Hydrogen Electrode Are Immersed In Two Solution . We can, however, measure the difference between the potentials of two electrodes that dip into the same solution, or more usefully, are in two different solutions. The wire is immersed in a \(1.0 \: Two hydrogen electrodes at unequal gas pressures immersed in the same solution of hydrogen ions constitute an electrode. If hydrogen electrode dipped in 2 solution of p h = 3 and p h = 6 and salt bridge is connected then e.m.f. \text{m}\) strong acid solution and \(\ce{h_2}\) gas is bubbled in at a pressure of one atmosphere and a temperature of. In aqueous solutions, the standard hydrogen electrode consists of a platinized pt electrode (in the form of mesh, sheet, or wire) and an acidic solution having a unit activity. In the latter case, each electrode. The hydrogen electrode is based on the redox half cell corresponding to the reduction of two hydrated protons, 2h + (aq), into one gaseous. The standard hydrogen electrode, or she, is composed of an inert solid like platinum on which hydrogen gas is adsorbed, immersed in a solution containing hydrogen ions at unit activity.
from www.toppr.com
Two hydrogen electrodes at unequal gas pressures immersed in the same solution of hydrogen ions constitute an electrode. In aqueous solutions, the standard hydrogen electrode consists of a platinized pt electrode (in the form of mesh, sheet, or wire) and an acidic solution having a unit activity. The standard hydrogen electrode, or she, is composed of an inert solid like platinum on which hydrogen gas is adsorbed, immersed in a solution containing hydrogen ions at unit activity. If hydrogen electrode dipped in 2 solution of p h = 3 and p h = 6 and salt bridge is connected then e.m.f. We can, however, measure the difference between the potentials of two electrodes that dip into the same solution, or more usefully, are in two different solutions. The hydrogen electrode is based on the redox half cell corresponding to the reduction of two hydrated protons, 2h + (aq), into one gaseous. \text{m}\) strong acid solution and \(\ce{h_2}\) gas is bubbled in at a pressure of one atmosphere and a temperature of. The wire is immersed in a \(1.0 \: In the latter case, each electrode.
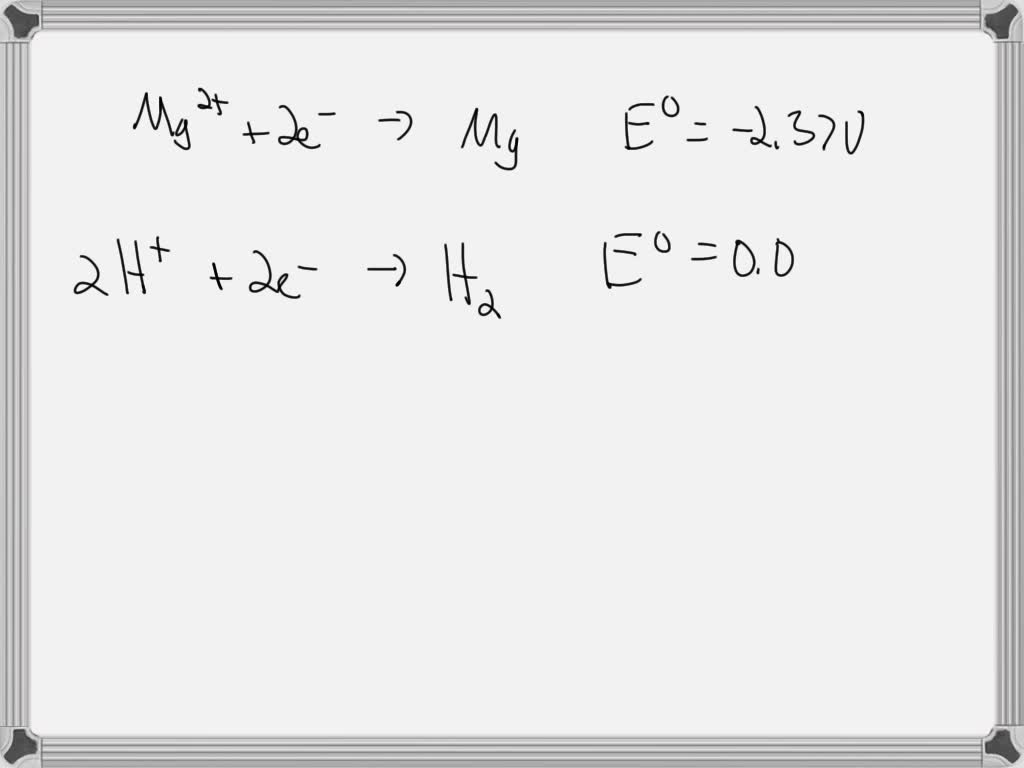
The EMF of a galvanic cell composed of two hydrogen electrodes is 272 m
Hydrogen Electrode Are Immersed In Two Solution \text{m}\) strong acid solution and \(\ce{h_2}\) gas is bubbled in at a pressure of one atmosphere and a temperature of. We can, however, measure the difference between the potentials of two electrodes that dip into the same solution, or more usefully, are in two different solutions. The hydrogen electrode is based on the redox half cell corresponding to the reduction of two hydrated protons, 2h + (aq), into one gaseous. Two hydrogen electrodes at unequal gas pressures immersed in the same solution of hydrogen ions constitute an electrode. In aqueous solutions, the standard hydrogen electrode consists of a platinized pt electrode (in the form of mesh, sheet, or wire) and an acidic solution having a unit activity. \text{m}\) strong acid solution and \(\ce{h_2}\) gas is bubbled in at a pressure of one atmosphere and a temperature of. In the latter case, each electrode. The wire is immersed in a \(1.0 \: If hydrogen electrode dipped in 2 solution of p h = 3 and p h = 6 and salt bridge is connected then e.m.f. The standard hydrogen electrode, or she, is composed of an inert solid like platinum on which hydrogen gas is adsorbed, immersed in a solution containing hydrogen ions at unit activity.
From wisc.pb.unizin.org
Day 38 OxidationReduction Reactions, Voltaic Cells Chemistry 109 Hydrogen Electrode Are Immersed In Two Solution \text{m}\) strong acid solution and \(\ce{h_2}\) gas is bubbled in at a pressure of one atmosphere and a temperature of. The standard hydrogen electrode, or she, is composed of an inert solid like platinum on which hydrogen gas is adsorbed, immersed in a solution containing hydrogen ions at unit activity. Two hydrogen electrodes at unequal gas pressures immersed in the. Hydrogen Electrode Are Immersed In Two Solution.
From stock.adobe.com
A Standard Hydrogen Electrode (SHE) is an electrode that scientists use Hydrogen Electrode Are Immersed In Two Solution In aqueous solutions, the standard hydrogen electrode consists of a platinized pt electrode (in the form of mesh, sheet, or wire) and an acidic solution having a unit activity. \text{m}\) strong acid solution and \(\ce{h_2}\) gas is bubbled in at a pressure of one atmosphere and a temperature of. Two hydrogen electrodes at unequal gas pressures immersed in the same. Hydrogen Electrode Are Immersed In Two Solution.
From stock.adobe.com
Vetor de A Standard Hydrogen Electrode or SHE is an electrode that Hydrogen Electrode Are Immersed In Two Solution Two hydrogen electrodes at unequal gas pressures immersed in the same solution of hydrogen ions constitute an electrode. In aqueous solutions, the standard hydrogen electrode consists of a platinized pt electrode (in the form of mesh, sheet, or wire) and an acidic solution having a unit activity. The standard hydrogen electrode, or she, is composed of an inert solid like. Hydrogen Electrode Are Immersed In Two Solution.
From chem.libretexts.org
11.7 Electrolysis Chemistry LibreTexts Hydrogen Electrode Are Immersed In Two Solution The hydrogen electrode is based on the redox half cell corresponding to the reduction of two hydrated protons, 2h + (aq), into one gaseous. The standard hydrogen electrode, or she, is composed of an inert solid like platinum on which hydrogen gas is adsorbed, immersed in a solution containing hydrogen ions at unit activity. We can, however, measure the difference. Hydrogen Electrode Are Immersed In Two Solution.
From brainly.in
What is standard hydrogen electrode? How is it prepared? Explain with Hydrogen Electrode Are Immersed In Two Solution The wire is immersed in a \(1.0 \: \text{m}\) strong acid solution and \(\ce{h_2}\) gas is bubbled in at a pressure of one atmosphere and a temperature of. We can, however, measure the difference between the potentials of two electrodes that dip into the same solution, or more usefully, are in two different solutions. In the latter case, each electrode.. Hydrogen Electrode Are Immersed In Two Solution.
From app.pandai.org
Standard Electrode Potential Hydrogen Electrode Are Immersed In Two Solution The standard hydrogen electrode, or she, is composed of an inert solid like platinum on which hydrogen gas is adsorbed, immersed in a solution containing hydrogen ions at unit activity. In aqueous solutions, the standard hydrogen electrode consists of a platinized pt electrode (in the form of mesh, sheet, or wire) and an acidic solution having a unit activity. Two. Hydrogen Electrode Are Immersed In Two Solution.
From chem.libretexts.org
1.7 Ion Selective Electrode Analysis Chemistry LibreTexts Hydrogen Electrode Are Immersed In Two Solution The hydrogen electrode is based on the redox half cell corresponding to the reduction of two hydrated protons, 2h + (aq), into one gaseous. In the latter case, each electrode. \text{m}\) strong acid solution and \(\ce{h_2}\) gas is bubbled in at a pressure of one atmosphere and a temperature of. In aqueous solutions, the standard hydrogen electrode consists of a. Hydrogen Electrode Are Immersed In Two Solution.
From gaskatel.de
Principles of the pHvalue measurement with hydrogen electrodes Gaskatel Hydrogen Electrode Are Immersed In Two Solution We can, however, measure the difference between the potentials of two electrodes that dip into the same solution, or more usefully, are in two different solutions. In aqueous solutions, the standard hydrogen electrode consists of a platinized pt electrode (in the form of mesh, sheet, or wire) and an acidic solution having a unit activity. If hydrogen electrode dipped in. Hydrogen Electrode Are Immersed In Two Solution.
From www.toppr.com
A hydrogen electrode is immersed in a solution with pH = 0 (HCl). By Hydrogen Electrode Are Immersed In Two Solution In the latter case, each electrode. The wire is immersed in a \(1.0 \: \text{m}\) strong acid solution and \(\ce{h_2}\) gas is bubbled in at a pressure of one atmosphere and a temperature of. The standard hydrogen electrode, or she, is composed of an inert solid like platinum on which hydrogen gas is adsorbed, immersed in a solution containing hydrogen. Hydrogen Electrode Are Immersed In Two Solution.
From mavink.com
Hydrogen Electrode Diagram Hydrogen Electrode Are Immersed In Two Solution The wire is immersed in a \(1.0 \: \text{m}\) strong acid solution and \(\ce{h_2}\) gas is bubbled in at a pressure of one atmosphere and a temperature of. We can, however, measure the difference between the potentials of two electrodes that dip into the same solution, or more usefully, are in two different solutions. In aqueous solutions, the standard hydrogen. Hydrogen Electrode Are Immersed In Two Solution.
From www.linstitute.net
IB DP Chemistry HL复习笔记19.1.2 The Standard Hydrogen Electrode翰林国际教育 Hydrogen Electrode Are Immersed In Two Solution \text{m}\) strong acid solution and \(\ce{h_2}\) gas is bubbled in at a pressure of one atmosphere and a temperature of. Two hydrogen electrodes at unequal gas pressures immersed in the same solution of hydrogen ions constitute an electrode. We can, however, measure the difference between the potentials of two electrodes that dip into the same solution, or more usefully, are. Hydrogen Electrode Are Immersed In Two Solution.
From www.youtube.com
Calculate the potential of hydrogen electrode in contact with a Hydrogen Electrode Are Immersed In Two Solution In aqueous solutions, the standard hydrogen electrode consists of a platinized pt electrode (in the form of mesh, sheet, or wire) and an acidic solution having a unit activity. In the latter case, each electrode. The wire is immersed in a \(1.0 \: The standard hydrogen electrode, or she, is composed of an inert solid like platinum on which hydrogen. Hydrogen Electrode Are Immersed In Two Solution.
From pubs.acs.org
Standard and Reversible Hydrogen Electrodes Theory, Design, Operation Hydrogen Electrode Are Immersed In Two Solution In aqueous solutions, the standard hydrogen electrode consists of a platinized pt electrode (in the form of mesh, sheet, or wire) and an acidic solution having a unit activity. Two hydrogen electrodes at unequal gas pressures immersed in the same solution of hydrogen ions constitute an electrode. We can, however, measure the difference between the potentials of two electrodes that. Hydrogen Electrode Are Immersed In Two Solution.
From www.numerade.com
SOLVEDA concentration cell is constructed of two hydrogen electrodes Hydrogen Electrode Are Immersed In Two Solution In aqueous solutions, the standard hydrogen electrode consists of a platinized pt electrode (in the form of mesh, sheet, or wire) and an acidic solution having a unit activity. We can, however, measure the difference between the potentials of two electrodes that dip into the same solution, or more usefully, are in two different solutions. The standard hydrogen electrode, or. Hydrogen Electrode Are Immersed In Two Solution.
From socratic.org
Two halfcells in a galvanic cell consist of one iron (Fe(s)) electrode Hydrogen Electrode Are Immersed In Two Solution The standard hydrogen electrode, or she, is composed of an inert solid like platinum on which hydrogen gas is adsorbed, immersed in a solution containing hydrogen ions at unit activity. In the latter case, each electrode. \text{m}\) strong acid solution and \(\ce{h_2}\) gas is bubbled in at a pressure of one atmosphere and a temperature of. We can, however, measure. Hydrogen Electrode Are Immersed In Two Solution.
From www.toppr.com
A galvanic cell is composed of two hydrogen electrodes, one of which is Hydrogen Electrode Are Immersed In Two Solution In aqueous solutions, the standard hydrogen electrode consists of a platinized pt electrode (in the form of mesh, sheet, or wire) and an acidic solution having a unit activity. \text{m}\) strong acid solution and \(\ce{h_2}\) gas is bubbled in at a pressure of one atmosphere and a temperature of. The wire is immersed in a \(1.0 \: We can, however,. Hydrogen Electrode Are Immersed In Two Solution.
From brainly.in
When electrodes are immersed in water and electricity is passed, the Hydrogen Electrode Are Immersed In Two Solution We can, however, measure the difference between the potentials of two electrodes that dip into the same solution, or more usefully, are in two different solutions. If hydrogen electrode dipped in 2 solution of p h = 3 and p h = 6 and salt bridge is connected then e.m.f. The hydrogen electrode is based on the redox half cell. Hydrogen Electrode Are Immersed In Two Solution.
From www.numerade.com
SOLVED A hydrogen electrode is immersed in a 0.10 M solution of acetic Hydrogen Electrode Are Immersed In Two Solution If hydrogen electrode dipped in 2 solution of p h = 3 and p h = 6 and salt bridge is connected then e.m.f. The wire is immersed in a \(1.0 \: \text{m}\) strong acid solution and \(\ce{h_2}\) gas is bubbled in at a pressure of one atmosphere and a temperature of. The standard hydrogen electrode, or she, is composed. Hydrogen Electrode Are Immersed In Two Solution.
From askfilo.com
3.4. Calculate the potential of hydrogen electrode in contact with a solu.. Hydrogen Electrode Are Immersed In Two Solution Two hydrogen electrodes at unequal gas pressures immersed in the same solution of hydrogen ions constitute an electrode. In the latter case, each electrode. The standard hydrogen electrode, or she, is composed of an inert solid like platinum on which hydrogen gas is adsorbed, immersed in a solution containing hydrogen ions at unit activity. In aqueous solutions, the standard hydrogen. Hydrogen Electrode Are Immersed In Two Solution.
From www.youtube.com
A hydrogen electrode is dipped in a solution at `25^()C`. The Hydrogen Electrode Are Immersed In Two Solution If hydrogen electrode dipped in 2 solution of p h = 3 and p h = 6 and salt bridge is connected then e.m.f. In the latter case, each electrode. In aqueous solutions, the standard hydrogen electrode consists of a platinized pt electrode (in the form of mesh, sheet, or wire) and an acidic solution having a unit activity. The. Hydrogen Electrode Are Immersed In Two Solution.
From scienceinfo.com
What is Standard Hydrogen Electrode? Hydrogen Electrode Are Immersed In Two Solution If hydrogen electrode dipped in 2 solution of p h = 3 and p h = 6 and salt bridge is connected then e.m.f. The standard hydrogen electrode, or she, is composed of an inert solid like platinum on which hydrogen gas is adsorbed, immersed in a solution containing hydrogen ions at unit activity. The hydrogen electrode is based on. Hydrogen Electrode Are Immersed In Two Solution.
From www.chemicals.co.uk
A Level Chemistry Electrodes & Electrochemical Cells Hydrogen Electrode Are Immersed In Two Solution If hydrogen electrode dipped in 2 solution of p h = 3 and p h = 6 and salt bridge is connected then e.m.f. We can, however, measure the difference between the potentials of two electrodes that dip into the same solution, or more usefully, are in two different solutions. In aqueous solutions, the standard hydrogen electrode consists of a. Hydrogen Electrode Are Immersed In Two Solution.
From monomole.com
Standard hydrogen electrode Mono Mole Hydrogen Electrode Are Immersed In Two Solution The wire is immersed in a \(1.0 \: The standard hydrogen electrode, or she, is composed of an inert solid like platinum on which hydrogen gas is adsorbed, immersed in a solution containing hydrogen ions at unit activity. We can, however, measure the difference between the potentials of two electrodes that dip into the same solution, or more usefully, are. Hydrogen Electrode Are Immersed In Two Solution.
From byjus.com
39. A galvanic cell is composed of two hydrogen electrodes, one of Hydrogen Electrode Are Immersed In Two Solution The wire is immersed in a \(1.0 \: \text{m}\) strong acid solution and \(\ce{h_2}\) gas is bubbled in at a pressure of one atmosphere and a temperature of. The hydrogen electrode is based on the redox half cell corresponding to the reduction of two hydrated protons, 2h + (aq), into one gaseous. If hydrogen electrode dipped in 2 solution of. Hydrogen Electrode Are Immersed In Two Solution.
From www.slideserve.com
PPT Standard hydrogen electrode PowerPoint Presentation, free Hydrogen Electrode Are Immersed In Two Solution The standard hydrogen electrode, or she, is composed of an inert solid like platinum on which hydrogen gas is adsorbed, immersed in a solution containing hydrogen ions at unit activity. The wire is immersed in a \(1.0 \: The hydrogen electrode is based on the redox half cell corresponding to the reduction of two hydrated protons, 2h + (aq), into. Hydrogen Electrode Are Immersed In Two Solution.
From www.toppr.com
A hydrogen electrode is immersed in a solution with pH = 0 (HCl). By Hydrogen Electrode Are Immersed In Two Solution In the latter case, each electrode. The wire is immersed in a \(1.0 \: In aqueous solutions, the standard hydrogen electrode consists of a platinized pt electrode (in the form of mesh, sheet, or wire) and an acidic solution having a unit activity. The standard hydrogen electrode, or she, is composed of an inert solid like platinum on which hydrogen. Hydrogen Electrode Are Immersed In Two Solution.
From saylordotorg.github.io
Electrochemistry Hydrogen Electrode Are Immersed In Two Solution In aqueous solutions, the standard hydrogen electrode consists of a platinized pt electrode (in the form of mesh, sheet, or wire) and an acidic solution having a unit activity. \text{m}\) strong acid solution and \(\ce{h_2}\) gas is bubbled in at a pressure of one atmosphere and a temperature of. Two hydrogen electrodes at unequal gas pressures immersed in the same. Hydrogen Electrode Are Immersed In Two Solution.
From www.chegg.com
Solved Two metallic electrodes are immersed in salt water Hydrogen Electrode Are Immersed In Two Solution We can, however, measure the difference between the potentials of two electrodes that dip into the same solution, or more usefully, are in two different solutions. \text{m}\) strong acid solution and \(\ce{h_2}\) gas is bubbled in at a pressure of one atmosphere and a temperature of. In the latter case, each electrode. The wire is immersed in a \(1.0 \:. Hydrogen Electrode Are Immersed In Two Solution.
From saylordotorg.github.io
Electrochemistry Hydrogen Electrode Are Immersed In Two Solution In the latter case, each electrode. In aqueous solutions, the standard hydrogen electrode consists of a platinized pt electrode (in the form of mesh, sheet, or wire) and an acidic solution having a unit activity. The hydrogen electrode is based on the redox half cell corresponding to the reduction of two hydrated protons, 2h + (aq), into one gaseous. Two. Hydrogen Electrode Are Immersed In Two Solution.
From saylordotorg.github.io
Electrochemistry Hydrogen Electrode Are Immersed In Two Solution Two hydrogen electrodes at unequal gas pressures immersed in the same solution of hydrogen ions constitute an electrode. The wire is immersed in a \(1.0 \: The hydrogen electrode is based on the redox half cell corresponding to the reduction of two hydrated protons, 2h + (aq), into one gaseous. If hydrogen electrode dipped in 2 solution of p h. Hydrogen Electrode Are Immersed In Two Solution.
From www.toppr.com
The EMF of a galvanic cell composed of two hydrogen electrodes is 272 m Hydrogen Electrode Are Immersed In Two Solution If hydrogen electrode dipped in 2 solution of p h = 3 and p h = 6 and salt bridge is connected then e.m.f. The wire is immersed in a \(1.0 \: \text{m}\) strong acid solution and \(\ce{h_2}\) gas is bubbled in at a pressure of one atmosphere and a temperature of. In aqueous solutions, the standard hydrogen electrode consists. Hydrogen Electrode Are Immersed In Two Solution.
From www.numerade.com
SOLVED A voltaic cell consists of a standard hydrogen electrode and a Hydrogen Electrode Are Immersed In Two Solution In aqueous solutions, the standard hydrogen electrode consists of a platinized pt electrode (in the form of mesh, sheet, or wire) and an acidic solution having a unit activity. Two hydrogen electrodes at unequal gas pressures immersed in the same solution of hydrogen ions constitute an electrode. \text{m}\) strong acid solution and \(\ce{h_2}\) gas is bubbled in at a pressure. Hydrogen Electrode Are Immersed In Two Solution.
From question.pandai.org
Standard Electrode Potential Hydrogen Electrode Are Immersed In Two Solution In aqueous solutions, the standard hydrogen electrode consists of a platinized pt electrode (in the form of mesh, sheet, or wire) and an acidic solution having a unit activity. We can, however, measure the difference between the potentials of two electrodes that dip into the same solution, or more usefully, are in two different solutions. The standard hydrogen electrode, or. Hydrogen Electrode Are Immersed In Two Solution.
From byjus.com
Standard Hydrogen Electrode Definition, Construction, and Labelled Hydrogen Electrode Are Immersed In Two Solution In aqueous solutions, the standard hydrogen electrode consists of a platinized pt electrode (in the form of mesh, sheet, or wire) and an acidic solution having a unit activity. If hydrogen electrode dipped in 2 solution of p h = 3 and p h = 6 and salt bridge is connected then e.m.f. The standard hydrogen electrode, or she, is. Hydrogen Electrode Are Immersed In Two Solution.
From byjus.com
What is standard hydrogen electrode? Hydrogen Electrode Are Immersed In Two Solution If hydrogen electrode dipped in 2 solution of p h = 3 and p h = 6 and salt bridge is connected then e.m.f. The standard hydrogen electrode, or she, is composed of an inert solid like platinum on which hydrogen gas is adsorbed, immersed in a solution containing hydrogen ions at unit activity. Two hydrogen electrodes at unequal gas. Hydrogen Electrode Are Immersed In Two Solution.