Llc Companies In Alabama . The business type of choice for many startups is a limited liability company (llc),. The five critical steps to properly set up an llc in alabama in order are: Learn the steps to form an llc in alabama, including naming, registering, and operating your business. Find out the filing fees, name reservation requirements. View ownership, contact, and filing details for llcs, corporations,. Find business entities by name, id, date, or reservation id in alabama. Follow the six steps to name your llc, appoint a registered agent, file a certificate,. Learn how to start an llc in alabama with zenbusiness, a service that offers formation and compliance solutions. Learn the steps to form an llc in alabama, from naming your business to filing your certificate of formation. Learn how to organize a domestic or register a foreign limited liability company in alabama. File certificate of formation with the state of alabama. Prepare by choosing a name and registered agent. Discover the best alabama llc services of 2024. Find information and services for various types of business entities in alabama, such as corporations, llcs, partnerships, and more. Find out the fees, requirements, and benefits of starting an llc in alabama with.
from www.realestatewitch.com
Learn the steps to form an llc in alabama, including naming, registering, and operating your business. Learn the steps to form an llc in alabama, from naming your business to filing your certificate of formation. The business type of choice for many startups is a limited liability company (llc),. Follow the six steps to name your llc, appoint a registered agent, file a certificate,. Learn how to start an llc in alabama with zenbusiness, a service that offers formation and compliance solutions. The five critical steps to properly set up an llc in alabama in order are: Learn how to organize a domestic or register a foreign limited liability company in alabama. Find out the filing fees, name reservation requirements. Find information and services for various types of business entities in alabama, such as corporations, llcs, partnerships, and more. Find out the fees, requirements, and benefits of starting an llc in alabama with.
Top 5 We Buy Houses for Cash Companies in Alabama
Llc Companies In Alabama View ownership, contact, and filing details for llcs, corporations,. Learn how to start an llc in alabama with zenbusiness, a service that offers formation and compliance solutions. Learn the steps to form an llc in alabama, including naming, registering, and operating your business. File certificate of formation with the state of alabama. Find information and services for various types of business entities in alabama, such as corporations, llcs, partnerships, and more. Learn how to organize a domestic or register a foreign limited liability company in alabama. Discover the best alabama llc services of 2024. Find out the fees, requirements, and benefits of starting an llc in alabama with. The business type of choice for many startups is a limited liability company (llc),. Find business entities by name, id, date, or reservation id in alabama. The five critical steps to properly set up an llc in alabama in order are: Follow the six steps to name your llc, appoint a registered agent, file a certificate,. View ownership, contact, and filing details for llcs, corporations,. Prepare by choosing a name and registered agent. Find out the filing fees, name reservation requirements. Learn the steps to form an llc in alabama, from naming your business to filing your certificate of formation.
From www.pinterest.com
Form LLC in Alabama Alabama, Llc, Form Llc Companies In Alabama Find out the fees, requirements, and benefits of starting an llc in alabama with. Learn how to organize a domestic or register a foreign limited liability company in alabama. The business type of choice for many startups is a limited liability company (llc),. Discover the best alabama llc services of 2024. The five critical steps to properly set up an. Llc Companies In Alabama.
From webinarcare.com
LLC vs SCorp What Entrepreneurs Need to Know in Alabama Llc Companies In Alabama Learn how to organize a domestic or register a foreign limited liability company in alabama. The business type of choice for many startups is a limited liability company (llc),. The five critical steps to properly set up an llc in alabama in order are: Learn the steps to form an llc in alabama, including naming, registering, and operating your business.. Llc Companies In Alabama.
From llcbuddy.com
LLC contra SCorp en Alabama Llc Companies In Alabama Find business entities by name, id, date, or reservation id in alabama. Discover the best alabama llc services of 2024. Find information and services for various types of business entities in alabama, such as corporations, llcs, partnerships, and more. Learn how to start an llc in alabama with zenbusiness, a service that offers formation and compliance solutions. The business type. Llc Companies In Alabama.
From www.northalabamaworks.com
North Alabama companies make Inc. 5000 list for 2021 North AlabamaWorks! Llc Companies In Alabama Find information and services for various types of business entities in alabama, such as corporations, llcs, partnerships, and more. Learn how to start an llc in alabama with zenbusiness, a service that offers formation and compliance solutions. View ownership, contact, and filing details for llcs, corporations,. The five critical steps to properly set up an llc in alabama in order. Llc Companies In Alabama.
From www.al.com
2 Alabamabased companies make the Fortune 500 Llc Companies In Alabama Find out the fees, requirements, and benefits of starting an llc in alabama with. The five critical steps to properly set up an llc in alabama in order are: Follow the six steps to name your llc, appoint a registered agent, file a certificate,. Discover the best alabama llc services of 2024. The business type of choice for many startups. Llc Companies In Alabama.
From businessfro.com
How To Create An LLC In Alabama [2023] BUSINESSFRO Llc Companies In Alabama Learn how to organize a domestic or register a foreign limited liability company in alabama. Prepare by choosing a name and registered agent. Find information and services for various types of business entities in alabama, such as corporations, llcs, partnerships, and more. Learn the steps to form an llc in alabama, from naming your business to filing your certificate of. Llc Companies In Alabama.
From llcguys.com
Alabama LLC (7 Step Guide) How to Form an LLC in Alabama Llc Companies In Alabama Follow the six steps to name your llc, appoint a registered agent, file a certificate,. The business type of choice for many startups is a limited liability company (llc),. Learn how to start an llc in alabama with zenbusiness, a service that offers formation and compliance solutions. Learn the steps to form an llc in alabama, including naming, registering, and. Llc Companies In Alabama.
From freeforms.com
Free Alabama LLC Operating Agreement Template PDF WORD Llc Companies In Alabama Learn the steps to form an llc in alabama, from naming your business to filing your certificate of formation. Learn the steps to form an llc in alabama, including naming, registering, and operating your business. Find out the filing fees, name reservation requirements. Find out the fees, requirements, and benefits of starting an llc in alabama with. Learn how to. Llc Companies In Alabama.
From llcguys.com
Alabama LLC (7 Step Guide) How to Form an LLC in Alabama Llc Companies In Alabama Learn the steps to form an llc in alabama, including naming, registering, and operating your business. Learn the steps to form an llc in alabama, from naming your business to filing your certificate of formation. Find out the filing fees, name reservation requirements. Prepare by choosing a name and registered agent. Learn how to organize a domestic or register a. Llc Companies In Alabama.
From llcbuddy.com
5 Best LLC Formation Services in Alabama (2024 Updated) Llc Companies In Alabama Learn the steps to form an llc in alabama, from naming your business to filing your certificate of formation. The business type of choice for many startups is a limited liability company (llc),. View ownership, contact, and filing details for llcs, corporations,. Find information and services for various types of business entities in alabama, such as corporations, llcs, partnerships, and. Llc Companies In Alabama.
From www.shopify.ca
Alabama LLC How To Start an LLC in Alabama in 11 Steps — Starting a Llc Companies In Alabama Find business entities by name, id, date, or reservation id in alabama. Find out the filing fees, name reservation requirements. Learn how to organize a domestic or register a foreign limited liability company in alabama. Prepare by choosing a name and registered agent. Learn how to start an llc in alabama with zenbusiness, a service that offers formation and compliance. Llc Companies In Alabama.
From startmyllc.io
How to Start an LLC in Alabama (AL LLC 2022) StartMyLLC Llc Companies In Alabama The business type of choice for many startups is a limited liability company (llc),. Find out the filing fees, name reservation requirements. View ownership, contact, and filing details for llcs, corporations,. Learn how to organize a domestic or register a foreign limited liability company in alabama. Learn the steps to form an llc in alabama, from naming your business to. Llc Companies In Alabama.
From www.gray.com
ArvinMeritor Sejong, LLC Projects Gray Llc Companies In Alabama Find business entities by name, id, date, or reservation id in alabama. Learn the steps to form an llc in alabama, from naming your business to filing your certificate of formation. Follow the six steps to name your llc, appoint a registered agent, file a certificate,. Discover the best alabama llc services of 2024. Find out the fees, requirements, and. Llc Companies In Alabama.
From businessfro.com
How To Create An LLC In Alabama [2023] BUSINESSFRO Llc Companies In Alabama Find information and services for various types of business entities in alabama, such as corporations, llcs, partnerships, and more. The five critical steps to properly set up an llc in alabama in order are: View ownership, contact, and filing details for llcs, corporations,. Learn how to start an llc in alabama with zenbusiness, a service that offers formation and compliance. Llc Companies In Alabama.
From bestcompaniesgroup.com
2015 Best Companies Best Companies to Work for in Alabama Llc Companies In Alabama Learn how to organize a domestic or register a foreign limited liability company in alabama. Learn the steps to form an llc in alabama, from naming your business to filing your certificate of formation. View ownership, contact, and filing details for llcs, corporations,. Find information and services for various types of business entities in alabama, such as corporations, llcs, partnerships,. Llc Companies In Alabama.
From www.freedomrealestate.biz
Freedom Listed as One of Alabama's Largest Private Companies in 2022 Llc Companies In Alabama View ownership, contact, and filing details for llcs, corporations,. Find business entities by name, id, date, or reservation id in alabama. Find out the fees, requirements, and benefits of starting an llc in alabama with. The business type of choice for many startups is a limited liability company (llc),. Learn how to start an llc in alabama with zenbusiness, a. Llc Companies In Alabama.
From stepbystepbusiness.com
Alabama LLC Operating Agreement Template Step By Step Business Llc Companies In Alabama Learn how to organize a domestic or register a foreign limited liability company in alabama. Discover the best alabama llc services of 2024. Find information and services for various types of business entities in alabama, such as corporations, llcs, partnerships, and more. Follow the six steps to name your llc, appoint a registered agent, file a certificate,. Learn the steps. Llc Companies In Alabama.
From www.northalabamaworks.com
North Alabama companies make Inc. 5000 list for 2021 North AlabamaWorks! Llc Companies In Alabama Learn the steps to form an llc in alabama, from naming your business to filing your certificate of formation. Learn the steps to form an llc in alabama, including naming, registering, and operating your business. View ownership, contact, and filing details for llcs, corporations,. Learn how to start an llc in alabama with zenbusiness, a service that offers formation and. Llc Companies In Alabama.
From businessalabama.com
Hibbett, Nike unveil initiative with 50,000 donation to Birmingham Llc Companies In Alabama File certificate of formation with the state of alabama. Learn the steps to form an llc in alabama, including naming, registering, and operating your business. Learn the steps to form an llc in alabama, from naming your business to filing your certificate of formation. Prepare by choosing a name and registered agent. Discover the best alabama llc services of 2024.. Llc Companies In Alabama.
From cervitude.com
How to Form an LLC in Alabama 5 Cervitude™ Llc Companies In Alabama The business type of choice for many startups is a limited liability company (llc),. Find out the fees, requirements, and benefits of starting an llc in alabama with. Find out the filing fees, name reservation requirements. File certificate of formation with the state of alabama. Find information and services for various types of business entities in alabama, such as corporations,. Llc Companies In Alabama.
From www.uslegalforms.com
Alabama Articles of Organization for Domestic Limited Liability Company Llc Companies In Alabama Learn how to start an llc in alabama with zenbusiness, a service that offers formation and compliance solutions. Learn the steps to form an llc in alabama, including naming, registering, and operating your business. Discover the best alabama llc services of 2024. Prepare by choosing a name and registered agent. Find information and services for various types of business entities. Llc Companies In Alabama.
From www.northwestregisteredagent.com
Alabama LLC How to Form an LLC in Alabama Llc Companies In Alabama Learn the steps to form an llc in alabama, from naming your business to filing your certificate of formation. Learn the steps to form an llc in alabama, including naming, registering, and operating your business. The five critical steps to properly set up an llc in alabama in order are: The business type of choice for many startups is a. Llc Companies In Alabama.
From www.realestatewitch.com
Top 5 We Buy Houses for Cash Companies in Alabama Llc Companies In Alabama Learn the steps to form an llc in alabama, from naming your business to filing your certificate of formation. File certificate of formation with the state of alabama. Find information and services for various types of business entities in alabama, such as corporations, llcs, partnerships, and more. Learn how to organize a domestic or register a foreign limited liability company. Llc Companies In Alabama.
From legaltemplates.net
Free Alabama MultiMember LLC Operating Agreement PDF & Word Llc Companies In Alabama The business type of choice for many startups is a limited liability company (llc),. Follow the six steps to name your llc, appoint a registered agent, file a certificate,. File certificate of formation with the state of alabama. View ownership, contact, and filing details for llcs, corporations,. Prepare by choosing a name and registered agent. Learn the steps to form. Llc Companies In Alabama.
From namefatso.com
How To Start An Llc In Alabama Name Fatso Llc Companies In Alabama File certificate of formation with the state of alabama. Discover the best alabama llc services of 2024. The five critical steps to properly set up an llc in alabama in order are: The business type of choice for many startups is a limited liability company (llc),. Learn how to start an llc in alabama with zenbusiness, a service that offers. Llc Companies In Alabama.
From eforms.com
Free Alabama LLC Operating Agreements (2) PDF Word eForms Llc Companies In Alabama Find out the filing fees, name reservation requirements. The business type of choice for many startups is a limited liability company (llc),. Find business entities by name, id, date, or reservation id in alabama. Discover the best alabama llc services of 2024. Find information and services for various types of business entities in alabama, such as corporations, llcs, partnerships, and. Llc Companies In Alabama.
From www.templateroller.com
Alabama Domestic Limited Liability Company (LLC) Certificate of Llc Companies In Alabama The five critical steps to properly set up an llc in alabama in order are: File certificate of formation with the state of alabama. Learn the steps to form an llc in alabama, from naming your business to filing your certificate of formation. Prepare by choosing a name and registered agent. The business type of choice for many startups is. Llc Companies In Alabama.
From llcplan.com
Create an LLC in Alabama Guide for Setting up an LLC Llc Companies In Alabama Learn how to start an llc in alabama with zenbusiness, a service that offers formation and compliance solutions. Find business entities by name, id, date, or reservation id in alabama. Prepare by choosing a name and registered agent. Find information and services for various types of business entities in alabama, such as corporations, llcs, partnerships, and more. Follow the six. Llc Companies In Alabama.
From llcbible.com
state of alabama llc LLC Bible Llc Companies In Alabama Find out the fees, requirements, and benefits of starting an llc in alabama with. Prepare by choosing a name and registered agent. Find business entities by name, id, date, or reservation id in alabama. Follow the six steps to name your llc, appoint a registered agent, file a certificate,. Learn the steps to form an llc in alabama, including naming,. Llc Companies In Alabama.
From bestcompaniesgroup.com
2022 Best Companies Best Companies to Work for in Alabama Llc Companies In Alabama Find out the filing fees, name reservation requirements. Learn how to start an llc in alabama with zenbusiness, a service that offers formation and compliance solutions. Learn how to organize a domestic or register a foreign limited liability company in alabama. Discover the best alabama llc services of 2024. Learn the steps to form an llc in alabama, including naming,. Llc Companies In Alabama.
From thehaulersclub.com
10 Best Trucking Companies in Alabama Reliable and Quality Services Llc Companies In Alabama Find business entities by name, id, date, or reservation id in alabama. Follow the six steps to name your llc, appoint a registered agent, file a certificate,. Find out the filing fees, name reservation requirements. Find out the fees, requirements, and benefits of starting an llc in alabama with. Prepare by choosing a name and registered agent. Learn how to. Llc Companies In Alabama.
From www.northwestregisteredagent.com
Cost to Start an Alabama LLC Northwest Registered Agent Llc Companies In Alabama Find business entities by name, id, date, or reservation id in alabama. Find out the filing fees, name reservation requirements. Find information and services for various types of business entities in alabama, such as corporations, llcs, partnerships, and more. The business type of choice for many startups is a limited liability company (llc),. Learn the steps to form an llc. Llc Companies In Alabama.
From businessalabama.com
Best Companies to Work for in Alabama 2018 Llc Companies In Alabama Learn the steps to form an llc in alabama, including naming, registering, and operating your business. Learn the steps to form an llc in alabama, from naming your business to filing your certificate of formation. Prepare by choosing a name and registered agent. Follow the six steps to name your llc, appoint a registered agent, file a certificate,. Discover the. Llc Companies In Alabama.
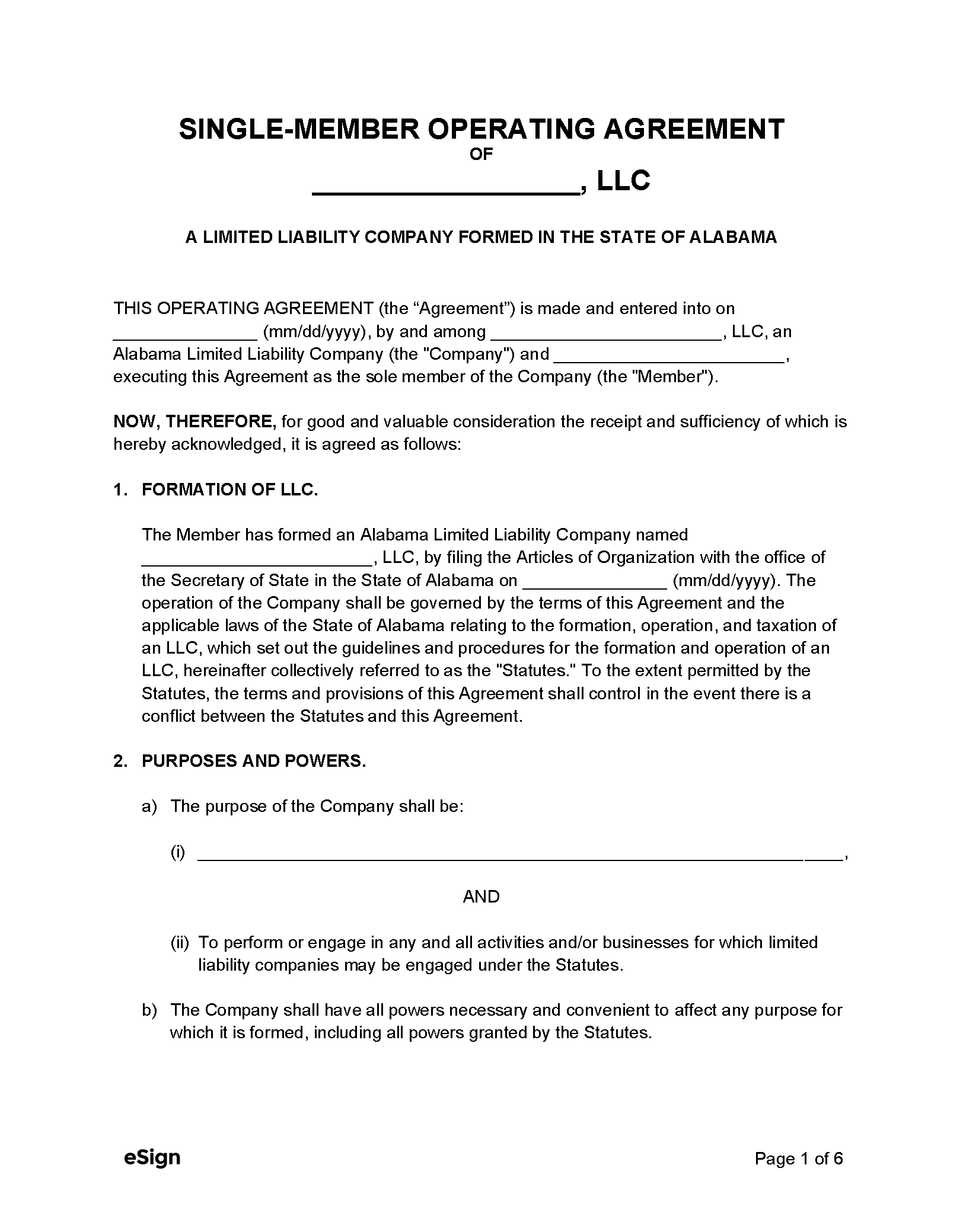
From esign.com
Free Alabama SingleMember LLC Operating Agreement Form PDF Word Llc Companies In Alabama Find information and services for various types of business entities in alabama, such as corporations, llcs, partnerships, and more. Learn how to organize a domestic or register a foreign limited liability company in alabama. Prepare by choosing a name and registered agent. View ownership, contact, and filing details for llcs, corporations,. Learn how to start an llc in alabama with. Llc Companies In Alabama.
From www.msn.com
Alabama sending 125 National Guardsmen to USMexico border Llc Companies In Alabama The business type of choice for many startups is a limited liability company (llc),. Follow the six steps to name your llc, appoint a registered agent, file a certificate,. Learn how to start an llc in alabama with zenbusiness, a service that offers formation and compliance solutions. Find out the filing fees, name reservation requirements. Find business entities by name,. Llc Companies In Alabama.