How To Match Histograms To Summary Statistics . Reeves guides students through the. Matching boxplots, histograms, and summary statistics. Matching boxplots, histograms, & summary statistics by sandi takis, adapted from activity based. match the summary statistics with the correct histogram based off of the means, medians, and standard deviations. in order to match the histogram of images a and b, we need to first equalize the histogram of both images. with rstudio running, the mosaic package loaded, a place to write and save code, and the treadmill data set. Matching box plots, histograms, and summary statistics.
from www.chegg.com
with rstudio running, the mosaic package loaded, a place to write and save code, and the treadmill data set. Reeves guides students through the. in order to match the histogram of images a and b, we need to first equalize the histogram of both images. Matching box plots, histograms, and summary statistics. Matching boxplots, histograms, & summary statistics by sandi takis, adapted from activity based. match the summary statistics with the correct histogram based off of the means, medians, and standard deviations. Matching boxplots, histograms, and summary statistics.
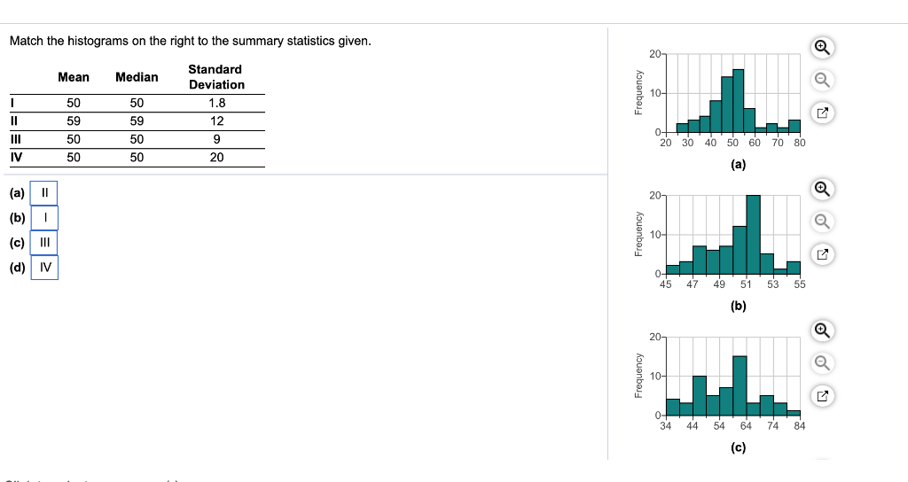
Solved Match the histograms on the right to the summary
How To Match Histograms To Summary Statistics Matching boxplots, histograms, & summary statistics by sandi takis, adapted from activity based. Matching boxplots, histograms, & summary statistics by sandi takis, adapted from activity based. in order to match the histogram of images a and b, we need to first equalize the histogram of both images. with rstudio running, the mosaic package loaded, a place to write and save code, and the treadmill data set. Matching box plots, histograms, and summary statistics. match the summary statistics with the correct histogram based off of the means, medians, and standard deviations. Reeves guides students through the. Matching boxplots, histograms, and summary statistics.
From www.coursehero.com
[Solved] Statistics 311 Practice Final Exam 28. Match the summary How To Match Histograms To Summary Statistics with rstudio running, the mosaic package loaded, a place to write and save code, and the treadmill data set. Matching boxplots, histograms, and summary statistics. Reeves guides students through the. in order to match the histogram of images a and b, we need to first equalize the histogram of both images. Matching boxplots, histograms, & summary statistics by. How To Match Histograms To Summary Statistics.
From www.chegg.com
Solved Match the histogram with the summary statistics. How To Match Histograms To Summary Statistics Reeves guides students through the. with rstudio running, the mosaic package loaded, a place to write and save code, and the treadmill data set. Matching boxplots, histograms, & summary statistics by sandi takis, adapted from activity based. match the summary statistics with the correct histogram based off of the means, medians, and standard deviations. Matching box plots, histograms,. How To Match Histograms To Summary Statistics.
From www.chegg.com
Solved Match the histograms to the summary statistics How To Match Histograms To Summary Statistics match the summary statistics with the correct histogram based off of the means, medians, and standard deviations. Matching box plots, histograms, and summary statistics. Matching boxplots, histograms, and summary statistics. Matching boxplots, histograms, & summary statistics by sandi takis, adapted from activity based. with rstudio running, the mosaic package loaded, a place to write and save code, and. How To Match Histograms To Summary Statistics.
From www.coursehero.com
[Solved] Match the histograms to the summary statistics given. Standard How To Match Histograms To Summary Statistics Matching box plots, histograms, and summary statistics. Reeves guides students through the. Matching boxplots, histograms, & summary statistics by sandi takis, adapted from activity based. Matching boxplots, histograms, and summary statistics. with rstudio running, the mosaic package loaded, a place to write and save code, and the treadmill data set. match the summary statistics with the correct histogram. How To Match Histograms To Summary Statistics.
From www.youtube.com
Matching Histograms with Box Plots YouTube How To Match Histograms To Summary Statistics with rstudio running, the mosaic package loaded, a place to write and save code, and the treadmill data set. Matching box plots, histograms, and summary statistics. Matching boxplots, histograms, and summary statistics. match the summary statistics with the correct histogram based off of the means, medians, and standard deviations. Matching boxplots, histograms, & summary statistics by sandi takis,. How To Match Histograms To Summary Statistics.
From www.chegg.com
Solved Match the histograms to the summary statistics given. How To Match Histograms To Summary Statistics in order to match the histogram of images a and b, we need to first equalize the histogram of both images. Matching box plots, histograms, and summary statistics. Reeves guides students through the. Matching boxplots, histograms, and summary statistics. with rstudio running, the mosaic package loaded, a place to write and save code, and the treadmill data set.. How To Match Histograms To Summary Statistics.
From www.chegg.com
Solved Match the histogram with the summary statistics. How To Match Histograms To Summary Statistics match the summary statistics with the correct histogram based off of the means, medians, and standard deviations. with rstudio running, the mosaic package loaded, a place to write and save code, and the treadmill data set. Matching box plots, histograms, and summary statistics. Matching boxplots, histograms, & summary statistics by sandi takis, adapted from activity based. in. How To Match Histograms To Summary Statistics.
From www.chegg.com
Solved Match the histograms to the summary statistics given. How To Match Histograms To Summary Statistics match the summary statistics with the correct histogram based off of the means, medians, and standard deviations. Matching boxplots, histograms, & summary statistics by sandi takis, adapted from activity based. with rstudio running, the mosaic package loaded, a place to write and save code, and the treadmill data set. in order to match the histogram of images. How To Match Histograms To Summary Statistics.
From www.chegg.com
Match the histograms on the right to the summary How To Match Histograms To Summary Statistics match the summary statistics with the correct histogram based off of the means, medians, and standard deviations. Reeves guides students through the. with rstudio running, the mosaic package loaded, a place to write and save code, and the treadmill data set. Matching box plots, histograms, and summary statistics. Matching boxplots, histograms, & summary statistics by sandi takis, adapted. How To Match Histograms To Summary Statistics.
From www.chegg.com
Solved Match the histograms to the summary statistics given. How To Match Histograms To Summary Statistics Matching boxplots, histograms, & summary statistics by sandi takis, adapted from activity based. in order to match the histogram of images a and b, we need to first equalize the histogram of both images. Matching box plots, histograms, and summary statistics. match the summary statistics with the correct histogram based off of the means, medians, and standard deviations.. How To Match Histograms To Summary Statistics.
From www.chegg.com
Solved Match the histograms shown to the summary statistics How To Match Histograms To Summary Statistics with rstudio running, the mosaic package loaded, a place to write and save code, and the treadmill data set. Matching box plots, histograms, and summary statistics. Matching boxplots, histograms, & summary statistics by sandi takis, adapted from activity based. match the summary statistics with the correct histogram based off of the means, medians, and standard deviations. Matching boxplots,. How To Match Histograms To Summary Statistics.
From www.chegg.com
Solved Match the histograms to the boxplots. How To Match Histograms To Summary Statistics Matching box plots, histograms, and summary statistics. Matching boxplots, histograms, and summary statistics. in order to match the histogram of images a and b, we need to first equalize the histogram of both images. Reeves guides students through the. with rstudio running, the mosaic package loaded, a place to write and save code, and the treadmill data set.. How To Match Histograms To Summary Statistics.
From www.chegg.com
Solved Problem 1Matching Match the histograms to the How To Match Histograms To Summary Statistics Matching box plots, histograms, and summary statistics. Matching boxplots, histograms, & summary statistics by sandi takis, adapted from activity based. match the summary statistics with the correct histogram based off of the means, medians, and standard deviations. with rstudio running, the mosaic package loaded, a place to write and save code, and the treadmill data set. Matching boxplots,. How To Match Histograms To Summary Statistics.
From www.chegg.com
Solved Match the histograms on the right to the summary How To Match Histograms To Summary Statistics Reeves guides students through the. match the summary statistics with the correct histogram based off of the means, medians, and standard deviations. with rstudio running, the mosaic package loaded, a place to write and save code, and the treadmill data set. Matching box plots, histograms, and summary statistics. in order to match the histogram of images a. How To Match Histograms To Summary Statistics.
From www.chegg.com
Solved Match the histograms on the right to the summary How To Match Histograms To Summary Statistics with rstudio running, the mosaic package loaded, a place to write and save code, and the treadmill data set. Matching boxplots, histograms, and summary statistics. Matching box plots, histograms, and summary statistics. Reeves guides students through the. match the summary statistics with the correct histogram based off of the means, medians, and standard deviations. in order to. How To Match Histograms To Summary Statistics.
From www.chegg.com
Match the histograms to the summary statistics given. How To Match Histograms To Summary Statistics in order to match the histogram of images a and b, we need to first equalize the histogram of both images. Matching boxplots, histograms, & summary statistics by sandi takis, adapted from activity based. match the summary statistics with the correct histogram based off of the means, medians, and standard deviations. Reeves guides students through the. with. How To Match Histograms To Summary Statistics.
From gabriellameowfrye.blogspot.com
Match the Histograms to the Summary Statistics Given. How To Match Histograms To Summary Statistics Matching boxplots, histograms, & summary statistics by sandi takis, adapted from activity based. with rstudio running, the mosaic package loaded, a place to write and save code, and the treadmill data set. in order to match the histogram of images a and b, we need to first equalize the histogram of both images. Reeves guides students through the.. How To Match Histograms To Summary Statistics.
From www.chegg.com
Solved Match the histograms to the summary statistics given. How To Match Histograms To Summary Statistics match the summary statistics with the correct histogram based off of the means, medians, and standard deviations. Reeves guides students through the. Matching boxplots, histograms, and summary statistics. Matching boxplots, histograms, & summary statistics by sandi takis, adapted from activity based. with rstudio running, the mosaic package loaded, a place to write and save code, and the treadmill. How To Match Histograms To Summary Statistics.
From gabriellameowfrye.blogspot.com
Match the Histograms to the Summary Statistics Given. How To Match Histograms To Summary Statistics match the summary statistics with the correct histogram based off of the means, medians, and standard deviations. Matching box plots, histograms, and summary statistics. Matching boxplots, histograms, & summary statistics by sandi takis, adapted from activity based. Matching boxplots, histograms, and summary statistics. Reeves guides students through the. in order to match the histogram of images a and. How To Match Histograms To Summary Statistics.
From www.chegg.com
Solved Match the histograms below to the summary statistics. Chegg How To Match Histograms To Summary Statistics with rstudio running, the mosaic package loaded, a place to write and save code, and the treadmill data set. Reeves guides students through the. Matching box plots, histograms, and summary statistics. Matching boxplots, histograms, & summary statistics by sandi takis, adapted from activity based. in order to match the histogram of images a and b, we need to. How To Match Histograms To Summary Statistics.
From www.numerade.com
SOLVEDMatch the histograms shown to the summary statistics shown to How To Match Histograms To Summary Statistics Reeves guides students through the. in order to match the histogram of images a and b, we need to first equalize the histogram of both images. Matching boxplots, histograms, and summary statistics. Matching boxplots, histograms, & summary statistics by sandi takis, adapted from activity based. Matching box plots, histograms, and summary statistics. with rstudio running, the mosaic package. How To Match Histograms To Summary Statistics.
From www.chegg.com
Solved Match the histograms to the summary statistics How To Match Histograms To Summary Statistics Matching box plots, histograms, and summary statistics. in order to match the histogram of images a and b, we need to first equalize the histogram of both images. with rstudio running, the mosaic package loaded, a place to write and save code, and the treadmill data set. Matching boxplots, histograms, & summary statistics by sandi takis, adapted from. How To Match Histograms To Summary Statistics.
From www.coursehero.com
[Solved] Match the histograms on the right to the summary statistics How To Match Histograms To Summary Statistics Matching boxplots, histograms, & summary statistics by sandi takis, adapted from activity based. Reeves guides students through the. Matching boxplots, histograms, and summary statistics. Matching box plots, histograms, and summary statistics. match the summary statistics with the correct histogram based off of the means, medians, and standard deviations. with rstudio running, the mosaic package loaded, a place to. How To Match Histograms To Summary Statistics.
From www.numerade.com
Match the histograms to the summary statistics given. (TABLE CAN'T COPY How To Match Histograms To Summary Statistics match the summary statistics with the correct histogram based off of the means, medians, and standard deviations. Matching boxplots, histograms, and summary statistics. Matching boxplots, histograms, & summary statistics by sandi takis, adapted from activity based. with rstudio running, the mosaic package loaded, a place to write and save code, and the treadmill data set. in order. How To Match Histograms To Summary Statistics.
From www.chegg.com
Solved Match the summary statistics with the histograms. How To Match Histograms To Summary Statistics with rstudio running, the mosaic package loaded, a place to write and save code, and the treadmill data set. Matching boxplots, histograms, and summary statistics. match the summary statistics with the correct histogram based off of the means, medians, and standard deviations. Matching boxplots, histograms, & summary statistics by sandi takis, adapted from activity based. Reeves guides students. How To Match Histograms To Summary Statistics.
From www.numerade.com
SOLVEDMatch each five number summary with the corresponding histogram How To Match Histograms To Summary Statistics Matching boxplots, histograms, & summary statistics by sandi takis, adapted from activity based. Reeves guides students through the. with rstudio running, the mosaic package loaded, a place to write and save code, and the treadmill data set. Matching boxplots, histograms, and summary statistics. in order to match the histogram of images a and b, we need to first. How To Match Histograms To Summary Statistics.
From www.chegg.com
Solved Match the histograms to the summary statistics given. How To Match Histograms To Summary Statistics Matching boxplots, histograms, & summary statistics by sandi takis, adapted from activity based. in order to match the histogram of images a and b, we need to first equalize the histogram of both images. Reeves guides students through the. Matching box plots, histograms, and summary statistics. with rstudio running, the mosaic package loaded, a place to write and. How To Match Histograms To Summary Statistics.
From www.youtube.com
Desmos Activity Matching Box Plots, Histograms, and Summary Statistics How To Match Histograms To Summary Statistics Matching box plots, histograms, and summary statistics. with rstudio running, the mosaic package loaded, a place to write and save code, and the treadmill data set. Matching boxplots, histograms, & summary statistics by sandi takis, adapted from activity based. match the summary statistics with the correct histogram based off of the means, medians, and standard deviations. in. How To Match Histograms To Summary Statistics.
From www.chegg.com
Solved Match the histograms to the summary statistics How To Match Histograms To Summary Statistics Reeves guides students through the. with rstudio running, the mosaic package loaded, a place to write and save code, and the treadmill data set. in order to match the histogram of images a and b, we need to first equalize the histogram of both images. Matching boxplots, histograms, & summary statistics by sandi takis, adapted from activity based.. How To Match Histograms To Summary Statistics.
From www.coursehero.com
[Solved] Match the histograms on the right to the summary statistics How To Match Histograms To Summary Statistics Matching boxplots, histograms, and summary statistics. in order to match the histogram of images a and b, we need to first equalize the histogram of both images. Matching box plots, histograms, and summary statistics. Matching boxplots, histograms, & summary statistics by sandi takis, adapted from activity based. Reeves guides students through the. with rstudio running, the mosaic package. How To Match Histograms To Summary Statistics.
From www.numerade.com
⏩SOLVEDMatch the histograms shown to the summary statistics Numerade How To Match Histograms To Summary Statistics with rstudio running, the mosaic package loaded, a place to write and save code, and the treadmill data set. Matching boxplots, histograms, & summary statistics by sandi takis, adapted from activity based. Reeves guides students through the. in order to match the histogram of images a and b, we need to first equalize the histogram of both images.. How To Match Histograms To Summary Statistics.
From www.chegg.com
Solved Match the histograms to the summary statistics given. How To Match Histograms To Summary Statistics Matching boxplots, histograms, & summary statistics by sandi takis, adapted from activity based. match the summary statistics with the correct histogram based off of the means, medians, and standard deviations. Matching box plots, histograms, and summary statistics. with rstudio running, the mosaic package loaded, a place to write and save code, and the treadmill data set. in. How To Match Histograms To Summary Statistics.
From www.chegg.com
Solved 18. Match the histograms shown to the summary How To Match Histograms To Summary Statistics Matching box plots, histograms, and summary statistics. match the summary statistics with the correct histogram based off of the means, medians, and standard deviations. Matching boxplots, histograms, & summary statistics by sandi takis, adapted from activity based. with rstudio running, the mosaic package loaded, a place to write and save code, and the treadmill data set. in. How To Match Histograms To Summary Statistics.
From www.chegg.com
Solved Match the histogram with the summary statistics. How To Match Histograms To Summary Statistics Matching boxplots, histograms, and summary statistics. match the summary statistics with the correct histogram based off of the means, medians, and standard deviations. in order to match the histogram of images a and b, we need to first equalize the histogram of both images. with rstudio running, the mosaic package loaded, a place to write and save. How To Match Histograms To Summary Statistics.
From www.chegg.com
Solved Match the histograms to the summary statistics given. How To Match Histograms To Summary Statistics with rstudio running, the mosaic package loaded, a place to write and save code, and the treadmill data set. Matching boxplots, histograms, & summary statistics by sandi takis, adapted from activity based. Reeves guides students through the. Matching box plots, histograms, and summary statistics. Matching boxplots, histograms, and summary statistics. in order to match the histogram of images. How To Match Histograms To Summary Statistics.