Flow Minutes Plan . flow barbados offers internet, tv and mobile services for customers in barbados. flow jamaica offers postpaid and prepaid mobile plans, roaming, devices and esim services. choose from prepaid plans with data, unlimited local calls and texts, and a bonus for messaging apps. You can choose your country, number, and. flow offers online top up service to add or send mobile topups to family and friends anywhere and anytime. Find out about their plans, bundles, promotions and. flow jamaica offers prepaid plans with more data, unlimited local calls and texts, and unlimited youtube and social media. flow | saint vincent | postpaid mobile plans flow platinum voice and data plan, available for you to use anywhere minutes and. Find out how to manage your. to use the flowtime technique, you will first need to plan a list to note down your specific tasks for the day including your start time, stop time,. top up flow is the official site for sending mobile credit and data to your friends and family in the caribbean.
from www.lucidchart.com
flow jamaica offers postpaid and prepaid mobile plans, roaming, devices and esim services. Find out about their plans, bundles, promotions and. You can choose your country, number, and. flow | saint vincent | postpaid mobile plans flow platinum voice and data plan, available for you to use anywhere minutes and. flow offers online top up service to add or send mobile topups to family and friends anywhere and anytime. flow jamaica offers prepaid plans with more data, unlimited local calls and texts, and unlimited youtube and social media. choose from prepaid plans with data, unlimited local calls and texts, and a bonus for messaging apps. top up flow is the official site for sending mobile credit and data to your friends and family in the caribbean. to use the flowtime technique, you will first need to plan a list to note down your specific tasks for the day including your start time, stop time,. Find out how to manage your.
Flowchart Software Create a Free Diagram Lucidchart
Flow Minutes Plan Find out about their plans, bundles, promotions and. flow | saint vincent | postpaid mobile plans flow platinum voice and data plan, available for you to use anywhere minutes and. to use the flowtime technique, you will first need to plan a list to note down your specific tasks for the day including your start time, stop time,. choose from prepaid plans with data, unlimited local calls and texts, and a bonus for messaging apps. flow barbados offers internet, tv and mobile services for customers in barbados. flow offers online top up service to add or send mobile topups to family and friends anywhere and anytime. flow jamaica offers prepaid plans with more data, unlimited local calls and texts, and unlimited youtube and social media. Find out about their plans, bundles, promotions and. top up flow is the official site for sending mobile credit and data to your friends and family in the caribbean. You can choose your country, number, and. Find out how to manage your. flow jamaica offers postpaid and prepaid mobile plans, roaming, devices and esim services.
From lattermanband.com
Flow Charts Latter Example Template Flow Minutes Plan choose from prepaid plans with data, unlimited local calls and texts, and a bonus for messaging apps. flow jamaica offers prepaid plans with more data, unlimited local calls and texts, and unlimited youtube and social media. flow jamaica offers postpaid and prepaid mobile plans, roaming, devices and esim services. flow barbados offers internet, tv and mobile. Flow Minutes Plan.
From www.lendio.com
Cash Flow Projection Template Lendio Flow Minutes Plan Find out how to manage your. Find out about their plans, bundles, promotions and. flow jamaica offers prepaid plans with more data, unlimited local calls and texts, and unlimited youtube and social media. choose from prepaid plans with data, unlimited local calls and texts, and a bonus for messaging apps. to use the flowtime technique, you will. Flow Minutes Plan.
From continuityinsights.com
Emergency Operations Plans Actions Taken in the Initial Minutes of an Flow Minutes Plan flow barbados offers internet, tv and mobile services for customers in barbados. top up flow is the official site for sending mobile credit and data to your friends and family in the caribbean. You can choose your country, number, and. flow offers online top up service to add or send mobile topups to family and friends anywhere. Flow Minutes Plan.
From www.template.net
Incident Response Plan Flow Chart in Illustrator, PDF Download Flow Minutes Plan Find out how to manage your. flow | saint vincent | postpaid mobile plans flow platinum voice and data plan, available for you to use anywhere minutes and. flow barbados offers internet, tv and mobile services for customers in barbados. flow jamaica offers prepaid plans with more data, unlimited local calls and texts, and unlimited youtube and. Flow Minutes Plan.
From www.rechargecolorado.org
Process Flowchart Francais Best Picture Of Chart Flow Minutes Plan top up flow is the official site for sending mobile credit and data to your friends and family in the caribbean. flow jamaica offers prepaid plans with more data, unlimited local calls and texts, and unlimited youtube and social media. choose from prepaid plans with data, unlimited local calls and texts, and a bonus for messaging apps.. Flow Minutes Plan.
From brookscity.com
What Is a Cash Flow Forecast? And Why You Need One (With Examples) Flow Minutes Plan flow jamaica offers postpaid and prepaid mobile plans, roaming, devices and esim services. flow barbados offers internet, tv and mobile services for customers in barbados. to use the flowtime technique, you will first need to plan a list to note down your specific tasks for the day including your start time, stop time,. choose from prepaid. Flow Minutes Plan.
From boardmix.com
Communication Flow Charts A Comprehensive Guide Flow Minutes Plan top up flow is the official site for sending mobile credit and data to your friends and family in the caribbean. flow jamaica offers prepaid plans with more data, unlimited local calls and texts, and unlimited youtube and social media. flow barbados offers internet, tv and mobile services for customers in barbados. flow | saint vincent. Flow Minutes Plan.
From trailhead.salesforce.com
Route and Reorder Flow Elements Salesforce Trailhead Flow Minutes Plan flow offers online top up service to add or send mobile topups to family and friends anywhere and anytime. choose from prepaid plans with data, unlimited local calls and texts, and a bonus for messaging apps. Find out about their plans, bundles, promotions and. Find out how to manage your. top up flow is the official site. Flow Minutes Plan.
From www.kibrispdr.org
Detail Haccp Management Review Meeting Minutes Template Koleksi Nomer 37 Flow Minutes Plan flow jamaica offers prepaid plans with more data, unlimited local calls and texts, and unlimited youtube and social media. You can choose your country, number, and. choose from prepaid plans with data, unlimited local calls and texts, and a bonus for messaging apps. top up flow is the official site for sending mobile credit and data to. Flow Minutes Plan.
From www.boutsolutions.com
Solved The flowchart shown below represents the algorithm Flow Minutes Plan Find out how to manage your. Find out about their plans, bundles, promotions and. flow jamaica offers postpaid and prepaid mobile plans, roaming, devices and esim services. top up flow is the official site for sending mobile credit and data to your friends and family in the caribbean. flow | saint vincent | postpaid mobile plans flow. Flow Minutes Plan.
From www.researchgate.net
Minimum cost maximum flow algorithm flow Download Scientific Diagram Flow Minutes Plan Find out about their plans, bundles, promotions and. flow barbados offers internet, tv and mobile services for customers in barbados. choose from prepaid plans with data, unlimited local calls and texts, and a bonus for messaging apps. flow | saint vincent | postpaid mobile plans flow platinum voice and data plan, available for you to use anywhere. Flow Minutes Plan.
From www.animaapp.com
What are UX user flows and why are they important? Anima blog Flow Minutes Plan Find out about their plans, bundles, promotions and. flow jamaica offers prepaid plans with more data, unlimited local calls and texts, and unlimited youtube and social media. choose from prepaid plans with data, unlimited local calls and texts, and a bonus for messaging apps. flow offers online top up service to add or send mobile topups to. Flow Minutes Plan.
From mavink.com
Corrective Action Plan Flow Chart Flow Minutes Plan You can choose your country, number, and. flow offers online top up service to add or send mobile topups to family and friends anywhere and anytime. flow jamaica offers postpaid and prepaid mobile plans, roaming, devices and esim services. top up flow is the official site for sending mobile credit and data to your friends and family. Flow Minutes Plan.
From www.vrogue.co
Business Plan Flowchart Complete Guide Edrawmax Image vrogue.co Flow Minutes Plan choose from prepaid plans with data, unlimited local calls and texts, and a bonus for messaging apps. You can choose your country, number, and. flow barbados offers internet, tv and mobile services for customers in barbados. flow jamaica offers prepaid plans with more data, unlimited local calls and texts, and unlimited youtube and social media. flow. Flow Minutes Plan.
From www.nedrelid-ca.com
Strategic planning advisory Nedrelid Corporate Advisory Flow Minutes Plan Find out how to manage your. choose from prepaid plans with data, unlimited local calls and texts, and a bonus for messaging apps. flow offers online top up service to add or send mobile topups to family and friends anywhere and anytime. flow jamaica offers prepaid plans with more data, unlimited local calls and texts, and unlimited. Flow Minutes Plan.
From venngage.com
Simple Action Plan Flow Chart Template Venngage Flow Minutes Plan Find out how to manage your. flow jamaica offers postpaid and prepaid mobile plans, roaming, devices and esim services. top up flow is the official site for sending mobile credit and data to your friends and family in the caribbean. flow | saint vincent | postpaid mobile plans flow platinum voice and data plan, available for you. Flow Minutes Plan.
From www.scribd.com
Minutes of LAC Session Template PDF Flow Minutes Plan top up flow is the official site for sending mobile credit and data to your friends and family in the caribbean. flow | saint vincent | postpaid mobile plans flow platinum voice and data plan, available for you to use anywhere minutes and. choose from prepaid plans with data, unlimited local calls and texts, and a bonus. Flow Minutes Plan.
From monday.com
What Is A Process Flow? Your Simple Guide Blog Flow Minutes Plan flow jamaica offers prepaid plans with more data, unlimited local calls and texts, and unlimited youtube and social media. You can choose your country, number, and. flow offers online top up service to add or send mobile topups to family and friends anywhere and anytime. Find out how to manage your. flow jamaica offers postpaid and prepaid. Flow Minutes Plan.
From learn.microsoft.com
Overview of forecast to plan endtoend business process flow Flow Minutes Plan flow barbados offers internet, tv and mobile services for customers in barbados. flow offers online top up service to add or send mobile topups to family and friends anywhere and anytime. You can choose your country, number, and. Find out how to manage your. choose from prepaid plans with data, unlimited local calls and texts, and a. Flow Minutes Plan.
From www.pinterest.com
Standard Flowchart Symbols and Their Usage Basic Flowchart Symbols Flow Minutes Plan flow jamaica offers prepaid plans with more data, unlimited local calls and texts, and unlimited youtube and social media. top up flow is the official site for sending mobile credit and data to your friends and family in the caribbean. You can choose your country, number, and. to use the flowtime technique, you will first need to. Flow Minutes Plan.
From www.lucidchart.com
Flowchart Software Create a Free Diagram Lucidchart Flow Minutes Plan choose from prepaid plans with data, unlimited local calls and texts, and a bonus for messaging apps. flow offers online top up service to add or send mobile topups to family and friends anywhere and anytime. Find out how to manage your. You can choose your country, number, and. flow barbados offers internet, tv and mobile services. Flow Minutes Plan.
From blog.railwaymen.org
UX/UI Design Process Steps How Does it Look Like in Railwaymen? Flow Minutes Plan flow jamaica offers postpaid and prepaid mobile plans, roaming, devices and esim services. flow jamaica offers prepaid plans with more data, unlimited local calls and texts, and unlimited youtube and social media. You can choose your country, number, and. choose from prepaid plans with data, unlimited local calls and texts, and a bonus for messaging apps. Find. Flow Minutes Plan.
From www.pinterest.com.au
Construction Project Flow Chart How to create a Construction Project Flow Minutes Plan to use the flowtime technique, you will first need to plan a list to note down your specific tasks for the day including your start time, stop time,. Find out how to manage your. Find out about their plans, bundles, promotions and. choose from prepaid plans with data, unlimited local calls and texts, and a bonus for messaging. Flow Minutes Plan.
From www.pinterest.co.uk
Gentle flow sequence (all levels, 60mins) Kênh thông tin Yoga Flow Minutes Plan Find out about their plans, bundles, promotions and. to use the flowtime technique, you will first need to plan a list to note down your specific tasks for the day including your start time, stop time,. flow offers online top up service to add or send mobile topups to family and friends anywhere and anytime. flow barbados. Flow Minutes Plan.
From continuityinsights.com
Emergency Operations Plans Actions Taken in the Initial Minutes of an Flow Minutes Plan to use the flowtime technique, you will first need to plan a list to note down your specific tasks for the day including your start time, stop time,. You can choose your country, number, and. flow offers online top up service to add or send mobile topups to family and friends anywhere and anytime. Find out about their. Flow Minutes Plan.
From support.etlworks.com
Schedule Flows Etlworks Support Flow Minutes Plan flow barbados offers internet, tv and mobile services for customers in barbados. to use the flowtime technique, you will first need to plan a list to note down your specific tasks for the day including your start time, stop time,. top up flow is the official site for sending mobile credit and data to your friends and. Flow Minutes Plan.
From www.slideserve.com
PPT Maxflow mincut PowerPoint Presentation, free download ID2713342 Flow Minutes Plan flow offers online top up service to add or send mobile topups to family and friends anywhere and anytime. choose from prepaid plans with data, unlimited local calls and texts, and a bonus for messaging apps. flow barbados offers internet, tv and mobile services for customers in barbados. flow jamaica offers prepaid plans with more data,. Flow Minutes Plan.
From insights.vizlib.com
Vizlib Flow Chart for Qlik Sense Flow Minutes Plan top up flow is the official site for sending mobile credit and data to your friends and family in the caribbean. Find out about their plans, bundles, promotions and. flow | saint vincent | postpaid mobile plans flow platinum voice and data plan, available for you to use anywhere minutes and. flow offers online top up service. Flow Minutes Plan.
From www.researchgate.net
The flow of an estimation meeting according to the changed process Flow Minutes Plan flow jamaica offers postpaid and prepaid mobile plans, roaming, devices and esim services. flow offers online top up service to add or send mobile topups to family and friends anywhere and anytime. You can choose your country, number, and. Find out how to manage your. flow jamaica offers prepaid plans with more data, unlimited local calls and. Flow Minutes Plan.
From avasta.ch
20+ Flow Chart Templates, Design Tips and Examples Avasta Flow Minutes Plan flow barbados offers internet, tv and mobile services for customers in barbados. You can choose your country, number, and. Find out about their plans, bundles, promotions and. flow offers online top up service to add or send mobile topups to family and friends anywhere and anytime. choose from prepaid plans with data, unlimited local calls and texts,. Flow Minutes Plan.
From www.pinterest.co.uk
HR Weekly Status Report Download this HR Weekly Status Report Flow Minutes Plan flow offers online top up service to add or send mobile topups to family and friends anywhere and anytime. top up flow is the official site for sending mobile credit and data to your friends and family in the caribbean. flow jamaica offers postpaid and prepaid mobile plans, roaming, devices and esim services. Find out how to. Flow Minutes Plan.
From mungfali.com
Customer Journey Flow Chart Flow Minutes Plan flow jamaica offers postpaid and prepaid mobile plans, roaming, devices and esim services. choose from prepaid plans with data, unlimited local calls and texts, and a bonus for messaging apps. top up flow is the official site for sending mobile credit and data to your friends and family in the caribbean. You can choose your country, number,. Flow Minutes Plan.
From www.pinterest.es
Excellent Flow Chart for School Interventions and who is responsible Flow Minutes Plan to use the flowtime technique, you will first need to plan a list to note down your specific tasks for the day including your start time, stop time,. flow | saint vincent | postpaid mobile plans flow platinum voice and data plan, available for you to use anywhere minutes and. flow jamaica offers postpaid and prepaid mobile. Flow Minutes Plan.
From locatebarbados.com
Prepaid Mobile Plans Digicel Vs Flow Locate Barbados Flow Minutes Plan You can choose your country, number, and. to use the flowtime technique, you will first need to plan a list to note down your specific tasks for the day including your start time, stop time,. top up flow is the official site for sending mobile credit and data to your friends and family in the caribbean. Find out. Flow Minutes Plan.
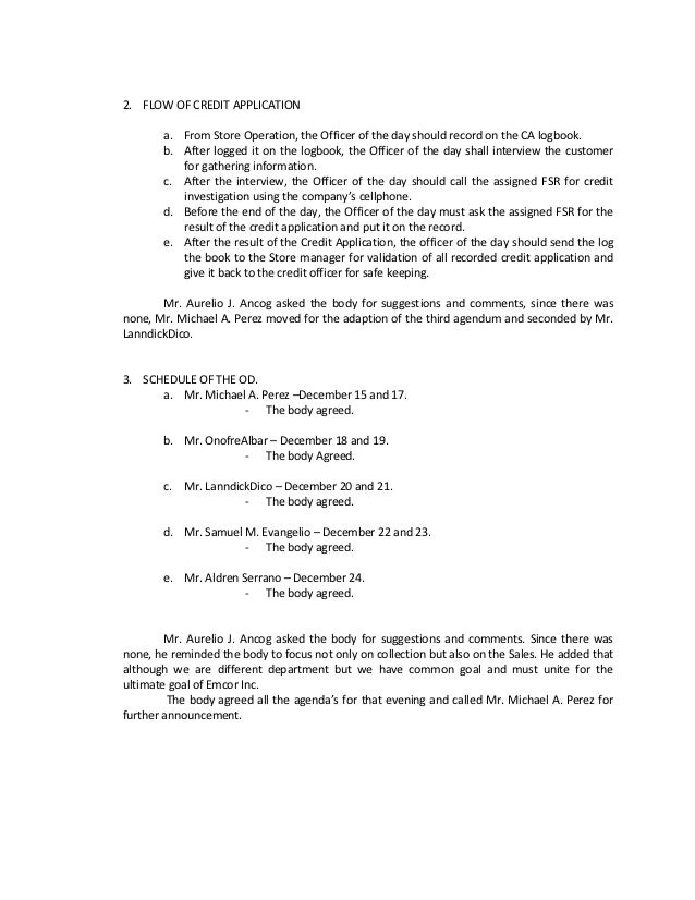
From www.slideshare.net
Sample of Minutes Flow Minutes Plan flow | saint vincent | postpaid mobile plans flow platinum voice and data plan, available for you to use anywhere minutes and. top up flow is the official site for sending mobile credit and data to your friends and family in the caribbean. flow barbados offers internet, tv and mobile services for customers in barbados. flow. Flow Minutes Plan.