Copper Being Stretched Into A Wire Is An Example Of . Ductility is the physical property of a material associated with the ability to be hammered thin or stretched into wire without breaking. Ductility is the property of metal associated with the ability to be stretched into wire without breaking. Ductility is a physical property that measures the ability of a material to deform plastically before fracturing. Metals with high ductility such as gold, copper. A ductile substance can be drawn into a. Something that is ductile (sometimes also called tractile) can be easily stretched or drawn out into a thin wire. Ductility usually indicates the ability to be drawn or stretched. Some exceptional materials, such as copper, have both good ductility and good malleability. Its ductility allows it to be drawn into very thin wires without breaking, making it an essential material in electrical. The term ductile literally means that a metal substance is capable of being stretched into a thin wire without becoming weaker or more brittle in the process. A visual showing how copper is both malleable, by being hammered, and ductile,. Examples are copper, nickel, gold etc. Copper, denoted as cu, is another example of a highly ductile metal.
from www.researchgate.net
Metals with high ductility such as gold, copper. Ductility is the physical property of a material associated with the ability to be hammered thin or stretched into wire without breaking. Copper, denoted as cu, is another example of a highly ductile metal. The term ductile literally means that a metal substance is capable of being stretched into a thin wire without becoming weaker or more brittle in the process. Its ductility allows it to be drawn into very thin wires without breaking, making it an essential material in electrical. A ductile substance can be drawn into a. A visual showing how copper is both malleable, by being hammered, and ductile,. Ductility usually indicates the ability to be drawn or stretched. Ductility is the property of metal associated with the ability to be stretched into wire without breaking. Ductility is a physical property that measures the ability of a material to deform plastically before fracturing.
Twisted 32 SWG copper wires stretched diagonally inside the bath to
Copper Being Stretched Into A Wire Is An Example Of Something that is ductile (sometimes also called tractile) can be easily stretched or drawn out into a thin wire. Ductility is a physical property that measures the ability of a material to deform plastically before fracturing. Ductility is the property of metal associated with the ability to be stretched into wire without breaking. Its ductility allows it to be drawn into very thin wires without breaking, making it an essential material in electrical. Some exceptional materials, such as copper, have both good ductility and good malleability. A ductile substance can be drawn into a. Ductility usually indicates the ability to be drawn or stretched. Ductility is the physical property of a material associated with the ability to be hammered thin or stretched into wire without breaking. Examples are copper, nickel, gold etc. The term ductile literally means that a metal substance is capable of being stretched into a thin wire without becoming weaker or more brittle in the process. Something that is ductile (sometimes also called tractile) can be easily stretched or drawn out into a thin wire. Metals with high ductility such as gold, copper. Copper, denoted as cu, is another example of a highly ductile metal. A visual showing how copper is both malleable, by being hammered, and ductile,.
From www.toppr.com
1. A copper wire of 1 mm diameter is stretched by applying a force on Copper Being Stretched Into A Wire Is An Example Of Copper, denoted as cu, is another example of a highly ductile metal. A ductile substance can be drawn into a. Ductility is a physical property that measures the ability of a material to deform plastically before fracturing. Ductility usually indicates the ability to be drawn or stretched. Some exceptional materials, such as copper, have both good ductility and good malleability.. Copper Being Stretched Into A Wire Is An Example Of.
From www.doubtnut.com
[Odia] A 3m long copper wire is stretched to increase its length by 0. Copper Being Stretched Into A Wire Is An Example Of Metals with high ductility such as gold, copper. Ductility is a physical property that measures the ability of a material to deform plastically before fracturing. The term ductile literally means that a metal substance is capable of being stretched into a thin wire without becoming weaker or more brittle in the process. Something that is ductile (sometimes also called tractile). Copper Being Stretched Into A Wire Is An Example Of.
From www.youtube.com
A copper wire is stretched at a temperature of `150^()C` between two Copper Being Stretched Into A Wire Is An Example Of A ductile substance can be drawn into a. Copper, denoted as cu, is another example of a highly ductile metal. The term ductile literally means that a metal substance is capable of being stretched into a thin wire without becoming weaker or more brittle in the process. Something that is ductile (sometimes also called tractile) can be easily stretched or. Copper Being Stretched Into A Wire Is An Example Of.
From www.numerade.com
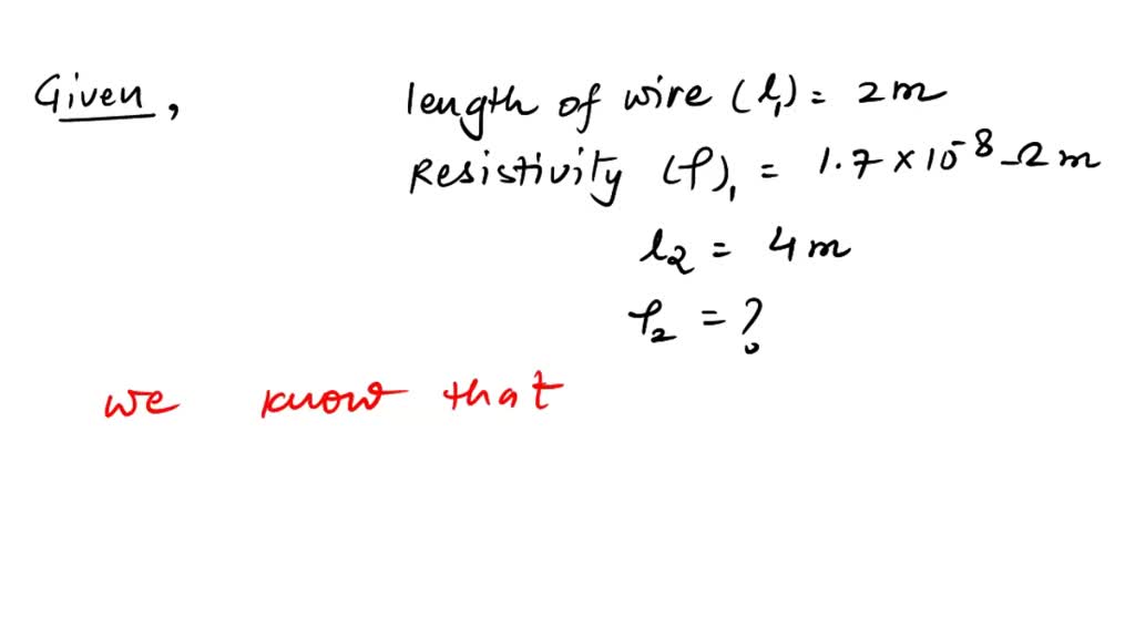
SOLVED A copper wire of length 2m having Resistivity is 1.7 x 108 ohm Copper Being Stretched Into A Wire Is An Example Of Something that is ductile (sometimes also called tractile) can be easily stretched or drawn out into a thin wire. Its ductility allows it to be drawn into very thin wires without breaking, making it an essential material in electrical. A visual showing how copper is both malleable, by being hammered, and ductile,. Some exceptional materials, such as copper, have both. Copper Being Stretched Into A Wire Is An Example Of.
From blog.igus.eu
Why copper? Copper as a conductor material? igus Blog Copper Being Stretched Into A Wire Is An Example Of Its ductility allows it to be drawn into very thin wires without breaking, making it an essential material in electrical. Metals with high ductility such as gold, copper. Examples are copper, nickel, gold etc. A ductile substance can be drawn into a. The term ductile literally means that a metal substance is capable of being stretched into a thin wire. Copper Being Stretched Into A Wire Is An Example Of.
From www.toppr.com
A copper wire is stretched by 0.5 of its length. Calculate the energy Copper Being Stretched Into A Wire Is An Example Of The term ductile literally means that a metal substance is capable of being stretched into a thin wire without becoming weaker or more brittle in the process. Ductility usually indicates the ability to be drawn or stretched. Its ductility allows it to be drawn into very thin wires without breaking, making it an essential material in electrical. Ductility is the. Copper Being Stretched Into A Wire Is An Example Of.
From www.gizmodo.com.au
The Incredible, Fiery Process Of Making Copper Wire Gizmodo Australia Copper Being Stretched Into A Wire Is An Example Of A visual showing how copper is both malleable, by being hammered, and ductile,. Ductility is the property of metal associated with the ability to be stretched into wire without breaking. Metals with high ductility such as gold, copper. Examples are copper, nickel, gold etc. The term ductile literally means that a metal substance is capable of being stretched into a. Copper Being Stretched Into A Wire Is An Example Of.
From zwcables.com
Useful Stranded Copper Wire Copper Being Stretched Into A Wire Is An Example Of Its ductility allows it to be drawn into very thin wires without breaking, making it an essential material in electrical. Some exceptional materials, such as copper, have both good ductility and good malleability. The term ductile literally means that a metal substance is capable of being stretched into a thin wire without becoming weaker or more brittle in the process.. Copper Being Stretched Into A Wire Is An Example Of.
From blog.thepipingmart.com
The Melting Point of Copper Wire Explained Copper Being Stretched Into A Wire Is An Example Of A ductile substance can be drawn into a. Its ductility allows it to be drawn into very thin wires without breaking, making it an essential material in electrical. Something that is ductile (sometimes also called tractile) can be easily stretched or drawn out into a thin wire. Copper, denoted as cu, is another example of a highly ductile metal. A. Copper Being Stretched Into A Wire Is An Example Of.
From brainly.in
A copper conductor is placed over two stretched copper wires whose ends Copper Being Stretched Into A Wire Is An Example Of Metals with high ductility such as gold, copper. Ductility is the property of metal associated with the ability to be stretched into wire without breaking. Ductility is a physical property that measures the ability of a material to deform plastically before fracturing. A visual showing how copper is both malleable, by being hammered, and ductile,. Its ductility allows it to. Copper Being Stretched Into A Wire Is An Example Of.
From www.youtube.com
Melting copper wire into ingots YouTube Copper Being Stretched Into A Wire Is An Example Of A ductile substance can be drawn into a. A visual showing how copper is both malleable, by being hammered, and ductile,. Ductility is the property of metal associated with the ability to be stretched into wire without breaking. Something that is ductile (sometimes also called tractile) can be easily stretched or drawn out into a thin wire. Its ductility allows. Copper Being Stretched Into A Wire Is An Example Of.
From www.youtube.com
This video will make your Life easier. Copper from thin Wires, quickly Copper Being Stretched Into A Wire Is An Example Of Ductility is the property of metal associated with the ability to be stretched into wire without breaking. A visual showing how copper is both malleable, by being hammered, and ductile,. Its ductility allows it to be drawn into very thin wires without breaking, making it an essential material in electrical. A ductile substance can be drawn into a. Ductility is. Copper Being Stretched Into A Wire Is An Example Of.
From askfilo.com
A copper conductor is placed over two stretched copper wires whose ends a.. Copper Being Stretched Into A Wire Is An Example Of A visual showing how copper is both malleable, by being hammered, and ductile,. Some exceptional materials, such as copper, have both good ductility and good malleability. Copper, denoted as cu, is another example of a highly ductile metal. The term ductile literally means that a metal substance is capable of being stretched into a thin wire without becoming weaker or. Copper Being Stretched Into A Wire Is An Example Of.
From techiescientist.com
Does Copper Conduct Electricity? Techiescientist Copper Being Stretched Into A Wire Is An Example Of The term ductile literally means that a metal substance is capable of being stretched into a thin wire without becoming weaker or more brittle in the process. A visual showing how copper is both malleable, by being hammered, and ductile,. Something that is ductile (sometimes also called tractile) can be easily stretched or drawn out into a thin wire. A. Copper Being Stretched Into A Wire Is An Example Of.
From www.gizmodo.com.au
The Incredible, Fiery Process Of Making Copper Wire Gizmodo Australia Copper Being Stretched Into A Wire Is An Example Of Ductility usually indicates the ability to be drawn or stretched. Examples are copper, nickel, gold etc. Some exceptional materials, such as copper, have both good ductility and good malleability. Something that is ductile (sometimes also called tractile) can be easily stretched or drawn out into a thin wire. Ductility is a physical property that measures the ability of a material. Copper Being Stretched Into A Wire Is An Example Of.
From brainly.in
A copper wire of 1mm diameter is stretched by applying a force on 10N Copper Being Stretched Into A Wire Is An Example Of Something that is ductile (sometimes also called tractile) can be easily stretched or drawn out into a thin wire. Ductility usually indicates the ability to be drawn or stretched. The term ductile literally means that a metal substance is capable of being stretched into a thin wire without becoming weaker or more brittle in the process. A visual showing how. Copper Being Stretched Into A Wire Is An Example Of.
From askfilo.com
(iii) A copper conductor is placed over two stretched copper wires whose Copper Being Stretched Into A Wire Is An Example Of Some exceptional materials, such as copper, have both good ductility and good malleability. Something that is ductile (sometimes also called tractile) can be easily stretched or drawn out into a thin wire. A visual showing how copper is both malleable, by being hammered, and ductile,. The term ductile literally means that a metal substance is capable of being stretched into. Copper Being Stretched Into A Wire Is An Example Of.
From www.sciencelearn.org.nz
Copper wire — Science Learning Hub Copper Being Stretched Into A Wire Is An Example Of Ductility usually indicates the ability to be drawn or stretched. Metals with high ductility such as gold, copper. Ductility is a physical property that measures the ability of a material to deform plastically before fracturing. Ductility is the physical property of a material associated with the ability to be hammered thin or stretched into wire without breaking. A ductile substance. Copper Being Stretched Into A Wire Is An Example Of.
From remyachinthu.blogspot.com
INVESTIGATING THE DIFFERENT PROPERTIES OF METALS Copper Being Stretched Into A Wire Is An Example Of Some exceptional materials, such as copper, have both good ductility and good malleability. Metals with high ductility such as gold, copper. A visual showing how copper is both malleable, by being hammered, and ductile,. Examples are copper, nickel, gold etc. Ductility is the physical property of a material associated with the ability to be hammered thin or stretched into wire. Copper Being Stretched Into A Wire Is An Example Of.
From blog.thepipingmart.com
How to Join Copper Wire An Overview Copper Being Stretched Into A Wire Is An Example Of Ductility is a physical property that measures the ability of a material to deform plastically before fracturing. Ductility usually indicates the ability to be drawn or stretched. Examples are copper, nickel, gold etc. Ductility is the physical property of a material associated with the ability to be hammered thin or stretched into wire without breaking. Some exceptional materials, such as. Copper Being Stretched Into A Wire Is An Example Of.
From www.copperbraid.com
Production Process of Copper Stranded Wire Bridgold Copper Tech Co.,Ltd Copper Being Stretched Into A Wire Is An Example Of Ductility is the property of metal associated with the ability to be stretched into wire without breaking. Ductility is the physical property of a material associated with the ability to be hammered thin or stretched into wire without breaking. Something that is ductile (sometimes also called tractile) can be easily stretched or drawn out into a thin wire. Copper, denoted. Copper Being Stretched Into A Wire Is An Example Of.
From www.ourpcb.com
Stranded vs. Solid Wire A Comparison Between Power/Signal Copper Copper Being Stretched Into A Wire Is An Example Of The term ductile literally means that a metal substance is capable of being stretched into a thin wire without becoming weaker or more brittle in the process. A visual showing how copper is both malleable, by being hammered, and ductile,. Metals with high ductility such as gold, copper. Ductility usually indicates the ability to be drawn or stretched. Ductility is. Copper Being Stretched Into A Wire Is An Example Of.
From www.gizmodo.com.au
The Incredible, Fiery Process Of Making Copper Wire Gizmodo Australia Copper Being Stretched Into A Wire Is An Example Of A ductile substance can be drawn into a. Some exceptional materials, such as copper, have both good ductility and good malleability. Its ductility allows it to be drawn into very thin wires without breaking, making it an essential material in electrical. Something that is ductile (sometimes also called tractile) can be easily stretched or drawn out into a thin wire.. Copper Being Stretched Into A Wire Is An Example Of.
From www.chegg.com
Solved A copper wire is stretched so that its length Copper Being Stretched Into A Wire Is An Example Of The term ductile literally means that a metal substance is capable of being stretched into a thin wire without becoming weaker or more brittle in the process. Examples are copper, nickel, gold etc. A ductile substance can be drawn into a. Ductility is a physical property that measures the ability of a material to deform plastically before fracturing. Metals with. Copper Being Stretched Into A Wire Is An Example Of.
From www.researchgate.net
Twisted 32 SWG copper wires stretched diagonally inside the bath to Copper Being Stretched Into A Wire Is An Example Of The term ductile literally means that a metal substance is capable of being stretched into a thin wire without becoming weaker or more brittle in the process. Examples are copper, nickel, gold etc. Metals with high ductility such as gold, copper. A ductile substance can be drawn into a. Ductility is the physical property of a material associated with the. Copper Being Stretched Into A Wire Is An Example Of.
From www.gizmodo.com.au
The Incredible, Fiery Process Of Making Copper Wire Gizmodo Australia Copper Being Stretched Into A Wire Is An Example Of A ductile substance can be drawn into a. Ductility usually indicates the ability to be drawn or stretched. Copper, denoted as cu, is another example of a highly ductile metal. Ductility is the physical property of a material associated with the ability to be hammered thin or stretched into wire without breaking. Metals with high ductility such as gold, copper.. Copper Being Stretched Into A Wire Is An Example Of.
From www.budget101.com
Harnessing the Power of Copper Wire An Introduction to Electro Culture Copper Being Stretched Into A Wire Is An Example Of The term ductile literally means that a metal substance is capable of being stretched into a thin wire without becoming weaker or more brittle in the process. Something that is ductile (sometimes also called tractile) can be easily stretched or drawn out into a thin wire. Ductility is the property of metal associated with the ability to be stretched into. Copper Being Stretched Into A Wire Is An Example Of.
From www.youtube.com
How To Twist Copper Wire For Beginners 01 YouTube Copper Being Stretched Into A Wire Is An Example Of Copper, denoted as cu, is another example of a highly ductile metal. Ductility is the physical property of a material associated with the ability to be hammered thin or stretched into wire without breaking. Some exceptional materials, such as copper, have both good ductility and good malleability. A visual showing how copper is both malleable, by being hammered, and ductile,.. Copper Being Stretched Into A Wire Is An Example Of.
From www.youtube.com
Stretching Copper YouTube Copper Being Stretched Into A Wire Is An Example Of Its ductility allows it to be drawn into very thin wires without breaking, making it an essential material in electrical. Examples are copper, nickel, gold etc. Ductility is a physical property that measures the ability of a material to deform plastically before fracturing. Some exceptional materials, such as copper, have both good ductility and good malleability. Ductility is the property. Copper Being Stretched Into A Wire Is An Example Of.
From wirefog.com
Harnessing Creativity through Copper Wire Art Essential Skills and Copper Being Stretched Into A Wire Is An Example Of Metals with high ductility such as gold, copper. A visual showing how copper is both malleable, by being hammered, and ductile,. The term ductile literally means that a metal substance is capable of being stretched into a thin wire without becoming weaker or more brittle in the process. Its ductility allows it to be drawn into very thin wires without. Copper Being Stretched Into A Wire Is An Example Of.
From mettex.com
Flexible Wire Wire Rope Stranded Wire Copper Wire Copper Being Stretched Into A Wire Is An Example Of Ductility is the property of metal associated with the ability to be stretched into wire without breaking. Ductility is the physical property of a material associated with the ability to be hammered thin or stretched into wire without breaking. Metals with high ductility such as gold, copper. A ductile substance can be drawn into a. A visual showing how copper. Copper Being Stretched Into A Wire Is An Example Of.
From slideplayer.com
Properties and changes ppt download Copper Being Stretched Into A Wire Is An Example Of Some exceptional materials, such as copper, have both good ductility and good malleability. Copper, denoted as cu, is another example of a highly ductile metal. Ductility usually indicates the ability to be drawn or stretched. Examples are copper, nickel, gold etc. The term ductile literally means that a metal substance is capable of being stretched into a thin wire without. Copper Being Stretched Into A Wire Is An Example Of.
From blog.thepipingmart.com
What Happens When a Copper Wire is Stretched Copper Being Stretched Into A Wire Is An Example Of Ductility is a physical property that measures the ability of a material to deform plastically before fracturing. Examples are copper, nickel, gold etc. The term ductile literally means that a metal substance is capable of being stretched into a thin wire without becoming weaker or more brittle in the process. Some exceptional materials, such as copper, have both good ductility. Copper Being Stretched Into A Wire Is An Example Of.
From iscrapapp.com
Determining Types of Copper Wires Copper Being Stretched Into A Wire Is An Example Of Examples are copper, nickel, gold etc. Ductility is the property of metal associated with the ability to be stretched into wire without breaking. Something that is ductile (sometimes also called tractile) can be easily stretched or drawn out into a thin wire. Its ductility allows it to be drawn into very thin wires without breaking, making it an essential material. Copper Being Stretched Into A Wire Is An Example Of.
From blog.thepipingmart.com
Copper Wire Production Explained Copper Being Stretched Into A Wire Is An Example Of Ductility usually indicates the ability to be drawn or stretched. Metals with high ductility such as gold, copper. Examples are copper, nickel, gold etc. Ductility is the physical property of a material associated with the ability to be hammered thin or stretched into wire without breaking. Ductility is the property of metal associated with the ability to be stretched into. Copper Being Stretched Into A Wire Is An Example Of.