sales and use tax is exempt for construction materials and tangible personal property purchased by a construction. Claim exemptions from sales tax for the purpose of resale. If the contractor can answer yes to all three of the following questions, the contractor is entitled to an exemption and. To help pennsylvania contractors and their customers better understand sales and use tax, let’s take a look at which party bears responsibility and whether the. Sales, use and hotel occupancy tax forms. Now if a contractor is working for an exempt entity, either a charity, the government or a qualified business in a keystone opportunity. A construction contractor may purchase certain items exempt from sales tax that it transfers to a government agency or. Select the type of tax for which you are claiming an exemption, e.g., to claim a.
Local Services Tax Exemption Certificate Pennsylvania Capital Tax
Pa Tax Exempt Form Capital Improvement Select the type of tax for which you are claiming an exemption, e.g., to claim a. To help pennsylvania contractors and their customers better understand sales and use tax, let’s take a look at which party bears responsibility and whether the. If the contractor can answer yes to all three of the following questions, the contractor is entitled to an exemption and. Yes, sales and use tax is exempt for construction materials and tangible personal property purchased by a construction. Select the type of tax for which you are claiming an exemption, e.g., to claim a. Sales, use and hotel occupancy tax forms. Claim exemptions from sales tax for the purpose of resale. A construction contractor may purchase certain items exempt from sales tax that it transfers to a government agency or. Now if a contractor is working for an exempt entity, either a charity, the government or a qualified business in a keystone opportunity.
From www.exemptform.com
Form Rev 1220 Pennsylvania Exemption Certificate Printable Pdf Download Pa Tax Exempt Form Capital Improvement If the contractor can answer yes to all three of the following questions, the contractor is entitled to an exemption and. Now if a contractor is working for an exempt entity, either a charity, the government or a qualified business in a keystone opportunity. To help pennsylvania contractors and their customers better understand sales and use tax, let’s take a. Pa Tax Exempt Form Capital Improvement.
From www.formsbank.com
Fillable Form Rp421L Application For Real Property Tax Exemption Pa Tax Exempt Form Capital Improvement A construction contractor may purchase certain items exempt from sales tax that it transfers to a government agency or. If the contractor can answer yes to all three of the following questions, the contractor is entitled to an exemption and. Now if a contractor is working for an exempt entity, either a charity, the government or a qualified business in. Pa Tax Exempt Form Capital Improvement.
From www.formsbank.com
Fillable Form St8 Certificate Of Exempt Capital Improvement Pa Tax Exempt Form Capital Improvement Now if a contractor is working for an exempt entity, either a charity, the government or a qualified business in a keystone opportunity. A construction contractor may purchase certain items exempt from sales tax that it transfers to a government agency or. Sales, use and hotel occupancy tax forms. To help pennsylvania contractors and their customers better understand sales and. Pa Tax Exempt Form Capital Improvement.
From www.signnow.com
How to Get a Pa Tax Exempt Number Form Fill Out and Sign Printable Pa Tax Exempt Form Capital Improvement Claim exemptions from sales tax for the purpose of resale. Yes, sales and use tax is exempt for construction materials and tangible personal property purchased by a construction. A construction contractor may purchase certain items exempt from sales tax that it transfers to a government agency or. Now if a contractor is working for an exempt entity, either a charity,. Pa Tax Exempt Form Capital Improvement.
From www.exemptform.com
Pa Tax Exempt Form Rev 1220 Pa Tax Exempt Form Capital Improvement Sales, use and hotel occupancy tax forms. Now if a contractor is working for an exempt entity, either a charity, the government or a qualified business in a keystone opportunity. Select the type of tax for which you are claiming an exemption, e.g., to claim a. Yes, sales and use tax is exempt for construction materials and tangible personal property. Pa Tax Exempt Form Capital Improvement.
From klagirdqs.blob.core.windows.net
Pennsylvania Tax Exemption Lookup at Adelaida Rutter blog Pa Tax Exempt Form Capital Improvement Select the type of tax for which you are claiming an exemption, e.g., to claim a. Now if a contractor is working for an exempt entity, either a charity, the government or a qualified business in a keystone opportunity. If the contractor can answer yes to all three of the following questions, the contractor is entitled to an exemption and.. Pa Tax Exempt Form Capital Improvement.
From www.templateroller.com
2023 City of Philadelphia, Pennsylvania Application for Exemption of Pa Tax Exempt Form Capital Improvement Claim exemptions from sales tax for the purpose of resale. Select the type of tax for which you are claiming an exemption, e.g., to claim a. Now if a contractor is working for an exempt entity, either a charity, the government or a qualified business in a keystone opportunity. If the contractor can answer yes to all three of the. Pa Tax Exempt Form Capital Improvement.
From www.exemptform.com
Form Rev 1220 As Pennsylvania Exemption Certificate 2006 Printable Pa Tax Exempt Form Capital Improvement If the contractor can answer yes to all three of the following questions, the contractor is entitled to an exemption and. A construction contractor may purchase certain items exempt from sales tax that it transfers to a government agency or. Now if a contractor is working for an exempt entity, either a charity, the government or a qualified business in. Pa Tax Exempt Form Capital Improvement.
From www.uslegalforms.com
PA REV956 20202022 Fill out Tax Template Online US Legal Forms Pa Tax Exempt Form Capital Improvement Now if a contractor is working for an exempt entity, either a charity, the government or a qualified business in a keystone opportunity. Yes, sales and use tax is exempt for construction materials and tangible personal property purchased by a construction. To help pennsylvania contractors and their customers better understand sales and use tax, let’s take a look at which. Pa Tax Exempt Form Capital Improvement.
From www.formsbank.com
Local Services Tax Exemption Certificate Pennsylvania Capital Tax Pa Tax Exempt Form Capital Improvement To help pennsylvania contractors and their customers better understand sales and use tax, let’s take a look at which party bears responsibility and whether the. Sales, use and hotel occupancy tax forms. Select the type of tax for which you are claiming an exemption, e.g., to claim a. If the contractor can answer yes to all three of the following. Pa Tax Exempt Form Capital Improvement.
From www.exemptform.com
2023 Tax Exemption Form Pennsylvania Pa Tax Exempt Form Capital Improvement A construction contractor may purchase certain items exempt from sales tax that it transfers to a government agency or. Now if a contractor is working for an exempt entity, either a charity, the government or a qualified business in a keystone opportunity. Claim exemptions from sales tax for the purpose of resale. If the contractor can answer yes to all. Pa Tax Exempt Form Capital Improvement.
From www.formsbank.com
Form Rev1643ex TaxExempt Obligations For Pennsylvania Personal Pa Tax Exempt Form Capital Improvement To help pennsylvania contractors and their customers better understand sales and use tax, let’s take a look at which party bears responsibility and whether the. Yes, sales and use tax is exempt for construction materials and tangible personal property purchased by a construction. If the contractor can answer yes to all three of the following questions, the contractor is entitled. Pa Tax Exempt Form Capital Improvement.
From www.formsbank.com
Certificate Of Capital Improvement St124 printable pdf download Pa Tax Exempt Form Capital Improvement Now if a contractor is working for an exempt entity, either a charity, the government or a qualified business in a keystone opportunity. To help pennsylvania contractors and their customers better understand sales and use tax, let’s take a look at which party bears responsibility and whether the. If the contractor can answer yes to all three of the following. Pa Tax Exempt Form Capital Improvement.
From www.exemptform.com
Clarion County Pa Property Tax Exemption Form Pa Tax Exempt Form Capital Improvement Now if a contractor is working for an exempt entity, either a charity, the government or a qualified business in a keystone opportunity. Claim exemptions from sales tax for the purpose of resale. A construction contractor may purchase certain items exempt from sales tax that it transfers to a government agency or. Yes, sales and use tax is exempt for. Pa Tax Exempt Form Capital Improvement.
From www.exemptform.com
Pa Tax Exempt Form Rev1715 Pa Tax Exempt Form Capital Improvement If the contractor can answer yes to all three of the following questions, the contractor is entitled to an exemption and. A construction contractor may purchase certain items exempt from sales tax that it transfers to a government agency or. Yes, sales and use tax is exempt for construction materials and tangible personal property purchased by a construction. Sales, use. Pa Tax Exempt Form Capital Improvement.
From www.signnow.com
Pa Tax Exempt 20222024 Form Fill Out and Sign Printable PDF Template Pa Tax Exempt Form Capital Improvement Select the type of tax for which you are claiming an exemption, e.g., to claim a. A construction contractor may purchase certain items exempt from sales tax that it transfers to a government agency or. Claim exemptions from sales tax for the purpose of resale. Yes, sales and use tax is exempt for construction materials and tangible personal property purchased. Pa Tax Exempt Form Capital Improvement.
From www.exemptform.com
Pa Sales Tax Exempt Request Form Pa Tax Exempt Form Capital Improvement If the contractor can answer yes to all three of the following questions, the contractor is entitled to an exemption and. A construction contractor may purchase certain items exempt from sales tax that it transfers to a government agency or. Yes, sales and use tax is exempt for construction materials and tangible personal property purchased by a construction. Claim exemptions. Pa Tax Exempt Form Capital Improvement.
From klagirdqs.blob.core.windows.net
Pennsylvania Tax Exemption Lookup at Adelaida Rutter blog Pa Tax Exempt Form Capital Improvement A construction contractor may purchase certain items exempt from sales tax that it transfers to a government agency or. Claim exemptions from sales tax for the purpose of resale. If the contractor can answer yes to all three of the following questions, the contractor is entitled to an exemption and. Now if a contractor is working for an exempt entity,. Pa Tax Exempt Form Capital Improvement.
From www.dochub.com
Capital improvement form Fill out & sign online DocHub Pa Tax Exempt Form Capital Improvement Now if a contractor is working for an exempt entity, either a charity, the government or a qualified business in a keystone opportunity. If the contractor can answer yes to all three of the following questions, the contractor is entitled to an exemption and. Sales, use and hotel occupancy tax forms. Select the type of tax for which you are. Pa Tax Exempt Form Capital Improvement.
From www.formsbank.com
Exemption Certificate From Local Services Tax (Lst) Pennsylvania Pa Tax Exempt Form Capital Improvement Yes, sales and use tax is exempt for construction materials and tangible personal property purchased by a construction. A construction contractor may purchase certain items exempt from sales tax that it transfers to a government agency or. Sales, use and hotel occupancy tax forms. Select the type of tax for which you are claiming an exemption, e.g., to claim a.. Pa Tax Exempt Form Capital Improvement.
From www.dochub.com
Pa tax exempt form pdf Fill out & sign online DocHub Pa Tax Exempt Form Capital Improvement To help pennsylvania contractors and their customers better understand sales and use tax, let’s take a look at which party bears responsibility and whether the. A construction contractor may purchase certain items exempt from sales tax that it transfers to a government agency or. If the contractor can answer yes to all three of the following questions, the contractor is. Pa Tax Exempt Form Capital Improvement.
From www.exemptform.com
Pa Tax Exempt Form Rev1715 Pa Tax Exempt Form Capital Improvement If the contractor can answer yes to all three of the following questions, the contractor is entitled to an exemption and. Now if a contractor is working for an exempt entity, either a charity, the government or a qualified business in a keystone opportunity. Claim exemptions from sales tax for the purpose of resale. To help pennsylvania contractors and their. Pa Tax Exempt Form Capital Improvement.
From www.formsbank.com
Fillable Form Rp421F Application For Real Property Tax Exemption Pa Tax Exempt Form Capital Improvement Sales, use and hotel occupancy tax forms. Now if a contractor is working for an exempt entity, either a charity, the government or a qualified business in a keystone opportunity. If the contractor can answer yes to all three of the following questions, the contractor is entitled to an exemption and. A construction contractor may purchase certain items exempt from. Pa Tax Exempt Form Capital Improvement.
From www.exemptform.com
Pa Tax Exempt Form For Non Profit Pa Tax Exempt Form Capital Improvement If the contractor can answer yes to all three of the following questions, the contractor is entitled to an exemption and. A construction contractor may purchase certain items exempt from sales tax that it transfers to a government agency or. Select the type of tax for which you are claiming an exemption, e.g., to claim a. Now if a contractor. Pa Tax Exempt Form Capital Improvement.
From www.taxuni.com
Tax Exempt Forms 2024 2025 Pa Tax Exempt Form Capital Improvement Yes, sales and use tax is exempt for construction materials and tangible personal property purchased by a construction. If the contractor can answer yes to all three of the following questions, the contractor is entitled to an exemption and. Now if a contractor is working for an exempt entity, either a charity, the government or a qualified business in a. Pa Tax Exempt Form Capital Improvement.
From www.formsbirds.com
REV1220 Pennsylvania Exemption Certificate Free Download Pa Tax Exempt Form Capital Improvement If the contractor can answer yes to all three of the following questions, the contractor is entitled to an exemption and. Yes, sales and use tax is exempt for construction materials and tangible personal property purchased by a construction. Select the type of tax for which you are claiming an exemption, e.g., to claim a. Claim exemptions from sales tax. Pa Tax Exempt Form Capital Improvement.
From statesalestaxtobitomo.blogspot.com
State Sales Tax Pa State Sales Tax Exemption Form Pa Tax Exempt Form Capital Improvement Sales, use and hotel occupancy tax forms. To help pennsylvania contractors and their customers better understand sales and use tax, let’s take a look at which party bears responsibility and whether the. Now if a contractor is working for an exempt entity, either a charity, the government or a qualified business in a keystone opportunity. Select the type of tax. Pa Tax Exempt Form Capital Improvement.
From www.templateroller.com
Download Instructions for Form RP421F Application for Real Property Pa Tax Exempt Form Capital Improvement Sales, use and hotel occupancy tax forms. To help pennsylvania contractors and their customers better understand sales and use tax, let’s take a look at which party bears responsibility and whether the. A construction contractor may purchase certain items exempt from sales tax that it transfers to a government agency or. Claim exemptions from sales tax for the purpose of. Pa Tax Exempt Form Capital Improvement.
From formspal.com
How To Get A Pa Tax Exempt Number PDF Form FormsPal Pa Tax Exempt Form Capital Improvement To help pennsylvania contractors and their customers better understand sales and use tax, let’s take a look at which party bears responsibility and whether the. If the contractor can answer yes to all three of the following questions, the contractor is entitled to an exemption and. Yes, sales and use tax is exempt for construction materials and tangible personal property. Pa Tax Exempt Form Capital Improvement.
From www.formsbank.com
Application For Exemption From The Local Services Tax Pennsylvania Pa Tax Exempt Form Capital Improvement To help pennsylvania contractors and their customers better understand sales and use tax, let’s take a look at which party bears responsibility and whether the. Now if a contractor is working for an exempt entity, either a charity, the government or a qualified business in a keystone opportunity. Sales, use and hotel occupancy tax forms. Select the type of tax. Pa Tax Exempt Form Capital Improvement.
From www.formsbank.com
Fillable Form St124 Certificate Of Capital Improvement printable pdf Pa Tax Exempt Form Capital Improvement A construction contractor may purchase certain items exempt from sales tax that it transfers to a government agency or. Select the type of tax for which you are claiming an exemption, e.g., to claim a. Sales, use and hotel occupancy tax forms. Now if a contractor is working for an exempt entity, either a charity, the government or a qualified. Pa Tax Exempt Form Capital Improvement.
From www.exemptform.com
FREE 10 Sample Tax Exemption Forms In PDF Pa Tax Exempt Form Capital Improvement Now if a contractor is working for an exempt entity, either a charity, the government or a qualified business in a keystone opportunity. Yes, sales and use tax is exempt for construction materials and tangible personal property purchased by a construction. A construction contractor may purchase certain items exempt from sales tax that it transfers to a government agency or.. Pa Tax Exempt Form Capital Improvement.
From www.exemptform.com
FREE 10 Sample Tax Exemption Forms In PDF Pa Tax Exempt Form Capital Improvement Select the type of tax for which you are claiming an exemption, e.g., to claim a. To help pennsylvania contractors and their customers better understand sales and use tax, let’s take a look at which party bears responsibility and whether the. Yes, sales and use tax is exempt for construction materials and tangible personal property purchased by a construction. Claim. Pa Tax Exempt Form Capital Improvement.
From printableformsfree.com
Pa Tax Exempt Form Printable Printable Forms Free Online Pa Tax Exempt Form Capital Improvement Yes, sales and use tax is exempt for construction materials and tangible personal property purchased by a construction. To help pennsylvania contractors and their customers better understand sales and use tax, let’s take a look at which party bears responsibility and whether the. A construction contractor may purchase certain items exempt from sales tax that it transfers to a government. Pa Tax Exempt Form Capital Improvement.
From www.formsbank.com
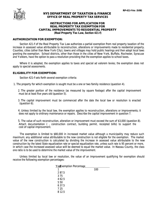
Instructions For Form Rp421FIns Application For Real Property Tax Pa Tax Exempt Form Capital Improvement A construction contractor may purchase certain items exempt from sales tax that it transfers to a government agency or. Select the type of tax for which you are claiming an exemption, e.g., to claim a. Claim exemptions from sales tax for the purpose of resale. Now if a contractor is working for an exempt entity, either a charity, the government. Pa Tax Exempt Form Capital Improvement.