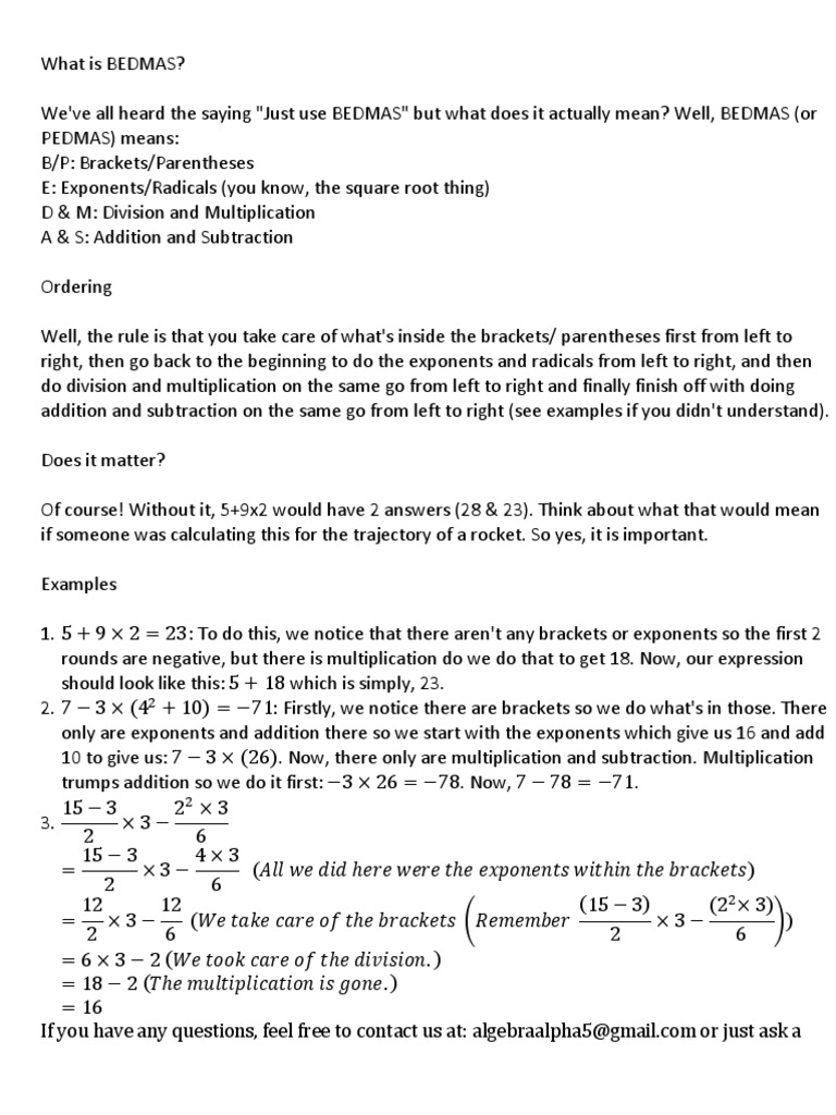
Other Names For Bedmas . Bidmas stands for brackets, indices, division, multiplication, addition and subtraction. See examples, videos and tips for brackets, powers, division, multiplication, addition and. Order and indices are just two different names for the same thing. Synonyms for bedmas (other words and phrases for bedmas). Bodmas, bidmas and pemdas are acronyms for remembering the order of operations in mathematics. Bodmas and bidmas are two different names to help remember the order of operations. Find 5 synonyms for bedmas and other similar words that you can use instead from our thesaurus. Bodmas stands for brackets, orders, division, multiplication, addition, and subtraction, which is commonly used in the united kingdom, india, and other commonwealth countries. The o in bodmas stands for order and the i in bidmas stands for indices. Learn how to use bodmas, bidmas or bedmas to carry out calculations in the correct order. Learn the meaning, difference and application of these terms with examples,.
from spmath77211.blogspot.com
Learn the meaning, difference and application of these terms with examples,. Bidmas stands for brackets, indices, division, multiplication, addition and subtraction. Bodmas stands for brackets, orders, division, multiplication, addition, and subtraction, which is commonly used in the united kingdom, india, and other commonwealth countries. The o in bodmas stands for order and the i in bidmas stands for indices. Order and indices are just two different names for the same thing. See examples, videos and tips for brackets, powers, division, multiplication, addition and. Bodmas and bidmas are two different names to help remember the order of operations. Synonyms for bedmas (other words and phrases for bedmas). Learn how to use bodmas, bidmas or bedmas to carry out calculations in the correct order. Bodmas, bidmas and pemdas are acronyms for remembering the order of operations in mathematics.
7722011 BEDMAS question for February 9, 2012
Other Names For Bedmas Learn the meaning, difference and application of these terms with examples,. Bodmas, bidmas and pemdas are acronyms for remembering the order of operations in mathematics. Find 5 synonyms for bedmas and other similar words that you can use instead from our thesaurus. Learn the meaning, difference and application of these terms with examples,. Learn how to use bodmas, bidmas or bedmas to carry out calculations in the correct order. Synonyms for bedmas (other words and phrases for bedmas). See examples, videos and tips for brackets, powers, division, multiplication, addition and. Order and indices are just two different names for the same thing. The o in bodmas stands for order and the i in bidmas stands for indices. Bodmas and bidmas are two different names to help remember the order of operations. Bodmas stands for brackets, orders, division, multiplication, addition, and subtraction, which is commonly used in the united kingdom, india, and other commonwealth countries. Bidmas stands for brackets, indices, division, multiplication, addition and subtraction.
From www.scribd.com
Use BEDMAS To Remember The Order of Operations PDF Bracket Other Names For Bedmas Bodmas and bidmas are two different names to help remember the order of operations. Bidmas stands for brackets, indices, division, multiplication, addition and subtraction. The o in bodmas stands for order and the i in bidmas stands for indices. Synonyms for bedmas (other words and phrases for bedmas). Bodmas stands for brackets, orders, division, multiplication, addition, and subtraction, which is. Other Names For Bedmas.
From diyworksheet.com
Worksheets On Bodmas For Grade 6 Other Names For Bedmas Learn how to use bodmas, bidmas or bedmas to carry out calculations in the correct order. Order and indices are just two different names for the same thing. Synonyms for bedmas (other words and phrases for bedmas). The o in bodmas stands for order and the i in bidmas stands for indices. Find 5 synonyms for bedmas and other similar. Other Names For Bedmas.
From www.youtube.com
Order of operations, BEDMAS, BEMDAS, BODMAS or whatever. YouTube Other Names For Bedmas Find 5 synonyms for bedmas and other similar words that you can use instead from our thesaurus. Bodmas, bidmas and pemdas are acronyms for remembering the order of operations in mathematics. Learn the meaning, difference and application of these terms with examples,. Order and indices are just two different names for the same thing. Bidmas stands for brackets, indices, division,. Other Names For Bedmas.
From education.thepoemstory.com
BODMAS Rule of Mathematical Operations BODMAS vs PEMDAS Other Names For Bedmas See examples, videos and tips for brackets, powers, division, multiplication, addition and. Bidmas stands for brackets, indices, division, multiplication, addition and subtraction. Bodmas stands for brackets, orders, division, multiplication, addition, and subtraction, which is commonly used in the united kingdom, india, and other commonwealth countries. Bodmas and bidmas are two different names to help remember the order of operations. Find. Other Names For Bedmas.
From spmath70911.blogspot.com
7092011 BEDMAS Other Names For Bedmas Bodmas stands for brackets, orders, division, multiplication, addition, and subtraction, which is commonly used in the united kingdom, india, and other commonwealth countries. Order and indices are just two different names for the same thing. See examples, videos and tips for brackets, powers, division, multiplication, addition and. Bidmas stands for brackets, indices, division, multiplication, addition and subtraction. The o in. Other Names For Bedmas.
From www.slideserve.com
PPT BODMAS PowerPoint Presentation ID691381 Other Names For Bedmas Bidmas stands for brackets, indices, division, multiplication, addition and subtraction. Bodmas and bidmas are two different names to help remember the order of operations. Learn how to use bodmas, bidmas or bedmas to carry out calculations in the correct order. Synonyms for bedmas (other words and phrases for bedmas). Order and indices are just two different names for the same. Other Names For Bedmas.
From www.thecalculatorsite.com
BODMAS Explained Order Of Mathematical Operations Other Names For Bedmas Learn how to use bodmas, bidmas or bedmas to carry out calculations in the correct order. Synonyms for bedmas (other words and phrases for bedmas). See examples, videos and tips for brackets, powers, division, multiplication, addition and. Order and indices are just two different names for the same thing. Bodmas, bidmas and pemdas are acronyms for remembering the order of. Other Names For Bedmas.
From www.youtube.com
BODMAS Rule Math Tricks/RRB GroupD, NTPC+other Exams YouTube Other Names For Bedmas Bodmas and bidmas are two different names to help remember the order of operations. Learn the meaning, difference and application of these terms with examples,. Bodmas stands for brackets, orders, division, multiplication, addition, and subtraction, which is commonly used in the united kingdom, india, and other commonwealth countries. Bodmas, bidmas and pemdas are acronyms for remembering the order of operations. Other Names For Bedmas.
From www.slideshare.net
Lesson 3 Practice BEDMAS with Integers.pdf Other Names For Bedmas Learn the meaning, difference and application of these terms with examples,. Find 5 synonyms for bedmas and other similar words that you can use instead from our thesaurus. See examples, videos and tips for brackets, powers, division, multiplication, addition and. Bodmas stands for brackets, orders, division, multiplication, addition, and subtraction, which is commonly used in the united kingdom, india, and. Other Names For Bedmas.
From www.youtube.com
BODMAS, HOW TO USE BODMAS? APPLICATIONS OF BODMAS YouTube Other Names For Bedmas Learn how to use bodmas, bidmas or bedmas to carry out calculations in the correct order. Bodmas, bidmas and pemdas are acronyms for remembering the order of operations in mathematics. Find 5 synonyms for bedmas and other similar words that you can use instead from our thesaurus. Order and indices are just two different names for the same thing. Bidmas. Other Names For Bedmas.
From www.studocu.com
1.3 Integers Bedmas MTH 1W Homework 1 Order of Operations Other Names For Bedmas See examples, videos and tips for brackets, powers, division, multiplication, addition and. Bodmas, bidmas and pemdas are acronyms for remembering the order of operations in mathematics. Bidmas stands for brackets, indices, division, multiplication, addition and subtraction. Order and indices are just two different names for the same thing. Bodmas stands for brackets, orders, division, multiplication, addition, and subtraction, which is. Other Names For Bedmas.
From mathrockseh.com
More Division Of Fractions Using An Area Model MTH1W Day 18 Math Other Names For Bedmas Synonyms for bedmas (other words and phrases for bedmas). Bodmas, bidmas and pemdas are acronyms for remembering the order of operations in mathematics. The o in bodmas stands for order and the i in bidmas stands for indices. Order and indices are just two different names for the same thing. Learn how to use bodmas, bidmas or bedmas to carry. Other Names For Bedmas.
From www.liveworksheets.com
Bodmas grade 5 2542 Vpgamer101 Live Worksheets Other Names For Bedmas Bodmas stands for brackets, orders, division, multiplication, addition, and subtraction, which is commonly used in the united kingdom, india, and other commonwealth countries. Synonyms for bedmas (other words and phrases for bedmas). Bodmas, bidmas and pemdas are acronyms for remembering the order of operations in mathematics. See examples, videos and tips for brackets, powers, division, multiplication, addition and. Bidmas stands. Other Names For Bedmas.
From www.youtube.com
What does BEDMAS and the order of operations tell us the answer will be Other Names For Bedmas The o in bodmas stands for order and the i in bidmas stands for indices. Bodmas stands for brackets, orders, division, multiplication, addition, and subtraction, which is commonly used in the united kingdom, india, and other commonwealth countries. Learn how to use bodmas, bidmas or bedmas to carry out calculations in the correct order. See examples, videos and tips for. Other Names For Bedmas.
From aspiecoach.blogspot.com
Coaching our kids with Aspergers Free worksheets math BEDMAS Other Names For Bedmas Bodmas stands for brackets, orders, division, multiplication, addition, and subtraction, which is commonly used in the united kingdom, india, and other commonwealth countries. Learn the meaning, difference and application of these terms with examples,. Find 5 synonyms for bedmas and other similar words that you can use instead from our thesaurus. Learn how to use bodmas, bidmas or bedmas to. Other Names For Bedmas.
From www.slideshare.net
My Order of Operations Slide show Other Names For Bedmas Learn how to use bodmas, bidmas or bedmas to carry out calculations in the correct order. Order and indices are just two different names for the same thing. See examples, videos and tips for brackets, powers, division, multiplication, addition and. Bidmas stands for brackets, indices, division, multiplication, addition and subtraction. Find 5 synonyms for bedmas and other similar words that. Other Names For Bedmas.
From spmath77211.blogspot.com
7722011 BEDMAS question for February 9, 2012 Other Names For Bedmas Learn the meaning, difference and application of these terms with examples,. Synonyms for bedmas (other words and phrases for bedmas). Bodmas, bidmas and pemdas are acronyms for remembering the order of operations in mathematics. The o in bodmas stands for order and the i in bidmas stands for indices. See examples, videos and tips for brackets, powers, division, multiplication, addition. Other Names For Bedmas.
From www.worksheeto.com
16 Bodmas Worksheets With Answers / Other Names For Bedmas Bodmas stands for brackets, orders, division, multiplication, addition, and subtraction, which is commonly used in the united kingdom, india, and other commonwealth countries. Order and indices are just two different names for the same thing. Bodmas and bidmas are two different names to help remember the order of operations. Find 5 synonyms for bedmas and other similar words that you. Other Names For Bedmas.
From www.pinterest.co.uk
BIDMAS / BODMAS Homework or worksheet with answers! Free and Premium Other Names For Bedmas The o in bodmas stands for order and the i in bidmas stands for indices. Order and indices are just two different names for the same thing. Find 5 synonyms for bedmas and other similar words that you can use instead from our thesaurus. See examples, videos and tips for brackets, powers, division, multiplication, addition and. Synonyms for bedmas (other. Other Names For Bedmas.
From www.youtube.com
bedmas YouTube Other Names For Bedmas Bodmas stands for brackets, orders, division, multiplication, addition, and subtraction, which is commonly used in the united kingdom, india, and other commonwealth countries. Bodmas and bidmas are two different names to help remember the order of operations. Learn the meaning, difference and application of these terms with examples,. Synonyms for bedmas (other words and phrases for bedmas). The o in. Other Names For Bedmas.
From www.worksheeto.com
5 Bedmas Worksheet For Grade 6 Math / Other Names For Bedmas Bodmas stands for brackets, orders, division, multiplication, addition, and subtraction, which is commonly used in the united kingdom, india, and other commonwealth countries. Learn the meaning, difference and application of these terms with examples,. The o in bodmas stands for order and the i in bidmas stands for indices. Order and indices are just two different names for the same. Other Names For Bedmas.
From www.scribd.com
How To Use Bedmas PDF Other Names For Bedmas Bodmas and bidmas are two different names to help remember the order of operations. Order and indices are just two different names for the same thing. Synonyms for bedmas (other words and phrases for bedmas). The o in bodmas stands for order and the i in bidmas stands for indices. Learn how to use bodmas, bidmas or bedmas to carry. Other Names For Bedmas.
From www.youtube.com
(Math ) Order of Operation (BEDMAS,PEDMAS) YouTube Other Names For Bedmas Learn how to use bodmas, bidmas or bedmas to carry out calculations in the correct order. Learn the meaning, difference and application of these terms with examples,. Bodmas, bidmas and pemdas are acronyms for remembering the order of operations in mathematics. Bidmas stands for brackets, indices, division, multiplication, addition and subtraction. Bodmas stands for brackets, orders, division, multiplication, addition, and. Other Names For Bedmas.
From spmath71111.blogspot.com
7112011 Today's BEDMAS question. Other Names For Bedmas Bodmas, bidmas and pemdas are acronyms for remembering the order of operations in mathematics. Bodmas and bidmas are two different names to help remember the order of operations. The o in bodmas stands for order and the i in bidmas stands for indices. Synonyms for bedmas (other words and phrases for bedmas). Bidmas stands for brackets, indices, division, multiplication, addition. Other Names For Bedmas.
From mavink.com
Printable Bodmas Worksheets Other Names For Bedmas Learn how to use bodmas, bidmas or bedmas to carry out calculations in the correct order. Bodmas and bidmas are two different names to help remember the order of operations. Find 5 synonyms for bedmas and other similar words that you can use instead from our thesaurus. Order and indices are just two different names for the same thing. See. Other Names For Bedmas.
From twitter.com
Melanie Ng on Twitter "12. Come on BEDMAS, don't fail me now." / Twitter Other Names For Bedmas Order and indices are just two different names for the same thing. Bidmas stands for brackets, indices, division, multiplication, addition and subtraction. Synonyms for bedmas (other words and phrases for bedmas). Find 5 synonyms for bedmas and other similar words that you can use instead from our thesaurus. Learn the meaning, difference and application of these terms with examples,. The. Other Names For Bedmas.
From www.worksheeto.com
17 Order Of Operations And Exponents Worksheet / Other Names For Bedmas Bodmas, bidmas and pemdas are acronyms for remembering the order of operations in mathematics. Learn the meaning, difference and application of these terms with examples,. Bidmas stands for brackets, indices, division, multiplication, addition and subtraction. Bodmas stands for brackets, orders, division, multiplication, addition, and subtraction, which is commonly used in the united kingdom, india, and other commonwealth countries. Order and. Other Names For Bedmas.
From www.liveworksheets.com
Bedmas 2273634 pyoung Live Worksheets Other Names For Bedmas Bidmas stands for brackets, indices, division, multiplication, addition and subtraction. Find 5 synonyms for bedmas and other similar words that you can use instead from our thesaurus. See examples, videos and tips for brackets, powers, division, multiplication, addition and. Learn how to use bodmas, bidmas or bedmas to carry out calculations in the correct order. Bodmas stands for brackets, orders,. Other Names For Bedmas.
From www.tigermoon.co.uk
GCSE Maths Bodmas Educational Poster size A2 Tiger Moon Other Names For Bedmas Bodmas, bidmas and pemdas are acronyms for remembering the order of operations in mathematics. Bodmas stands for brackets, orders, division, multiplication, addition, and subtraction, which is commonly used in the united kingdom, india, and other commonwealth countries. Find 5 synonyms for bedmas and other similar words that you can use instead from our thesaurus. Order and indices are just two. Other Names For Bedmas.
From www.worksheeto.com
19 Bedmas Worksheets Grade 6 / Other Names For Bedmas Bodmas, bidmas and pemdas are acronyms for remembering the order of operations in mathematics. Bidmas stands for brackets, indices, division, multiplication, addition and subtraction. Find 5 synonyms for bedmas and other similar words that you can use instead from our thesaurus. Order and indices are just two different names for the same thing. Learn the meaning, difference and application of. Other Names For Bedmas.
From www.cheggindia.com
BODMAS Full Form Unlocking the Key to Mathematical Order Other Names For Bedmas Bidmas stands for brackets, indices, division, multiplication, addition and subtraction. Synonyms for bedmas (other words and phrases for bedmas). Learn how to use bodmas, bidmas or bedmas to carry out calculations in the correct order. Learn the meaning, difference and application of these terms with examples,. The o in bodmas stands for order and the i in bidmas stands for. Other Names For Bedmas.
From www.slideserve.com
PPT BODMAS PowerPoint Presentation, free download ID691381 Other Names For Bedmas The o in bodmas stands for order and the i in bidmas stands for indices. Find 5 synonyms for bedmas and other similar words that you can use instead from our thesaurus. Synonyms for bedmas (other words and phrases for bedmas). Bodmas and bidmas are two different names to help remember the order of operations. Bodmas, bidmas and pemdas are. Other Names For Bedmas.
From rumble.com
Numbers up to 1000,000 BEDMAS IntoMath Other Names For Bedmas See examples, videos and tips for brackets, powers, division, multiplication, addition and. Bodmas and bidmas are two different names to help remember the order of operations. Bodmas stands for brackets, orders, division, multiplication, addition, and subtraction, which is commonly used in the united kingdom, india, and other commonwealth countries. Order and indices are just two different names for the same. Other Names For Bedmas.
From slideplayer.com
CST8177 Scripting 2 What?. ppt download Other Names For Bedmas Learn the meaning, difference and application of these terms with examples,. See examples, videos and tips for brackets, powers, division, multiplication, addition and. Bodmas and bidmas are two different names to help remember the order of operations. Find 5 synonyms for bedmas and other similar words that you can use instead from our thesaurus. Learn how to use bodmas, bidmas. Other Names For Bedmas.
From aspiecoach.blogspot.com
Coaching our kids with Aspergers Free worksheets math BEDMAS Other Names For Bedmas Learn the meaning, difference and application of these terms with examples,. Learn how to use bodmas, bidmas or bedmas to carry out calculations in the correct order. Synonyms for bedmas (other words and phrases for bedmas). Find 5 synonyms for bedmas and other similar words that you can use instead from our thesaurus. Order and indices are just two different. Other Names For Bedmas.