Lens Power Prescribed . The abbreviations and numbers on your eyeglass prescription describe the type and strength of lenses you need, and the degree of nearsightedness, farsightedness, or astigmatism in. Od stands for the latin oculus dextrus and refers to your right eye. A glasses prescription is issued by an optician to a patient who requires glasses to improve their vision. Os means oculus sinister and refers to your left eye. The sph on your glasses prescription stands for sphere. What does sph mean on my glasses prescription? This shows the amount of lens power,. Sphere refers to the power of your lens. Understanding your eye prescription can be a bit daunting, especially if you’re new to glasses or contact lenses. It tells you where to place the cylindrical power on the lens for optimal correction.
from www.teachoo.com
Os means oculus sinister and refers to your left eye. A glasses prescription is issued by an optician to a patient who requires glasses to improve their vision. Od stands for the latin oculus dextrus and refers to your right eye. Sphere refers to the power of your lens. This shows the amount of lens power,. The sph on your glasses prescription stands for sphere. It tells you where to place the cylindrical power on the lens for optimal correction. What does sph mean on my glasses prescription? Understanding your eye prescription can be a bit daunting, especially if you’re new to glasses or contact lenses. The abbreviations and numbers on your eyeglass prescription describe the type and strength of lenses you need, and the degree of nearsightedness, farsightedness, or astigmatism in.
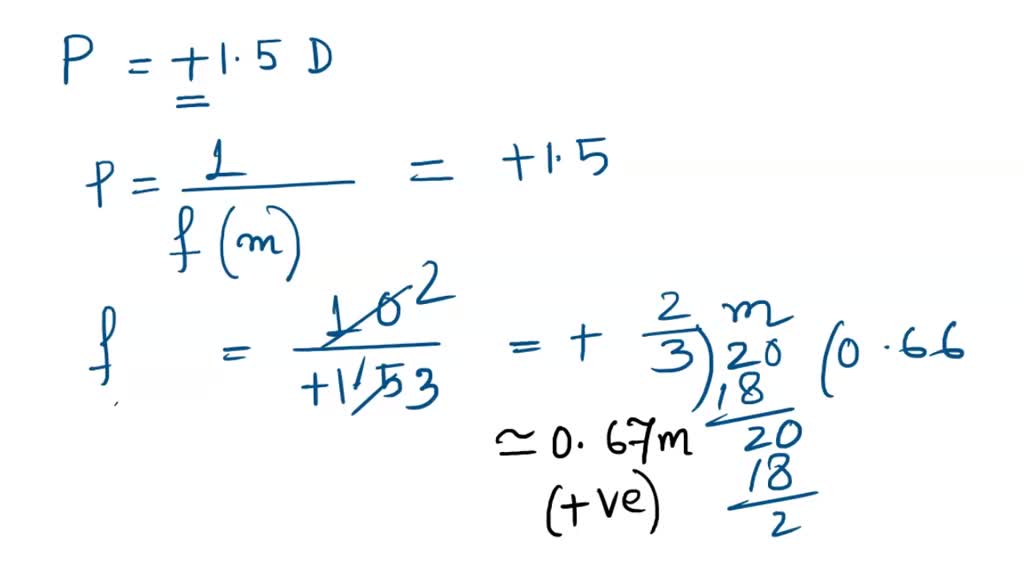
NCERT Q17 A doctor has prescribed a corrective lens of power +1.5 D
Lens Power Prescribed Od stands for the latin oculus dextrus and refers to your right eye. This shows the amount of lens power,. A glasses prescription is issued by an optician to a patient who requires glasses to improve their vision. Sphere refers to the power of your lens. Understanding your eye prescription can be a bit daunting, especially if you’re new to glasses or contact lenses. The sph on your glasses prescription stands for sphere. What does sph mean on my glasses prescription? Os means oculus sinister and refers to your left eye. The abbreviations and numbers on your eyeglass prescription describe the type and strength of lenses you need, and the degree of nearsightedness, farsightedness, or astigmatism in. It tells you where to place the cylindrical power on the lens for optimal correction. Od stands for the latin oculus dextrus and refers to your right eye.
From brainly.in
A doctor has prescribed a corrective lens of power +1.5 D. Find the Lens Power Prescribed The sph on your glasses prescription stands for sphere. A glasses prescription is issued by an optician to a patient who requires glasses to improve their vision. The abbreviations and numbers on your eyeglass prescription describe the type and strength of lenses you need, and the degree of nearsightedness, farsightedness, or astigmatism in. Os means oculus sinister and refers to. Lens Power Prescribed.
From www.tiwariacademy.com
A doctor has prescribed a corrective lens of power +1.5 D. Find the f? Lens Power Prescribed A glasses prescription is issued by an optician to a patient who requires glasses to improve their vision. This shows the amount of lens power,. What does sph mean on my glasses prescription? The sph on your glasses prescription stands for sphere. Od stands for the latin oculus dextrus and refers to your right eye. It tells you where to. Lens Power Prescribed.
From www.teachoo.com
Power of a lens Definition, Unit (Diopter), Formula Teachoo Lens Power Prescribed A glasses prescription is issued by an optician to a patient who requires glasses to improve their vision. The sph on your glasses prescription stands for sphere. It tells you where to place the cylindrical power on the lens for optimal correction. The abbreviations and numbers on your eyeglass prescription describe the type and strength of lenses you need, and. Lens Power Prescribed.
From www.numerade.com
SOLVED A doctor has prescribed a corrective lens of power 1.5 D. Find Lens Power Prescribed The sph on your glasses prescription stands for sphere. This shows the amount of lens power,. A glasses prescription is issued by an optician to a patient who requires glasses to improve their vision. The abbreviations and numbers on your eyeglass prescription describe the type and strength of lenses you need, and the degree of nearsightedness, farsightedness, or astigmatism in.. Lens Power Prescribed.
From www.1800contacts.com
How to read your contact lens prescription 1800 Contacts Lens Power Prescribed This shows the amount of lens power,. Os means oculus sinister and refers to your left eye. A glasses prescription is issued by an optician to a patient who requires glasses to improve their vision. What does sph mean on my glasses prescription? Od stands for the latin oculus dextrus and refers to your right eye. The sph on your. Lens Power Prescribed.
From www.perfect-eyeglasses-guide.com
Eyeglass Prescription Understand All the Parameters Lens Power Prescribed Od stands for the latin oculus dextrus and refers to your right eye. The abbreviations and numbers on your eyeglass prescription describe the type and strength of lenses you need, and the degree of nearsightedness, farsightedness, or astigmatism in. A glasses prescription is issued by an optician to a patient who requires glasses to improve their vision. Understanding your eye. Lens Power Prescribed.
From www.bartleby.com
Answered 3. What power of spectacle lens is… bartleby Lens Power Prescribed Od stands for the latin oculus dextrus and refers to your right eye. Sphere refers to the power of your lens. What does sph mean on my glasses prescription? Os means oculus sinister and refers to your left eye. The sph on your glasses prescription stands for sphere. Understanding your eye prescription can be a bit daunting, especially if you’re. Lens Power Prescribed.
From www.youtube.com
a doctor has prescribed a corrective lens of power +1.5 D find the Lens Power Prescribed What does sph mean on my glasses prescription? Os means oculus sinister and refers to your left eye. The sph on your glasses prescription stands for sphere. It tells you where to place the cylindrical power on the lens for optimal correction. A glasses prescription is issued by an optician to a patient who requires glasses to improve their vision.. Lens Power Prescribed.
From www.youtube.com
A doctor has prescribed a corrective lens of power +1.5 D. Find the Lens Power Prescribed Sphere refers to the power of your lens. This shows the amount of lens power,. Os means oculus sinister and refers to your left eye. A glasses prescription is issued by an optician to a patient who requires glasses to improve their vision. It tells you where to place the cylindrical power on the lens for optimal correction. What does. Lens Power Prescribed.
From www.eyebuydirect.com
Reading glasses prescription numbers Blog Eyebuydirect Lens Power Prescribed What does sph mean on my glasses prescription? It tells you where to place the cylindrical power on the lens for optimal correction. Understanding your eye prescription can be a bit daunting, especially if you’re new to glasses or contact lenses. Os means oculus sinister and refers to your left eye. The sph on your glasses prescription stands for sphere.. Lens Power Prescribed.
From www.tutorix.com
What is the high converging power of eye lens Tutorix Lens Power Prescribed The sph on your glasses prescription stands for sphere. What does sph mean on my glasses prescription? This shows the amount of lens power,. It tells you where to place the cylindrical power on the lens for optimal correction. Od stands for the latin oculus dextrus and refers to your right eye. Os means oculus sinister and refers to your. Lens Power Prescribed.
From www.youtube.com
How to convert Spectacle power to Contact Lens Power. YouTube Lens Power Prescribed Os means oculus sinister and refers to your left eye. This shows the amount of lens power,. What does sph mean on my glasses prescription? Sphere refers to the power of your lens. The sph on your glasses prescription stands for sphere. A glasses prescription is issued by an optician to a patient who requires glasses to improve their vision.. Lens Power Prescribed.
From www.teachoo.com
NCERT Q17 A doctor has prescribed a corrective lens of power +1.5 D Lens Power Prescribed Understanding your eye prescription can be a bit daunting, especially if you’re new to glasses or contact lenses. This shows the amount of lens power,. What does sph mean on my glasses prescription? Os means oculus sinister and refers to your left eye. The sph on your glasses prescription stands for sphere. Od stands for the latin oculus dextrus and. Lens Power Prescribed.
From thelostcontacts.com
The Optics of Vision Lesson 3 Lens Power The Lost Contacts Lens Power Prescribed Os means oculus sinister and refers to your left eye. It tells you where to place the cylindrical power on the lens for optimal correction. The sph on your glasses prescription stands for sphere. Od stands for the latin oculus dextrus and refers to your right eye. The abbreviations and numbers on your eyeglass prescription describe the type and strength. Lens Power Prescribed.
From slideplayer.com
Power of a Lens. ppt download Lens Power Prescribed What does sph mean on my glasses prescription? A glasses prescription is issued by an optician to a patient who requires glasses to improve their vision. Os means oculus sinister and refers to your left eye. Od stands for the latin oculus dextrus and refers to your right eye. This shows the amount of lens power,. The sph on your. Lens Power Prescribed.
From www.warbyparker.com
How to Read Your Contact Lens Prescription Warby Parker Lens Power Prescribed It tells you where to place the cylindrical power on the lens for optimal correction. The sph on your glasses prescription stands for sphere. What does sph mean on my glasses prescription? Od stands for the latin oculus dextrus and refers to your right eye. The abbreviations and numbers on your eyeglass prescription describe the type and strength of lenses. Lens Power Prescribed.
From www.youtube.com
A doctor has prescribed a corrective lens of power +1.5 D. Find the Lens Power Prescribed It tells you where to place the cylindrical power on the lens for optimal correction. This shows the amount of lens power,. The sph on your glasses prescription stands for sphere. Os means oculus sinister and refers to your left eye. A glasses prescription is issued by an optician to a patient who requires glasses to improve their vision. Sphere. Lens Power Prescribed.
From www.youtube.com
A doctor has prescribed a corrective lens of power +1.5 D. Find the Lens Power Prescribed What does sph mean on my glasses prescription? Os means oculus sinister and refers to your left eye. It tells you where to place the cylindrical power on the lens for optimal correction. Understanding your eye prescription can be a bit daunting, especially if you’re new to glasses or contact lenses. A glasses prescription is issued by an optician to. Lens Power Prescribed.
From www.toppr.com
A doctor has prescribed a corrective lens of power + 1.5D. Find the Lens Power Prescribed This shows the amount of lens power,. Os means oculus sinister and refers to your left eye. Understanding your eye prescription can be a bit daunting, especially if you’re new to glasses or contact lenses. The sph on your glasses prescription stands for sphere. Sphere refers to the power of your lens. What does sph mean on my glasses prescription?. Lens Power Prescribed.
From brainly.in
A doctor has prescribed a corrective lens of power 0.5d .find the focal Lens Power Prescribed It tells you where to place the cylindrical power on the lens for optimal correction. This shows the amount of lens power,. The abbreviations and numbers on your eyeglass prescription describe the type and strength of lenses you need, and the degree of nearsightedness, farsightedness, or astigmatism in. Sphere refers to the power of your lens. Os means oculus sinister. Lens Power Prescribed.
From www.youtube.com
A doctor has prescribed a corrective lens of power +1.5 D. Find the Lens Power Prescribed Od stands for the latin oculus dextrus and refers to your right eye. It tells you where to place the cylindrical power on the lens for optimal correction. Understanding your eye prescription can be a bit daunting, especially if you’re new to glasses or contact lenses. Sphere refers to the power of your lens. A glasses prescription is issued by. Lens Power Prescribed.
From callumhorton.z13.web.core.windows.net
Contact Lens Prescription Power Calculation Lens Power Prescribed Sphere refers to the power of your lens. Understanding your eye prescription can be a bit daunting, especially if you’re new to glasses or contact lenses. The abbreviations and numbers on your eyeglass prescription describe the type and strength of lenses you need, and the degree of nearsightedness, farsightedness, or astigmatism in. This shows the amount of lens power,. The. Lens Power Prescribed.
From www.smartbuyglasses.com
Prescription for glasses vs contacts SmartBuyGlasses US Lens Power Prescribed A glasses prescription is issued by an optician to a patient who requires glasses to improve their vision. Sphere refers to the power of your lens. Os means oculus sinister and refers to your left eye. What does sph mean on my glasses prescription? Od stands for the latin oculus dextrus and refers to your right eye. The abbreviations and. Lens Power Prescribed.
From brainly.in
A doctor has prescribed a corrective lens of power + 1.5 D. Find the Lens Power Prescribed Sphere refers to the power of your lens. Od stands for the latin oculus dextrus and refers to your right eye. This shows the amount of lens power,. A glasses prescription is issued by an optician to a patient who requires glasses to improve their vision. The abbreviations and numbers on your eyeglass prescription describe the type and strength of. Lens Power Prescribed.
From www.numerade.com
SOLVEDA doctor has prescribed a corrective lens of power +1.5 D. Find Lens Power Prescribed The sph on your glasses prescription stands for sphere. Sphere refers to the power of your lens. It tells you where to place the cylindrical power on the lens for optimal correction. Od stands for the latin oculus dextrus and refers to your right eye. A glasses prescription is issued by an optician to a patient who requires glasses to. Lens Power Prescribed.
From www.framesbuy.com
Understand your Eyeglass Prescription Framesbuy Lens Power Prescribed What does sph mean on my glasses prescription? The sph on your glasses prescription stands for sphere. Od stands for the latin oculus dextrus and refers to your right eye. This shows the amount of lens power,. It tells you where to place the cylindrical power on the lens for optimal correction. Sphere refers to the power of your lens.. Lens Power Prescribed.
From revisionoptometry.com
How Contact Lens Power and Prescription Differ ReVision Optometry Lens Power Prescribed What does sph mean on my glasses prescription? A glasses prescription is issued by an optician to a patient who requires glasses to improve their vision. The abbreviations and numbers on your eyeglass prescription describe the type and strength of lenses you need, and the degree of nearsightedness, farsightedness, or astigmatism in. Sphere refers to the power of your lens.. Lens Power Prescribed.
From contactsadvice.com
Vertex Conversion Charts for Sphere and Cylinder Combinations Lens Power Prescribed Od stands for the latin oculus dextrus and refers to your right eye. This shows the amount of lens power,. A glasses prescription is issued by an optician to a patient who requires glasses to improve their vision. The sph on your glasses prescription stands for sphere. Sphere refers to the power of your lens. Os means oculus sinister and. Lens Power Prescribed.
From callumhorton.z13.web.core.windows.net
Contact Lens Prescription Power Calculation Lens Power Prescribed Os means oculus sinister and refers to your left eye. The sph on your glasses prescription stands for sphere. Od stands for the latin oculus dextrus and refers to your right eye. It tells you where to place the cylindrical power on the lens for optimal correction. Understanding your eye prescription can be a bit daunting, especially if you’re new. Lens Power Prescribed.
From www.numerade.com
SOLVED A doctor has prescribed a corrective lens of power +1.5 D Lens Power Prescribed Sphere refers to the power of your lens. Od stands for the latin oculus dextrus and refers to your right eye. This shows the amount of lens power,. A glasses prescription is issued by an optician to a patient who requires glasses to improve their vision. It tells you where to place the cylindrical power on the lens for optimal. Lens Power Prescribed.
From antelopemalloptometry.com
Progressive Eyeglass Lenses Antelope Mall Vision Center Optometry Lens Power Prescribed Understanding your eye prescription can be a bit daunting, especially if you’re new to glasses or contact lenses. Od stands for the latin oculus dextrus and refers to your right eye. This shows the amount of lens power,. It tells you where to place the cylindrical power on the lens for optimal correction. What does sph mean on my glasses. Lens Power Prescribed.
From eyemartnepal.com
How To Read Your Eyeglasses Prescription Eyemart Nepal Lens Power Prescribed Understanding your eye prescription can be a bit daunting, especially if you’re new to glasses or contact lenses. Sphere refers to the power of your lens. The sph on your glasses prescription stands for sphere. Os means oculus sinister and refers to your left eye. This shows the amount of lens power,. The abbreviations and numbers on your eyeglass prescription. Lens Power Prescribed.
From contactsadvice.com
Converting Your Glasses Prescription to a Contact Lens Prescription Lens Power Prescribed Os means oculus sinister and refers to your left eye. Understanding your eye prescription can be a bit daunting, especially if you’re new to glasses or contact lenses. A glasses prescription is issued by an optician to a patient who requires glasses to improve their vision. The abbreviations and numbers on your eyeglass prescription describe the type and strength of. Lens Power Prescribed.
From www.luxuryeyesite.com
Which Lens Is Best For My Prescription Lens Technology Lens Power Prescribed Sphere refers to the power of your lens. It tells you where to place the cylindrical power on the lens for optimal correction. Os means oculus sinister and refers to your left eye. This shows the amount of lens power,. Understanding your eye prescription can be a bit daunting, especially if you’re new to glasses or contact lenses. Od stands. Lens Power Prescribed.
From www.youtube.com
A doctor has prescribed a corrective lens of power +1.5 D. Find the Lens Power Prescribed This shows the amount of lens power,. It tells you where to place the cylindrical power on the lens for optimal correction. The sph on your glasses prescription stands for sphere. Os means oculus sinister and refers to your left eye. Od stands for the latin oculus dextrus and refers to your right eye. What does sph mean on my. Lens Power Prescribed.