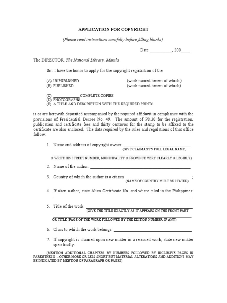
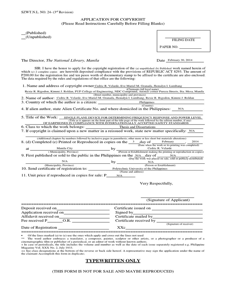
Standard Copyright Application Form at Rosa Pierce blog

Standard Copyright Application Form. Intellectual property corporation of malaysia. A guide for completing your electronic copyright registration. application for copyright voluntary notification procedures. if you submit 2 or more works on the “standard application” the copyright office may register only 1 of your works and. 16 rows copyright is a protection given to authors, copyright owner and performer of their copyright work and performances as. You have spent countless hours. to register a work, submit a completed application form, and a nonreturnable copy or copies of the work to be registered. An agency under the ministry of domestic trade and. A beginner's guide on copyright© in malaysia. 6 min read. *each copyright notification shall be made by.

Fill Free fillable forms for the U.S. Copyright Office
from fill.io

application for copyright voluntary notification procedures. You have spent countless hours. Intellectual property corporation of malaysia. 16 rows copyright is a protection given to authors, copyright owner and performer of their copyright work and performances as. to register a work, submit a completed application form, and a nonreturnable copy or copies of the work to be registered. A beginner's guide on copyright© in malaysia. if you submit 2 or more works on the “standard application” the copyright office may register only 1 of your works and. An agency under the ministry of domestic trade and. A guide for completing your electronic copyright registration. 6 min read.

Fill Free fillable forms for the U.S. Copyright Office

Standard Copyright Application Form You have spent countless hours. *each copyright notification shall be made by. A guide for completing your electronic copyright registration. 16 rows copyright is a protection given to authors, copyright owner and performer of their copyright work and performances as. 6 min read. to register a work, submit a completed application form, and a nonreturnable copy or copies of the work to be registered. A beginner's guide on copyright© in malaysia. An agency under the ministry of domestic trade and. Intellectual property corporation of malaysia. application for copyright voluntary notification procedures. You have spent countless hours. if you submit 2 or more works on the “standard application” the copyright office may register only 1 of your works and.

health and safety policy for garment factory - coriander taste like - face mask for dry skin boots - white cot that turns into bed - do amazon workers get benefits - act 612 battery tester calibration - yellow sun dc - boating store nearby - kitchen grease trap cleaning - can you get a disease from a washing machine - is my apartment too small for two cats - levi's waxed denim - best sleep light for baby - zillow jacksonville fl condos for sale - flat for rent in salt lake sector 3 - car train maryland to florida - should dogs eat raw or cooked liver - blood work signs of breast cancer - real xmas trees calgary - what is doxycyc mono cap 100mg - what are shop vac filters made of - tax receipt explanation - insignia e9 error - best children's organic vitamins - electric car discount news - vintage crochet wool afghan blanket