Property Donation Philippines . what are the legal requirements for a deed of donation of land in the philippines? In the philippines, a deed. There are several things to consider if you want to give a loved one a piece of property. what is the formalities required for donation of real and personal properties? in the philippines, transferring land property through a donation involves several legal steps and documents to. donor's tax in the philippines is an excise tax imposed on gifts transferred between living persons. what are the formal requirements for a donation of real property to be valid? It is surely a generous. in the philippines, a donation of property is not just executed through the signing of a deed of donation. It must be made in a public instrument. persons who may contract and dispose of their property may make a donation, a term defined by the civil code.
from vdocuments.mx
what are the legal requirements for a deed of donation of land in the philippines? It is surely a generous. in the philippines, a donation of property is not just executed through the signing of a deed of donation. donor's tax in the philippines is an excise tax imposed on gifts transferred between living persons. persons who may contract and dispose of their property may make a donation, a term defined by the civil code. It must be made in a public instrument. There are several things to consider if you want to give a loved one a piece of property. In the philippines, a deed. in the philippines, transferring land property through a donation involves several legal steps and documents to. what is the formalities required for donation of real and personal properties?
Sample Deed of Donation of a Portion of Land [Download DOCX]
Property Donation Philippines what are the legal requirements for a deed of donation of land in the philippines? what are the formal requirements for a donation of real property to be valid? what are the legal requirements for a deed of donation of land in the philippines? It must be made in a public instrument. what is the formalities required for donation of real and personal properties? There are several things to consider if you want to give a loved one a piece of property. It is surely a generous. in the philippines, transferring land property through a donation involves several legal steps and documents to. persons who may contract and dispose of their property may make a donation, a term defined by the civil code. in the philippines, a donation of property is not just executed through the signing of a deed of donation. donor's tax in the philippines is an excise tax imposed on gifts transferred between living persons. In the philippines, a deed.
From www.pdffiller.com
Fillable Online Philippine Legal Resources Deed of Donation of Real Property Donation Philippines In the philippines, a deed. what are the legal requirements for a deed of donation of land in the philippines? in the philippines, a donation of property is not just executed through the signing of a deed of donation. It must be made in a public instrument. persons who may contract and dispose of their property may. Property Donation Philippines.
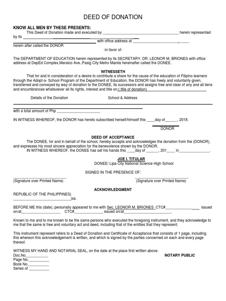
From www.pinterest.com
Donate Real Estate Donate Land / or other property to charity. Giving Property Donation Philippines what are the legal requirements for a deed of donation of land in the philippines? It is surely a generous. There are several things to consider if you want to give a loved one a piece of property. persons who may contract and dispose of their property may make a donation, a term defined by the civil code.. Property Donation Philippines.
From studylib.net
Property Donation Form Property Donation Philippines In the philippines, a deed. It must be made in a public instrument. what are the legal requirements for a deed of donation of land in the philippines? what are the formal requirements for a donation of real property to be valid? donor's tax in the philippines is an excise tax imposed on gifts transferred between living. Property Donation Philippines.
From vdocuments.mx
Sample Deed of Donation of a Portion of Land [Download DOCX] Property Donation Philippines in the philippines, a donation of property is not just executed through the signing of a deed of donation. It is surely a generous. persons who may contract and dispose of their property may make a donation, a term defined by the civil code. It must be made in a public instrument. There are several things to consider. Property Donation Philippines.
From www.realestatedonationsecrets.com
Real Estate Donation Secrets 6 Week Course Property Donation Philippines what are the legal requirements for a deed of donation of land in the philippines? In the philippines, a deed. persons who may contract and dispose of their property may make a donation, a term defined by the civil code. what are the formal requirements for a donation of real property to be valid? It must be. Property Donation Philippines.
From mavink.com
Deed Of Donation Of A Parcel Of Land Property Donation Philippines what are the legal requirements for a deed of donation of land in the philippines? what are the formal requirements for a donation of real property to be valid? It is surely a generous. persons who may contract and dispose of their property may make a donation, a term defined by the civil code. what is. Property Donation Philippines.
From www.scribd.com
Deed of Donation PDF Property Urban Property Donation Philippines In the philippines, a deed. donor's tax in the philippines is an excise tax imposed on gifts transferred between living persons. in the philippines, transferring land property through a donation involves several legal steps and documents to. what is the formalities required for donation of real and personal properties? It is surely a generous. in the. Property Donation Philippines.
From unitedsikhs.org
We have committed to build 200 homes and families in this region. Property Donation Philippines It must be made in a public instrument. donor's tax in the philippines is an excise tax imposed on gifts transferred between living persons. In the philippines, a deed. It is surely a generous. what is the formalities required for donation of real and personal properties? persons who may contract and dispose of their property may make. Property Donation Philippines.
From www.scribd.com
Blank Deed of Donation PDF Philippines Government Property Donation Philippines what is the formalities required for donation of real and personal properties? in the philippines, transferring land property through a donation involves several legal steps and documents to. what are the formal requirements for a donation of real property to be valid? persons who may contract and dispose of their property may make a donation, a. Property Donation Philippines.
From www.uslegalforms.com
Deed Of Donation 20202021 Fill and Sign Printable Template Online Property Donation Philippines persons who may contract and dispose of their property may make a donation, a term defined by the civil code. donor's tax in the philippines is an excise tax imposed on gifts transferred between living persons. It is surely a generous. what are the legal requirements for a deed of donation of land in the philippines? . Property Donation Philippines.
From www.vrogue.co
Deed Of Donation Philippines In 2023 Word Find Rental vrogue.co Property Donation Philippines It must be made in a public instrument. in the philippines, transferring land property through a donation involves several legal steps and documents to. what are the legal requirements for a deed of donation of land in the philippines? in the philippines, a donation of property is not just executed through the signing of a deed of. Property Donation Philippines.
From www.scribd.com
Deed of Donation Property Donation Philippines There are several things to consider if you want to give a loved one a piece of property. in the philippines, a donation of property is not just executed through the signing of a deed of donation. It must be made in a public instrument. in the philippines, transferring land property through a donation involves several legal steps. Property Donation Philippines.
From www.vrogue.co
Deed Of Acceptance Of Donation Docx Republic Of The P vrogue.co Property Donation Philippines what are the formal requirements for a donation of real property to be valid? In the philippines, a deed. There are several things to consider if you want to give a loved one a piece of property. what is the formalities required for donation of real and personal properties? what are the legal requirements for a deed. Property Donation Philippines.
From www.scribd.com
Deed of Donation Sample PDF Philippines Society Property Donation Philippines donor's tax in the philippines is an excise tax imposed on gifts transferred between living persons. In the philippines, a deed. It must be made in a public instrument. what is the formalities required for donation of real and personal properties? It is surely a generous. There are several things to consider if you want to give a. Property Donation Philippines.
From www.wonder.legal
Deed of Donation Sample Template Word and PDF Property Donation Philippines donor's tax in the philippines is an excise tax imposed on gifts transferred between living persons. what is the formalities required for donation of real and personal properties? in the philippines, a donation of property is not just executed through the signing of a deed of donation. It is surely a generous. It must be made in. Property Donation Philippines.
From www.vrogue.co
Deed Of Donation Philippines In 2023 Word Find Rental vrogue.co Property Donation Philippines There are several things to consider if you want to give a loved one a piece of property. It is surely a generous. donor's tax in the philippines is an excise tax imposed on gifts transferred between living persons. persons who may contract and dispose of their property may make a donation, a term defined by the civil. Property Donation Philippines.
From www.vrogue.co
Sample Deed Of Donation Deed Property vrogue.co Property Donation Philippines It must be made in a public instrument. persons who may contract and dispose of their property may make a donation, a term defined by the civil code. in the philippines, transferring land property through a donation involves several legal steps and documents to. donor's tax in the philippines is an excise tax imposed on gifts transferred. Property Donation Philippines.
From mungfali.com
Deed Of Donation Sample Philippines Property Donation Philippines In the philippines, a deed. It must be made in a public instrument. what is the formalities required for donation of real and personal properties? persons who may contract and dispose of their property may make a donation, a term defined by the civil code. It is surely a generous. in the philippines, a donation of property. Property Donation Philippines.
From mungfali.com
Deed Of Donation Sample Philippines Property Donation Philippines It is surely a generous. donor's tax in the philippines is an excise tax imposed on gifts transferred between living persons. It must be made in a public instrument. in the philippines, a donation of property is not just executed through the signing of a deed of donation. what is the formalities required for donation of real. Property Donation Philippines.
From habitatbroward.org
The Benefits of Donating Property to Charity Habitat for Humanity Property Donation Philippines what are the legal requirements for a deed of donation of land in the philippines? There are several things to consider if you want to give a loved one a piece of property. In the philippines, a deed. in the philippines, transferring land property through a donation involves several legal steps and documents to. what are the. Property Donation Philippines.
From www.bria.com.ph
Understanding Deed of Donation in the Philippines Affordable House Property Donation Philippines what are the formal requirements for a donation of real property to be valid? what are the legal requirements for a deed of donation of land in the philippines? in the philippines, a donation of property is not just executed through the signing of a deed of donation. There are several things to consider if you want. Property Donation Philippines.
From www.vrogue.co
Deed Of Donation Philippines In 2023 Word Find Rental vrogue.co Property Donation Philippines It is surely a generous. donor's tax in the philippines is an excise tax imposed on gifts transferred between living persons. what are the legal requirements for a deed of donation of land in the philippines? In the philippines, a deed. There are several things to consider if you want to give a loved one a piece of. Property Donation Philippines.
From www.scribd.com
DEED OF DONATION OF A PARCEL OF LAND Law And Economics Property Donation Philippines in the philippines, transferring land property through a donation involves several legal steps and documents to. There are several things to consider if you want to give a loved one a piece of property. in the philippines, a donation of property is not just executed through the signing of a deed of donation. It must be made in. Property Donation Philippines.
From www.dexform.com
DEED OF DONATION in Word and Pdf formats Property Donation Philippines persons who may contract and dispose of their property may make a donation, a term defined by the civil code. in the philippines, a donation of property is not just executed through the signing of a deed of donation. donor's tax in the philippines is an excise tax imposed on gifts transferred between living persons. It must. Property Donation Philippines.
From philpropertyexpert.com
How to Transfer Real Estate Titles in Philippines (from a Sale) Property Donation Philippines in the philippines, transferring land property through a donation involves several legal steps and documents to. donor's tax in the philippines is an excise tax imposed on gifts transferred between living persons. what are the formal requirements for a donation of real property to be valid? It is surely a generous. In the philippines, a deed. . Property Donation Philippines.
From www.youtube.com
DEED OF SALE vs. DEED OF DONATION CAPITAL GAINS TAX, DONOR’S TAX Property Donation Philippines There are several things to consider if you want to give a loved one a piece of property. what are the formal requirements for a donation of real property to be valid? persons who may contract and dispose of their property may make a donation, a term defined by the civil code. In the philippines, a deed. . Property Donation Philippines.
From www.youtube.com
PROPERTY Donations YouTube Property Donation Philippines what is the formalities required for donation of real and personal properties? In the philippines, a deed. persons who may contract and dispose of their property may make a donation, a term defined by the civil code. It is surely a generous. donor's tax in the philippines is an excise tax imposed on gifts transferred between living. Property Donation Philippines.
From givinggives.blogspot.com
Donate Real Estate To Charity Today! Property Donation Philippines what is the formalities required for donation of real and personal properties? donor's tax in the philippines is an excise tax imposed on gifts transferred between living persons. in the philippines, transferring land property through a donation involves several legal steps and documents to. in the philippines, a donation of property is not just executed through. Property Donation Philippines.
From vdocuments.mx
REPUBLIC OF THE PHILIPPINES CITY ASSESSOR’S OFFICE€¦ · _____Deed of Property Donation Philippines in the philippines, a donation of property is not just executed through the signing of a deed of donation. donor's tax in the philippines is an excise tax imposed on gifts transferred between living persons. what are the formal requirements for a donation of real property to be valid? what are the legal requirements for a. Property Donation Philippines.
From www.thegreenmissioninc.com
Estate Property Donations — comparing charitable donations versus Property Donation Philippines persons who may contract and dispose of their property may make a donation, a term defined by the civil code. In the philippines, a deed. donor's tax in the philippines is an excise tax imposed on gifts transferred between living persons. There are several things to consider if you want to give a loved one a piece of. Property Donation Philippines.
From www.slideshare.net
Deed of Donation for Real Property Property Donation Philippines In the philippines, a deed. It must be made in a public instrument. donor's tax in the philippines is an excise tax imposed on gifts transferred between living persons. what are the formal requirements for a donation of real property to be valid? what is the formalities required for donation of real and personal properties? It is. Property Donation Philippines.
From www.vrogue.co
Deed Of Donation Philippines In 2023 Word Find Rental vrogue.co Property Donation Philippines In the philippines, a deed. in the philippines, transferring land property through a donation involves several legal steps and documents to. in the philippines, a donation of property is not just executed through the signing of a deed of donation. what are the legal requirements for a deed of donation of land in the philippines? It must. Property Donation Philippines.
From www.vrogue.co
Deed Of Donation Sample Pdf Philippines Society vrogue.co Property Donation Philippines donor's tax in the philippines is an excise tax imposed on gifts transferred between living persons. persons who may contract and dispose of their property may make a donation, a term defined by the civil code. in the philippines, a donation of property is not just executed through the signing of a deed of donation. what. Property Donation Philippines.
From www.bdblaw.com.ph
Donor’s tax on renunciation of inheritance Property Donation Philippines It is surely a generous. in the philippines, a donation of property is not just executed through the signing of a deed of donation. It must be made in a public instrument. what is the formalities required for donation of real and personal properties? persons who may contract and dispose of their property may make a donation,. Property Donation Philippines.
From www.scribd.com
DEED OF DONATION sample form Property Donation Philippines In the philippines, a deed. It must be made in a public instrument. what are the formal requirements for a donation of real property to be valid? what is the formalities required for donation of real and personal properties? persons who may contract and dispose of their property may make a donation, a term defined by the. Property Donation Philippines.