How Many Therms Does A House Use Per Month . Here is a useful table. How many therms does your household use? During 6 colder months, an average 1,500 sq ft to 1,999 sq ft homes uses about 45 therms of gas. A btu, or british thermal unit, is the. 23 rows a therm is a measurement of the amount of heat energy in natural gas, equal to 100,000 btus. One therm per day equates to a power of 1.22 kw. What is your average ng therm usage per month or year or heating season? The therms per degree day measure may be somewhat convenient in the u.s., but a more natural unit is w/°c. Spent a bunch of time swapping vents to. Example of results summarized in the chart: Natural gas for the hot water heater, too. Since approximately 75% of all homes in the state use natural gas as the primary fuel for heating, we’ll go through an example using the common unit of therms (see table). The average annual therm consumption figure of 717 hides a huge range of variance. 36.5 therms for space heating, 7.1 therms for.
from ca.renogy.com
Example of results summarized in the chart: How many therms does your household use? What is your average ng therm usage per month or year or heating season? 36.5 therms for space heating, 7.1 therms for. 23 rows a therm is a measurement of the amount of heat energy in natural gas, equal to 100,000 btus. Spent a bunch of time swapping vents to. Natural gas for the hot water heater, too. The therms per degree day measure may be somewhat convenient in the u.s., but a more natural unit is w/°c. The average annual therm consumption figure of 717 hides a huge range of variance. Here is a useful table.
How many kWh does the average home use? Renogy Canada
How Many Therms Does A House Use Per Month During 6 colder months, an average 1,500 sq ft to 1,999 sq ft homes uses about 45 therms of gas. 23 rows a therm is a measurement of the amount of heat energy in natural gas, equal to 100,000 btus. During 6 colder months, an average 1,500 sq ft to 1,999 sq ft homes uses about 45 therms of gas. Here is a useful table. Example of results summarized in the chart: Natural gas for the hot water heater, too. Spent a bunch of time swapping vents to. The average annual therm consumption figure of 717 hides a huge range of variance. A btu, or british thermal unit, is the. The therms per degree day measure may be somewhat convenient in the u.s., but a more natural unit is w/°c. One therm per day equates to a power of 1.22 kw. How many therms does your household use? Since approximately 75% of all homes in the state use natural gas as the primary fuel for heating, we’ll go through an example using the common unit of therms (see table). What is your average ng therm usage per month or year or heating season? 36.5 therms for space heating, 7.1 therms for.
From dothemath.ucsd.edu
Home Heating for the Hardy Do the Math How Many Therms Does A House Use Per Month What is your average ng therm usage per month or year or heating season? The average annual therm consumption figure of 717 hides a huge range of variance. 23 rows a therm is a measurement of the amount of heat energy in natural gas, equal to 100,000 btus. One therm per day equates to a power of 1.22 kw. Example. How Many Therms Does A House Use Per Month.
From ca.renogy.com
How many kWh does the average home use? Renogy Canada How Many Therms Does A House Use Per Month What is your average ng therm usage per month or year or heating season? A btu, or british thermal unit, is the. How many therms does your household use? The therms per degree day measure may be somewhat convenient in the u.s., but a more natural unit is w/°c. The average annual therm consumption figure of 717 hides a huge. How Many Therms Does A House Use Per Month.
From www.teachengineering.org
Household Energy Conservation and Efficiency Lesson TeachEngineering How Many Therms Does A House Use Per Month Here is a useful table. How many therms does your household use? Since approximately 75% of all homes in the state use natural gas as the primary fuel for heating, we’ll go through an example using the common unit of therms (see table). Natural gas for the hot water heater, too. 23 rows a therm is a measurement of the. How Many Therms Does A House Use Per Month.
From blog.constellation.com
Average Natural Gas Cost Per Therm Constellation How Many Therms Does A House Use Per Month Example of results summarized in the chart: Since approximately 75% of all homes in the state use natural gas as the primary fuel for heating, we’ll go through an example using the common unit of therms (see table). Here is a useful table. How many therms does your household use? What is your average ng therm usage per month or. How Many Therms Does A House Use Per Month.
From molqyxtreme.weebly.com
How many therms does frnace upilot light use molqyxtreme How Many Therms Does A House Use Per Month The average annual therm consumption figure of 717 hides a huge range of variance. A btu, or british thermal unit, is the. Example of results summarized in the chart: How many therms does your household use? Natural gas for the hot water heater, too. During 6 colder months, an average 1,500 sq ft to 1,999 sq ft homes uses about. How Many Therms Does A House Use Per Month.
From www.pinterest.com
An infographic showing how much Energy Air Conditioner (AC) units use How Many Therms Does A House Use Per Month During 6 colder months, an average 1,500 sq ft to 1,999 sq ft homes uses about 45 therms of gas. Since approximately 75% of all homes in the state use natural gas as the primary fuel for heating, we’ll go through an example using the common unit of therms (see table). What is your average ng therm usage per month. How Many Therms Does A House Use Per Month.
From giouzvdiv.blob.core.windows.net
How Many Therms Per Million Btu at Alicia Quick blog How Many Therms Does A House Use Per Month What is your average ng therm usage per month or year or heating season? The therms per degree day measure may be somewhat convenient in the u.s., but a more natural unit is w/°c. The average annual therm consumption figure of 717 hides a huge range of variance. How many therms does your household use? A btu, or british thermal. How Many Therms Does A House Use Per Month.
From www.scanaenergy.com
What’s the Average Natural Gas Bill in How Many Therms Does A House Use Per Month How many therms does your household use? Natural gas for the hot water heater, too. Here is a useful table. The average annual therm consumption figure of 717 hides a huge range of variance. One therm per day equates to a power of 1.22 kw. Example of results summarized in the chart: 23 rows a therm is a measurement of. How Many Therms Does A House Use Per Month.
From hxegquvbr.blob.core.windows.net
How Many Therms Does A Gas Fireplace Use Per Hour at Aldo Ammons blog How Many Therms Does A House Use Per Month Natural gas for the hot water heater, too. A btu, or british thermal unit, is the. During 6 colder months, an average 1,500 sq ft to 1,999 sq ft homes uses about 45 therms of gas. How many therms does your household use? Example of results summarized in the chart: 36.5 therms for space heating, 7.1 therms for. Here is. How Many Therms Does A House Use Per Month.
From mindyrlewiso.blob.core.windows.net
How Many Therms Does The Average Household Use at mindyrlewiso blog How Many Therms Does A House Use Per Month Natural gas for the hot water heater, too. What is your average ng therm usage per month or year or heating season? During 6 colder months, an average 1,500 sq ft to 1,999 sq ft homes uses about 45 therms of gas. 36.5 therms for space heating, 7.1 therms for. Since approximately 75% of all homes in the state use. How Many Therms Does A House Use Per Month.
From www.resnooze.com
Average Power Bill For A 4 Bedroom House How Many Therms Does A House Use Per Month Example of results summarized in the chart: Spent a bunch of time swapping vents to. During 6 colder months, an average 1,500 sq ft to 1,999 sq ft homes uses about 45 therms of gas. Natural gas for the hot water heater, too. 23 rows a therm is a measurement of the amount of heat energy in natural gas, equal. How Many Therms Does A House Use Per Month.
From houseposter.blogspot.com
How Much Electricity Does An Average House Use Per Month House Poster How Many Therms Does A House Use Per Month Spent a bunch of time swapping vents to. 36.5 therms for space heating, 7.1 therms for. Example of results summarized in the chart: 23 rows a therm is a measurement of the amount of heat energy in natural gas, equal to 100,000 btus. Natural gas for the hot water heater, too. Here is a useful table. During 6 colder months,. How Many Therms Does A House Use Per Month.
From www.henneberyeddy.com
THERM and an Evolution of Wall Assemblies Building Enclosure Architect How Many Therms Does A House Use Per Month The average annual therm consumption figure of 717 hides a huge range of variance. Since approximately 75% of all homes in the state use natural gas as the primary fuel for heating, we’ll go through an example using the common unit of therms (see table). Natural gas for the hot water heater, too. Example of results summarized in the chart:. How Many Therms Does A House Use Per Month.
From hxegquvbr.blob.core.windows.net
How Many Therms Does A Gas Fireplace Use Per Hour at Aldo Ammons blog How Many Therms Does A House Use Per Month How many therms does your household use? Spent a bunch of time swapping vents to. A btu, or british thermal unit, is the. One therm per day equates to a power of 1.22 kw. Example of results summarized in the chart: 36.5 therms for space heating, 7.1 therms for. The average annual therm consumption figure of 717 hides a huge. How Many Therms Does A House Use Per Month.
From www.stkittsvilla.com
The Phantoms I Ve Killed Do Math How Many Therms Does A House Use Per Month Here is a useful table. A btu, or british thermal unit, is the. How many therms does your household use? The average annual therm consumption figure of 717 hides a huge range of variance. Natural gas for the hot water heater, too. Example of results summarized in the chart: Spent a bunch of time swapping vents to. One therm per. How Many Therms Does A House Use Per Month.
From lenpenzo.com
Approximate Energy Costs of Your Home Appliances Len Penzo dot Com How Many Therms Does A House Use Per Month 23 rows a therm is a measurement of the amount of heat energy in natural gas, equal to 100,000 btus. Since approximately 75% of all homes in the state use natural gas as the primary fuel for heating, we’ll go through an example using the common unit of therms (see table). 36.5 therms for space heating, 7.1 therms for. Spent. How Many Therms Does A House Use Per Month.
From homeminimalisite.com
Average Utility Bill For 4 Bedroom House How Many Therms Does A House Use Per Month A btu, or british thermal unit, is the. The average annual therm consumption figure of 717 hides a huge range of variance. During 6 colder months, an average 1,500 sq ft to 1,999 sq ft homes uses about 45 therms of gas. What is your average ng therm usage per month or year or heating season? 23 rows a therm. How Many Therms Does A House Use Per Month.
From lenpenzo.com
Approximate Energy Costs of Your Home Appliances Len Penzo dot Com How Many Therms Does A House Use Per Month 23 rows a therm is a measurement of the amount of heat energy in natural gas, equal to 100,000 btus. The therms per degree day measure may be somewhat convenient in the u.s., but a more natural unit is w/°c. A btu, or british thermal unit, is the. One therm per day equates to a power of 1.22 kw. Here. How Many Therms Does A House Use Per Month.
From hxegquvbr.blob.core.windows.net
How Many Therms Does A Gas Fireplace Use Per Hour at Aldo Ammons blog How Many Therms Does A House Use Per Month What is your average ng therm usage per month or year or heating season? How many therms does your household use? Natural gas for the hot water heater, too. A btu, or british thermal unit, is the. Example of results summarized in the chart: Here is a useful table. During 6 colder months, an average 1,500 sq ft to 1,999. How Many Therms Does A House Use Per Month.
From www.reddit.com
Home appliance kw/h power consumption comparison. r/coolguides How Many Therms Does A House Use Per Month The average annual therm consumption figure of 717 hides a huge range of variance. Spent a bunch of time swapping vents to. Here is a useful table. The therms per degree day measure may be somewhat convenient in the u.s., but a more natural unit is w/°c. During 6 colder months, an average 1,500 sq ft to 1,999 sq ft. How Many Therms Does A House Use Per Month.
From www.reddit.com
How do you not freeze using only 25 therms? My gas bill tells me I’m How Many Therms Does A House Use Per Month During 6 colder months, an average 1,500 sq ft to 1,999 sq ft homes uses about 45 therms of gas. 23 rows a therm is a measurement of the amount of heat energy in natural gas, equal to 100,000 btus. The therms per degree day measure may be somewhat convenient in the u.s., but a more natural unit is w/°c.. How Many Therms Does A House Use Per Month.
From blog.constellation.com
How Many kWh Does a House Use in 2024? Constellation How Many Therms Does A House Use Per Month 36.5 therms for space heating, 7.1 therms for. How many therms does your household use? Since approximately 75% of all homes in the state use natural gas as the primary fuel for heating, we’ll go through an example using the common unit of therms (see table). What is your average ng therm usage per month or year or heating season?. How Many Therms Does A House Use Per Month.
From myhomemyworld.com
How Many Therms Does a Furnace Use? How Many Therms Does A House Use Per Month Example of results summarized in the chart: The average annual therm consumption figure of 717 hides a huge range of variance. One therm per day equates to a power of 1.22 kw. Natural gas for the hot water heater, too. How many therms does your household use? 23 rows a therm is a measurement of the amount of heat energy. How Many Therms Does A House Use Per Month.
From hxegquvbr.blob.core.windows.net
How Many Therms Does A Gas Fireplace Use Per Hour at Aldo Ammons blog How Many Therms Does A House Use Per Month 36.5 therms for space heating, 7.1 therms for. During 6 colder months, an average 1,500 sq ft to 1,999 sq ft homes uses about 45 therms of gas. The average annual therm consumption figure of 717 hides a huge range of variance. Example of results summarized in the chart: 23 rows a therm is a measurement of the amount of. How Many Therms Does A House Use Per Month.
From mindyrlewiso.blob.core.windows.net
How Many Therms Does The Average Household Use at mindyrlewiso blog How Many Therms Does A House Use Per Month Example of results summarized in the chart: 36.5 therms for space heating, 7.1 therms for. The therms per degree day measure may be somewhat convenient in the u.s., but a more natural unit is w/°c. Since approximately 75% of all homes in the state use natural gas as the primary fuel for heating, we’ll go through an example using the. How Many Therms Does A House Use Per Month.
From www.numerade.com
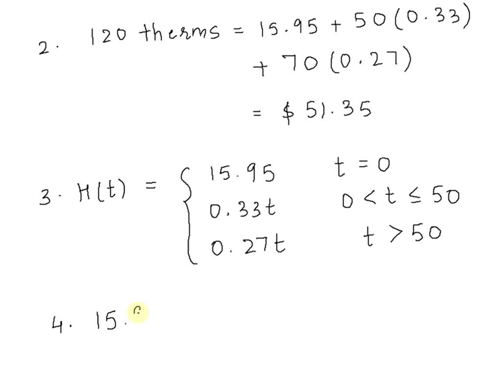
SOLVED An energy company has the following rate schedule for heating a How Many Therms Does A House Use Per Month The average annual therm consumption figure of 717 hides a huge range of variance. Natural gas for the hot water heater, too. Spent a bunch of time swapping vents to. 23 rows a therm is a measurement of the amount of heat energy in natural gas, equal to 100,000 btus. 36.5 therms for space heating, 7.1 therms for. During 6. How Many Therms Does A House Use Per Month.
From www.reddit.com
How many therms are people using with PG&E? r/Sacramento How Many Therms Does A House Use Per Month Example of results summarized in the chart: A btu, or british thermal unit, is the. One therm per day equates to a power of 1.22 kw. How many therms does your household use? Since approximately 75% of all homes in the state use natural gas as the primary fuel for heating, we’ll go through an example using the common unit. How Many Therms Does A House Use Per Month.
From hxegquvbr.blob.core.windows.net
How Many Therms Does A Gas Fireplace Use Per Hour at Aldo Ammons blog How Many Therms Does A House Use Per Month 23 rows a therm is a measurement of the amount of heat energy in natural gas, equal to 100,000 btus. The average annual therm consumption figure of 717 hides a huge range of variance. What is your average ng therm usage per month or year or heating season? Here is a useful table. Spent a bunch of time swapping vents. How Many Therms Does A House Use Per Month.
From myenergymyresponsibility.ae
Home 2 My Energy My Responsibility How Many Therms Does A House Use Per Month Here is a useful table. Since approximately 75% of all homes in the state use natural gas as the primary fuel for heating, we’ll go through an example using the common unit of therms (see table). During 6 colder months, an average 1,500 sq ft to 1,999 sq ft homes uses about 45 therms of gas. How many therms does. How Many Therms Does A House Use Per Month.
From myhomemyworld.com
How Many Therms Does a Furnace Use? How Many Therms Does A House Use Per Month What is your average ng therm usage per month or year or heating season? One therm per day equates to a power of 1.22 kw. 36.5 therms for space heating, 7.1 therms for. Here is a useful table. The average annual therm consumption figure of 717 hides a huge range of variance. How many therms does your household use? 23. How Many Therms Does A House Use Per Month.
From www.reddit.com
How many therms of natural gas do you use per month during winter? r How Many Therms Does A House Use Per Month Since approximately 75% of all homes in the state use natural gas as the primary fuel for heating, we’ll go through an example using the common unit of therms (see table). The average annual therm consumption figure of 717 hides a huge range of variance. Natural gas for the hot water heater, too. Spent a bunch of time swapping vents. How Many Therms Does A House Use Per Month.
From www.quora.com
How much data does a house use per month? Quora How Many Therms Does A House Use Per Month 23 rows a therm is a measurement of the amount of heat energy in natural gas, equal to 100,000 btus. What is your average ng therm usage per month or year or heating season? Natural gas for the hot water heater, too. Example of results summarized in the chart: During 6 colder months, an average 1,500 sq ft to 1,999. How Many Therms Does A House Use Per Month.
From ca.renogy.com
How many kWh does the average home use? Renogy Canada How Many Therms Does A House Use Per Month How many therms does your household use? Here is a useful table. One therm per day equates to a power of 1.22 kw. Natural gas for the hot water heater, too. 23 rows a therm is a measurement of the amount of heat energy in natural gas, equal to 100,000 btus. A btu, or british thermal unit, is the. During. How Many Therms Does A House Use Per Month.
From zutocafuhe.blogspot.com
average kwh usage for 2000 sq ft home per day Have A Substantial Biog How Many Therms Does A House Use Per Month Since approximately 75% of all homes in the state use natural gas as the primary fuel for heating, we’ll go through an example using the common unit of therms (see table). Natural gas for the hot water heater, too. Here is a useful table. One therm per day equates to a power of 1.22 kw. A btu, or british thermal. How Many Therms Does A House Use Per Month.
From blog.constellation.com
How Much Energy Does a House Use? Constellation How Many Therms Does A House Use Per Month One therm per day equates to a power of 1.22 kw. Since approximately 75% of all homes in the state use natural gas as the primary fuel for heating, we’ll go through an example using the common unit of therms (see table). Natural gas for the hot water heater, too. The therms per degree day measure may be somewhat convenient. How Many Therms Does A House Use Per Month.