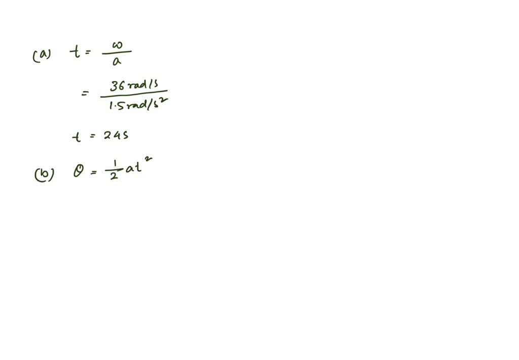
The Rotating Blade Of A Blender Turns With Constant . The rotating blade of a blender turns with a constant angular acceleration 1.50 [ rad/s^2 ]. Determine (a) its angular speed in radians. physics questions and answers. This is also true of rotational motion about a fixed axis. The time to reach the angular velocity of 36.0 rad / s is 24 s and the blade turns approximately 69 revolutions. We have a rotating blade and the angular acceleration of this blade is given as 1.5 radian per second square. the rotating blade of a blender turns with constant angular acceleration 1.50 rad/s^2. (a) how much time does it take to reach an angular velocity of 36.0 rad/s, starting from. the problem states that a blender's blade is rotating with a constant angular acceleration of 1.40 rad/s^2. a disk 8.00 cm in radius rotates at a constant rate of 1200 rev/min about its central axis.
from www.researchgate.net
The rotating blade of a blender turns with a constant angular acceleration 1.50 [ rad/s^2 ]. the problem states that a blender's blade is rotating with a constant angular acceleration of 1.40 rad/s^2. This is also true of rotational motion about a fixed axis. (a) how much time does it take to reach an angular velocity of 36.0 rad/s, starting from. the rotating blade of a blender turns with constant angular acceleration 1.50 rad/s^2. The time to reach the angular velocity of 36.0 rad / s is 24 s and the blade turns approximately 69 revolutions. We have a rotating blade and the angular acceleration of this blade is given as 1.5 radian per second square. a disk 8.00 cm in radius rotates at a constant rate of 1200 rev/min about its central axis. physics questions and answers. Determine (a) its angular speed in radians.
Blade rotating coordinate system. Download Scientific Diagram
The Rotating Blade Of A Blender Turns With Constant a disk 8.00 cm in radius rotates at a constant rate of 1200 rev/min about its central axis. This is also true of rotational motion about a fixed axis. Determine (a) its angular speed in radians. (a) how much time does it take to reach an angular velocity of 36.0 rad/s, starting from. physics questions and answers. We have a rotating blade and the angular acceleration of this blade is given as 1.5 radian per second square. the rotating blade of a blender turns with constant angular acceleration 1.50 rad/s^2. a disk 8.00 cm in radius rotates at a constant rate of 1200 rev/min about its central axis. The rotating blade of a blender turns with a constant angular acceleration 1.50 [ rad/s^2 ]. The time to reach the angular velocity of 36.0 rad / s is 24 s and the blade turns approximately 69 revolutions. the problem states that a blender's blade is rotating with a constant angular acceleration of 1.40 rad/s^2.
From www.numerade.com
SOLVED The rotating blade of a blender (Urns With constant angular The Rotating Blade Of A Blender Turns With Constant We have a rotating blade and the angular acceleration of this blade is given as 1.5 radian per second square. the rotating blade of a blender turns with constant angular acceleration 1.50 rad/s^2. the problem states that a blender's blade is rotating with a constant angular acceleration of 1.40 rad/s^2. This is also true of rotational motion about. The Rotating Blade Of A Blender Turns With Constant.
From www.researchgate.net
Schematic diagram of rotating blade in constant speed Download The Rotating Blade Of A Blender Turns With Constant physics questions and answers. Determine (a) its angular speed in radians. We have a rotating blade and the angular acceleration of this blade is given as 1.5 radian per second square. a disk 8.00 cm in radius rotates at a constant rate of 1200 rev/min about its central axis. The rotating blade of a blender turns with a. The Rotating Blade Of A Blender Turns With Constant.
From www.youtube.com
Rotating Each Iteration of the Array Modifier Blender Tutorial YouTube The Rotating Blade Of A Blender Turns With Constant the problem states that a blender's blade is rotating with a constant angular acceleration of 1.40 rad/s^2. This is also true of rotational motion about a fixed axis. (a) how much time does it take to reach an angular velocity of 36.0 rad/s, starting from. The time to reach the angular velocity of 36.0 rad / s is 24. The Rotating Blade Of A Blender Turns With Constant.
From www.numerade.com
VIDEO solutionThe rotating blade of a blender turns with constant The Rotating Blade Of A Blender Turns With Constant Determine (a) its angular speed in radians. The time to reach the angular velocity of 36.0 rad / s is 24 s and the blade turns approximately 69 revolutions. We have a rotating blade and the angular acceleration of this blade is given as 1.5 radian per second square. The rotating blade of a blender turns with a constant angular. The Rotating Blade Of A Blender Turns With Constant.
From www.spicybuffalo.com
The Rotating Blade Of A Blender Turns With Constant Angular Spicy Buffalo The Rotating Blade Of A Blender Turns With Constant the problem states that a blender's blade is rotating with a constant angular acceleration of 1.40 rad/s^2. We have a rotating blade and the angular acceleration of this blade is given as 1.5 radian per second square. a disk 8.00 cm in radius rotates at a constant rate of 1200 rev/min about its central axis. The time to. The Rotating Blade Of A Blender Turns With Constant.
From www.youtube.com
blender array modifier rotation apply for beginnersmds design YouTube The Rotating Blade Of A Blender Turns With Constant We have a rotating blade and the angular acceleration of this blade is given as 1.5 radian per second square. The rotating blade of a blender turns with a constant angular acceleration 1.50 [ rad/s^2 ]. (a) how much time does it take to reach an angular velocity of 36.0 rad/s, starting from. Determine (a) its angular speed in radians.. The Rotating Blade Of A Blender Turns With Constant.
From www.youtube.com
The rotating blade of a blender turns with constant angular The Rotating Blade Of A Blender Turns With Constant Determine (a) its angular speed in radians. a disk 8.00 cm in radius rotates at a constant rate of 1200 rev/min about its central axis. the rotating blade of a blender turns with constant angular acceleration 1.50 rad/s^2. the problem states that a blender's blade is rotating with a constant angular acceleration of 1.40 rad/s^2. This is. The Rotating Blade Of A Blender Turns With Constant.
From www.slideshare.net
Ch 8 Rotational Kinematics The Rotating Blade Of A Blender Turns With Constant a disk 8.00 cm in radius rotates at a constant rate of 1200 rev/min about its central axis. the problem states that a blender's blade is rotating with a constant angular acceleration of 1.40 rad/s^2. physics questions and answers. the rotating blade of a blender turns with constant angular acceleration 1.50 rad/s^2. We have a rotating. The Rotating Blade Of A Blender Turns With Constant.
From www.youtube.com
Blender Constant Spinning Object or Wheel Blender 2.8 YouTube The Rotating Blade Of A Blender Turns With Constant (a) how much time does it take to reach an angular velocity of 36.0 rad/s, starting from. the problem states that a blender's blade is rotating with a constant angular acceleration of 1.40 rad/s^2. a disk 8.00 cm in radius rotates at a constant rate of 1200 rev/min about its central axis. The rotating blade of a blender. The Rotating Blade Of A Blender Turns With Constant.
From www.numerade.com
SOLVEDThe rotating blade of a blender turns with constant angular The Rotating Blade Of A Blender Turns With Constant physics questions and answers. a disk 8.00 cm in radius rotates at a constant rate of 1200 rev/min about its central axis. Determine (a) its angular speed in radians. We have a rotating blade and the angular acceleration of this blade is given as 1.5 radian per second square. the problem states that a blender's blade is. The Rotating Blade Of A Blender Turns With Constant.
From www.slideserve.com
PPT Chapter 10. Rotation PowerPoint Presentation, free download ID The Rotating Blade Of A Blender Turns With Constant Determine (a) its angular speed in radians. The time to reach the angular velocity of 36.0 rad / s is 24 s and the blade turns approximately 69 revolutions. The rotating blade of a blender turns with a constant angular acceleration 1.50 [ rad/s^2 ]. a disk 8.00 cm in radius rotates at a constant rate of 1200 rev/min. The Rotating Blade Of A Blender Turns With Constant.
From kitchenusers.com
What Should Blender Blades Look Like Best 4 Guide The Rotating Blade Of A Blender Turns With Constant a disk 8.00 cm in radius rotates at a constant rate of 1200 rev/min about its central axis. This is also true of rotational motion about a fixed axis. The time to reach the angular velocity of 36.0 rad / s is 24 s and the blade turns approximately 69 revolutions. the problem states that a blender's blade. The Rotating Blade Of A Blender Turns With Constant.
From www.researchgate.net
Schematic diagram of rotating blade in constant speed Download The Rotating Blade Of A Blender Turns With Constant a disk 8.00 cm in radius rotates at a constant rate of 1200 rev/min about its central axis. (a) how much time does it take to reach an angular velocity of 36.0 rad/s, starting from. This is also true of rotational motion about a fixed axis. physics questions and answers. the problem states that a blender's blade. The Rotating Blade Of A Blender Turns With Constant.
From www.numerade.com
SOLVED Exercise 9.11 The rotating blade of a blender turns with a The Rotating Blade Of A Blender Turns With Constant a disk 8.00 cm in radius rotates at a constant rate of 1200 rev/min about its central axis. We have a rotating blade and the angular acceleration of this blade is given as 1.5 radian per second square. Determine (a) its angular speed in radians. This is also true of rotational motion about a fixed axis. the problem. The Rotating Blade Of A Blender Turns With Constant.
From www.chegg.com
Solved The blades in a blender rotate at a rate of 6, The Rotating Blade Of A Blender Turns With Constant The rotating blade of a blender turns with a constant angular acceleration 1.50 [ rad/s^2 ]. physics questions and answers. the problem states that a blender's blade is rotating with a constant angular acceleration of 1.40 rad/s^2. The time to reach the angular velocity of 36.0 rad / s is 24 s and the blade turns approximately 69. The Rotating Blade Of A Blender Turns With Constant.
From www.chegg.com
Solved The blades in a blender rotate at a rate of 6600 rpm The Rotating Blade Of A Blender Turns With Constant the rotating blade of a blender turns with constant angular acceleration 1.50 rad/s^2. This is also true of rotational motion about a fixed axis. The time to reach the angular velocity of 36.0 rad / s is 24 s and the blade turns approximately 69 revolutions. the problem states that a blender's blade is rotating with a constant. The Rotating Blade Of A Blender Turns With Constant.
From www.youtube.com
Rotate Tool in Blender 17 YouTube The Rotating Blade Of A Blender Turns With Constant the problem states that a blender's blade is rotating with a constant angular acceleration of 1.40 rad/s^2. physics questions and answers. the rotating blade of a blender turns with constant angular acceleration 1.50 rad/s^2. Determine (a) its angular speed in radians. The time to reach the angular velocity of 36.0 rad / s is 24 s and. The Rotating Blade Of A Blender Turns With Constant.
From www.numerade.com
SOLVED The rotating blade of a blender turns with constant angular The Rotating Blade Of A Blender Turns With Constant physics questions and answers. Determine (a) its angular speed in radians. We have a rotating blade and the angular acceleration of this blade is given as 1.5 radian per second square. This is also true of rotational motion about a fixed axis. the rotating blade of a blender turns with constant angular acceleration 1.50 rad/s^2. a disk. The Rotating Blade Of A Blender Turns With Constant.
From www.youtube.com
Blender Tutorial How To Rotate in Blender YouTube The Rotating Blade Of A Blender Turns With Constant the problem states that a blender's blade is rotating with a constant angular acceleration of 1.40 rad/s^2. (a) how much time does it take to reach an angular velocity of 36.0 rad/s, starting from. We have a rotating blade and the angular acceleration of this blade is given as 1.5 radian per second square. The time to reach the. The Rotating Blade Of A Blender Turns With Constant.
From www.chegg.com
Solved (Figure 1) shows a graph of the motion of the blades The Rotating Blade Of A Blender Turns With Constant The time to reach the angular velocity of 36.0 rad / s is 24 s and the blade turns approximately 69 revolutions. Determine (a) its angular speed in radians. the rotating blade of a blender turns with constant angular acceleration 1.50 rad/s^2. a disk 8.00 cm in radius rotates at a constant rate of 1200 rev/min about its. The Rotating Blade Of A Blender Turns With Constant.
From www.chegg.com
Solved 1. The blades in a blender rotate at a rate of 6500 The Rotating Blade Of A Blender Turns With Constant a disk 8.00 cm in radius rotates at a constant rate of 1200 rev/min about its central axis. (a) how much time does it take to reach an angular velocity of 36.0 rad/s, starting from. the rotating blade of a blender turns with constant angular acceleration 1.50 rad/s^2. We have a rotating blade and the angular acceleration of. The Rotating Blade Of A Blender Turns With Constant.
From juicerlover.com
What Motor Do Blenders Use? The Rotating Blade Of A Blender Turns With Constant the problem states that a blender's blade is rotating with a constant angular acceleration of 1.40 rad/s^2. (a) how much time does it take to reach an angular velocity of 36.0 rad/s, starting from. Determine (a) its angular speed in radians. physics questions and answers. We have a rotating blade and the angular acceleration of this blade is. The Rotating Blade Of A Blender Turns With Constant.
From www.blendernation.com
Solving rotation on instanced objects along a curve BlenderNation The Rotating Blade Of A Blender Turns With Constant a disk 8.00 cm in radius rotates at a constant rate of 1200 rev/min about its central axis. The time to reach the angular velocity of 36.0 rad / s is 24 s and the blade turns approximately 69 revolutions. This is also true of rotational motion about a fixed axis. (a) how much time does it take to. The Rotating Blade Of A Blender Turns With Constant.
From slideplayer.com
Chapter 8 Rotational Kinematics. ppt download The Rotating Blade Of A Blender Turns With Constant physics questions and answers. a disk 8.00 cm in radius rotates at a constant rate of 1200 rev/min about its central axis. The rotating blade of a blender turns with a constant angular acceleration 1.50 [ rad/s^2 ]. the rotating blade of a blender turns with constant angular acceleration 1.50 rad/s^2. the problem states that a. The Rotating Blade Of A Blender Turns With Constant.
From www.researchgate.net
Blade rotating coordinate system. Download Scientific Diagram The Rotating Blade Of A Blender Turns With Constant a disk 8.00 cm in radius rotates at a constant rate of 1200 rev/min about its central axis. We have a rotating blade and the angular acceleration of this blade is given as 1.5 radian per second square. the problem states that a blender's blade is rotating with a constant angular acceleration of 1.40 rad/s^2. (a) how much. The Rotating Blade Of A Blender Turns With Constant.
From www.numerade.com
SOLVED The rotating blade of a blender turns with constant angular The Rotating Blade Of A Blender Turns With Constant physics questions and answers. We have a rotating blade and the angular acceleration of this blade is given as 1.5 radian per second square. The rotating blade of a blender turns with a constant angular acceleration 1.50 [ rad/s^2 ]. (a) how much time does it take to reach an angular velocity of 36.0 rad/s, starting from. This is. The Rotating Blade Of A Blender Turns With Constant.
From www.numerade.com
SOLVED '1) The rotating blade of a blender turns with constant angular The Rotating Blade Of A Blender Turns With Constant (a) how much time does it take to reach an angular velocity of 36.0 rad/s, starting from. the problem states that a blender's blade is rotating with a constant angular acceleration of 1.40 rad/s^2. Determine (a) its angular speed in radians. The rotating blade of a blender turns with a constant angular acceleration 1.50 [ rad/s^2 ]. This is. The Rotating Blade Of A Blender Turns With Constant.
From www.numerade.com
SOLVED The rotating blade of a blender turns with a constant angular The Rotating Blade Of A Blender Turns With Constant This is also true of rotational motion about a fixed axis. The time to reach the angular velocity of 36.0 rad / s is 24 s and the blade turns approximately 69 revolutions. The rotating blade of a blender turns with a constant angular acceleration 1.50 [ rad/s^2 ]. physics questions and answers. We have a rotating blade and. The Rotating Blade Of A Blender Turns With Constant.
From www.youtube.com
Blender Rotate Shape at Constant Speed Beginner Tutorial YouTube The Rotating Blade Of A Blender Turns With Constant physics questions and answers. (a) how much time does it take to reach an angular velocity of 36.0 rad/s, starting from. We have a rotating blade and the angular acceleration of this blade is given as 1.5 radian per second square. a disk 8.00 cm in radius rotates at a constant rate of 1200 rev/min about its central. The Rotating Blade Of A Blender Turns With Constant.
From www.numerade.com
SOLVED The rotating blade of a blender turns with constant angular The Rotating Blade Of A Blender Turns With Constant The rotating blade of a blender turns with a constant angular acceleration 1.50 [ rad/s^2 ]. (a) how much time does it take to reach an angular velocity of 36.0 rad/s, starting from. This is also true of rotational motion about a fixed axis. Determine (a) its angular speed in radians. physics questions and answers. a disk 8.00. The Rotating Blade Of A Blender Turns With Constant.
From studiousguy.com
10 Rotary Motion Examples in Real Life StudiousGuy The Rotating Blade Of A Blender Turns With Constant the rotating blade of a blender turns with constant angular acceleration 1.50 rad/s^2. This is also true of rotational motion about a fixed axis. The time to reach the angular velocity of 36.0 rad / s is 24 s and the blade turns approximately 69 revolutions. Determine (a) its angular speed in radians. We have a rotating blade and. The Rotating Blade Of A Blender Turns With Constant.
From www.chegg.com
Solved The rotating blade of a blender turns with constant The Rotating Blade Of A Blender Turns With Constant a disk 8.00 cm in radius rotates at a constant rate of 1200 rev/min about its central axis. This is also true of rotational motion about a fixed axis. The time to reach the angular velocity of 36.0 rad / s is 24 s and the blade turns approximately 69 revolutions. the problem states that a blender's blade. The Rotating Blade Of A Blender Turns With Constant.
From www.youtube.com
Rotate Around a Point/Axis in Blender YouTube The Rotating Blade Of A Blender Turns With Constant The time to reach the angular velocity of 36.0 rad / s is 24 s and the blade turns approximately 69 revolutions. physics questions and answers. the rotating blade of a blender turns with constant angular acceleration 1.50 rad/s^2. a disk 8.00 cm in radius rotates at a constant rate of 1200 rev/min about its central axis.. The Rotating Blade Of A Blender Turns With Constant.
From exowuautq.blob.core.windows.net
How To Fix Blender Blade Assembly at Rogelio Griffeth blog The Rotating Blade Of A Blender Turns With Constant physics questions and answers. The rotating blade of a blender turns with a constant angular acceleration 1.50 [ rad/s^2 ]. the problem states that a blender's blade is rotating with a constant angular acceleration of 1.40 rad/s^2. The time to reach the angular velocity of 36.0 rad / s is 24 s and the blade turns approximately 69. The Rotating Blade Of A Blender Turns With Constant.
From www.iqsdirectory.com
Blenders Types, Uses, Features and Benefits The Rotating Blade Of A Blender Turns With Constant (a) how much time does it take to reach an angular velocity of 36.0 rad/s, starting from. This is also true of rotational motion about a fixed axis. We have a rotating blade and the angular acceleration of this blade is given as 1.5 radian per second square. the problem states that a blender's blade is rotating with a. The Rotating Blade Of A Blender Turns With Constant.