Is Code For Hdpe Pipe Laying . Bureau of indian standards (bis) division name: 12 tables of code) name of standards organization: Ced 50 designator of legally binding document: 12 tables of code) name of standards organization: For pe pipes, flexibility is directly proportional to the dimension ratio (dr). The method statement for hdpe pipe installation defines the steps to be followed in order to ensure that pipeline welding, laying, and associated works are performed as per project specifications, hse, and quality requirements. 5.2 storage, handling, laying and jointing of pipes shall be as per is 7634 (part 2):2012. Bureau of indian standards (bis) committee designation: 1.1 this standard (part 2) gives guidance for the recommended methods of laying, jointing and testing of polyethylene (pe) pipes for the potable water. Low dr pipes such as dr 7.3 have high resistance to deflection because their. 1.1 this code of practice (part 3) gives guidance for the proper methods of laying and jointing of unplasticized polyvinyl chloride (upvc) pipe work.
from exyjciofz.blob.core.windows.net
1.1 this standard (part 2) gives guidance for the recommended methods of laying, jointing and testing of polyethylene (pe) pipes for the potable water. 12 tables of code) name of standards organization: Bureau of indian standards (bis) division name: Low dr pipes such as dr 7.3 have high resistance to deflection because their. Bureau of indian standards (bis) committee designation: The method statement for hdpe pipe installation defines the steps to be followed in order to ensure that pipeline welding, laying, and associated works are performed as per project specifications, hse, and quality requirements. Ced 50 designator of legally binding document: 5.2 storage, handling, laying and jointing of pipes shall be as per is 7634 (part 2):2012. For pe pipes, flexibility is directly proportional to the dimension ratio (dr). 12 tables of code) name of standards organization:
Hs Code Of Ducting Tube at Laura Brown blog
Is Code For Hdpe Pipe Laying Ced 50 designator of legally binding document: 12 tables of code) name of standards organization: The method statement for hdpe pipe installation defines the steps to be followed in order to ensure that pipeline welding, laying, and associated works are performed as per project specifications, hse, and quality requirements. Low dr pipes such as dr 7.3 have high resistance to deflection because their. 1.1 this code of practice (part 3) gives guidance for the proper methods of laying and jointing of unplasticized polyvinyl chloride (upvc) pipe work. Ced 50 designator of legally binding document: Bureau of indian standards (bis) division name: 12 tables of code) name of standards organization: 1.1 this standard (part 2) gives guidance for the recommended methods of laying, jointing and testing of polyethylene (pe) pipes for the potable water. 5.2 storage, handling, laying and jointing of pipes shall be as per is 7634 (part 2):2012. Bureau of indian standards (bis) committee designation: For pe pipes, flexibility is directly proportional to the dimension ratio (dr).
From blog.unitedpolysystems.com
HDPE Pipe ASTM Standards Guide 16 Common Standards Is Code For Hdpe Pipe Laying For pe pipes, flexibility is directly proportional to the dimension ratio (dr). 1.1 this code of practice (part 3) gives guidance for the proper methods of laying and jointing of unplasticized polyvinyl chloride (upvc) pipe work. Ced 50 designator of legally binding document: 12 tables of code) name of standards organization: 5.2 storage, handling, laying and jointing of pipes shall. Is Code For Hdpe Pipe Laying.
From www.scribd.com
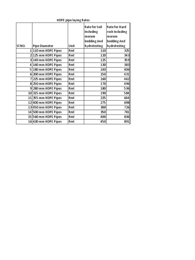
HDPE Pipe Laying Final Rates PDF Is Code For Hdpe Pipe Laying 12 tables of code) name of standards organization: Bureau of indian standards (bis) committee designation: 12 tables of code) name of standards organization: 1.1 this code of practice (part 3) gives guidance for the proper methods of laying and jointing of unplasticized polyvinyl chloride (upvc) pipe work. Low dr pipes such as dr 7.3 have high resistance to deflection because. Is Code For Hdpe Pipe Laying.
From www.exportersindia.com
Supplier of HDPE Pipe & HDPE Pipe Fittings Ashpriya Piping, Pune Is Code For Hdpe Pipe Laying Bureau of indian standards (bis) division name: 1.1 this code of practice (part 3) gives guidance for the proper methods of laying and jointing of unplasticized polyvinyl chloride (upvc) pipe work. Bureau of indian standards (bis) committee designation: 5.2 storage, handling, laying and jointing of pipes shall be as per is 7634 (part 2):2012. 12 tables of code) name of. Is Code For Hdpe Pipe Laying.
From www.tappipe.com
HDPE pipe laying work to help drought, Buriram Province ThaiAsia P.E Is Code For Hdpe Pipe Laying 1.1 this code of practice (part 3) gives guidance for the proper methods of laying and jointing of unplasticized polyvinyl chloride (upvc) pipe work. 12 tables of code) name of standards organization: For pe pipes, flexibility is directly proportional to the dimension ratio (dr). The method statement for hdpe pipe installation defines the steps to be followed in order to. Is Code For Hdpe Pipe Laying.
From tetcon.ae
GRE GRP UPVC HDPE Pipe Laying Dubai UAE TETCON Is Code For Hdpe Pipe Laying 5.2 storage, handling, laying and jointing of pipes shall be as per is 7634 (part 2):2012. Low dr pipes such as dr 7.3 have high resistance to deflection because their. The method statement for hdpe pipe installation defines the steps to be followed in order to ensure that pipeline welding, laying, and associated works are performed as per project specifications,. Is Code For Hdpe Pipe Laying.
From exyjciofz.blob.core.windows.net
Hs Code Of Ducting Tube at Laura Brown blog Is Code For Hdpe Pipe Laying Low dr pipes such as dr 7.3 have high resistance to deflection because their. Ced 50 designator of legally binding document: Bureau of indian standards (bis) division name: Bureau of indian standards (bis) committee designation: 12 tables of code) name of standards organization: 1.1 this standard (part 2) gives guidance for the recommended methods of laying, jointing and testing of. Is Code For Hdpe Pipe Laying.
From www.youtube.com
63mm Hdpe Pipe unrolling 63mm hdpe pipe laying YouTube Is Code For Hdpe Pipe Laying Low dr pipes such as dr 7.3 have high resistance to deflection because their. The method statement for hdpe pipe installation defines the steps to be followed in order to ensure that pipeline welding, laying, and associated works are performed as per project specifications, hse, and quality requirements. Bureau of indian standards (bis) division name: 1.1 this code of practice. Is Code For Hdpe Pipe Laying.
From www.youtube.com
HDPE pipe joining welding method and underground pipe installation Is Code For Hdpe Pipe Laying Bureau of indian standards (bis) division name: The method statement for hdpe pipe installation defines the steps to be followed in order to ensure that pipeline welding, laying, and associated works are performed as per project specifications, hse, and quality requirements. For pe pipes, flexibility is directly proportional to the dimension ratio (dr). 1.1 this standard (part 2) gives guidance. Is Code For Hdpe Pipe Laying.
From www.indiamart.com
HDPE Pipe Laying Service in New Delhi ID 25368169348 Is Code For Hdpe Pipe Laying Low dr pipes such as dr 7.3 have high resistance to deflection because their. 1.1 this code of practice (part 3) gives guidance for the proper methods of laying and jointing of unplasticized polyvinyl chloride (upvc) pipe work. Bureau of indian standards (bis) division name: For pe pipes, flexibility is directly proportional to the dimension ratio (dr). Bureau of indian. Is Code For Hdpe Pipe Laying.
From studylib.net
Method Statment for HDPE Pipe Laying (LAK Review) Is Code For Hdpe Pipe Laying Ced 50 designator of legally binding document: 12 tables of code) name of standards organization: Bureau of indian standards (bis) committee designation: The method statement for hdpe pipe installation defines the steps to be followed in order to ensure that pipeline welding, laying, and associated works are performed as per project specifications, hse, and quality requirements. 1.1 this standard (part. Is Code For Hdpe Pipe Laying.
From tetcon.ae
GRE GRP UPVC HDPE Pipe Laying Dubai UAE TETCON Is Code For Hdpe Pipe Laying 12 tables of code) name of standards organization: Low dr pipes such as dr 7.3 have high resistance to deflection because their. Bureau of indian standards (bis) committee designation: For pe pipes, flexibility is directly proportional to the dimension ratio (dr). Ced 50 designator of legally binding document: The method statement for hdpe pipe installation defines the steps to be. Is Code For Hdpe Pipe Laying.
From www.youtube.com
IS 4984 High Density Polyethylene Pipe For Water Supply Part 1 Is Code For Hdpe Pipe Laying 5.2 storage, handling, laying and jointing of pipes shall be as per is 7634 (part 2):2012. 12 tables of code) name of standards organization: Bureau of indian standards (bis) committee designation: Ced 50 designator of legally binding document: The method statement for hdpe pipe installation defines the steps to be followed in order to ensure that pipeline welding, laying, and. Is Code For Hdpe Pipe Laying.
From esen.com
HDPE Corrugated Pipe Installation Manual Is Code For Hdpe Pipe Laying Low dr pipes such as dr 7.3 have high resistance to deflection because their. 12 tables of code) name of standards organization: 12 tables of code) name of standards organization: For pe pipes, flexibility is directly proportional to the dimension ratio (dr). Bureau of indian standards (bis) division name: Ced 50 designator of legally binding document: Bureau of indian standards. Is Code For Hdpe Pipe Laying.
From www.tappipe.com
Installing HDPE pipes using the Trench Installation method ThaiAsia Is Code For Hdpe Pipe Laying Bureau of indian standards (bis) committee designation: 1.1 this standard (part 2) gives guidance for the recommended methods of laying, jointing and testing of polyethylene (pe) pipes for the potable water. The method statement for hdpe pipe installation defines the steps to be followed in order to ensure that pipeline welding, laying, and associated works are performed as per project. Is Code For Hdpe Pipe Laying.
From pumpsandpipes.net.au
HDPE Poly Pipe 63mm SDR11 PN16 Straight 12m Length Pumps and Pipes Is Code For Hdpe Pipe Laying Bureau of indian standards (bis) division name: Bureau of indian standards (bis) committee designation: The method statement for hdpe pipe installation defines the steps to be followed in order to ensure that pipeline welding, laying, and associated works are performed as per project specifications, hse, and quality requirements. 5.2 storage, handling, laying and jointing of pipes shall be as per. Is Code For Hdpe Pipe Laying.
From www.steelpipesfactory.com
Pipe Color Code Standard and Piping Color Codes Chart Is Code For Hdpe Pipe Laying Ced 50 designator of legally binding document: 1.1 this code of practice (part 3) gives guidance for the proper methods of laying and jointing of unplasticized polyvinyl chloride (upvc) pipe work. The method statement for hdpe pipe installation defines the steps to be followed in order to ensure that pipeline welding, laying, and associated works are performed as per project. Is Code For Hdpe Pipe Laying.
From www.youtube.com
hdpe pipe laying by boring machine Hdpe pipe road crossing by boring Is Code For Hdpe Pipe Laying 5.2 storage, handling, laying and jointing of pipes shall be as per is 7634 (part 2):2012. 12 tables of code) name of standards organization: Ced 50 designator of legally binding document: 1.1 this standard (part 2) gives guidance for the recommended methods of laying, jointing and testing of polyethylene (pe) pipes for the potable water. For pe pipes, flexibility is. Is Code For Hdpe Pipe Laying.
From esen.com
HDPE Corrugated Pipe Installation Manual Is Code For Hdpe Pipe Laying 1.1 this standard (part 2) gives guidance for the recommended methods of laying, jointing and testing of polyethylene (pe) pipes for the potable water. 12 tables of code) name of standards organization: Ced 50 designator of legally binding document: 5.2 storage, handling, laying and jointing of pipes shall be as per is 7634 (part 2):2012. Bureau of indian standards (bis). Is Code For Hdpe Pipe Laying.
From www.linkedin.com
The Necessity of Developing Local Codes And Specifications For HDPE Pipes Is Code For Hdpe Pipe Laying Bureau of indian standards (bis) division name: For pe pipes, flexibility is directly proportional to the dimension ratio (dr). Bureau of indian standards (bis) committee designation: 1.1 this standard (part 2) gives guidance for the recommended methods of laying, jointing and testing of polyethylene (pe) pipes for the potable water. 12 tables of code) name of standards organization: Low dr. Is Code For Hdpe Pipe Laying.
From www.youtube.com
HDPE Pipe Laying Course NWSDB YouTube Is Code For Hdpe Pipe Laying 12 tables of code) name of standards organization: 5.2 storage, handling, laying and jointing of pipes shall be as per is 7634 (part 2):2012. Bureau of indian standards (bis) division name: Bureau of indian standards (bis) committee designation: 1.1 this code of practice (part 3) gives guidance for the proper methods of laying and jointing of unplasticized polyvinyl chloride (upvc). Is Code For Hdpe Pipe Laying.
From www.youtube.com
HDPE pipe laying YouTube Is Code For Hdpe Pipe Laying For pe pipes, flexibility is directly proportional to the dimension ratio (dr). Low dr pipes such as dr 7.3 have high resistance to deflection because their. Bureau of indian standards (bis) division name: The method statement for hdpe pipe installation defines the steps to be followed in order to ensure that pipeline welding, laying, and associated works are performed as. Is Code For Hdpe Pipe Laying.
From www.allwinpipes.com
HDPE Pipes Allwin Pipes™ Innovative Water Solutions Is Code For Hdpe Pipe Laying 5.2 storage, handling, laying and jointing of pipes shall be as per is 7634 (part 2):2012. Bureau of indian standards (bis) division name: 12 tables of code) name of standards organization: 1.1 this code of practice (part 3) gives guidance for the proper methods of laying and jointing of unplasticized polyvinyl chloride (upvc) pipe work. Ced 50 designator of legally. Is Code For Hdpe Pipe Laying.
From www.shutterstock.com
Installation Hdpe Pipes Trench Process Laying Stock Photo 2208479979 Is Code For Hdpe Pipe Laying 12 tables of code) name of standards organization: 12 tables of code) name of standards organization: Bureau of indian standards (bis) committee designation: 5.2 storage, handling, laying and jointing of pipes shall be as per is 7634 (part 2):2012. The method statement for hdpe pipe installation defines the steps to be followed in order to ensure that pipeline welding, laying,. Is Code For Hdpe Pipe Laying.
From www.youtube.com
hdpe pipe laying part 3 YouTube Is Code For Hdpe Pipe Laying For pe pipes, flexibility is directly proportional to the dimension ratio (dr). 1.1 this code of practice (part 3) gives guidance for the proper methods of laying and jointing of unplasticized polyvinyl chloride (upvc) pipe work. Low dr pipes such as dr 7.3 have high resistance to deflection because their. 12 tables of code) name of standards organization: The method. Is Code For Hdpe Pipe Laying.
From engineersblog.net
METHOD STATEMENT FOR INSTALLATION OF HDPE PIPES AND FITTINGS The Is Code For Hdpe Pipe Laying Bureau of indian standards (bis) division name: 12 tables of code) name of standards organization: The method statement for hdpe pipe installation defines the steps to be followed in order to ensure that pipeline welding, laying, and associated works are performed as per project specifications, hse, and quality requirements. 1.1 this code of practice (part 3) gives guidance for the. Is Code For Hdpe Pipe Laying.
From www.youtube.com
HDPE Pipe laying PE 100. PN 10. SDR 17 YouTube Is Code For Hdpe Pipe Laying For pe pipes, flexibility is directly proportional to the dimension ratio (dr). Ced 50 designator of legally binding document: 12 tables of code) name of standards organization: 1.1 this code of practice (part 3) gives guidance for the proper methods of laying and jointing of unplasticized polyvinyl chloride (upvc) pipe work. 5.2 storage, handling, laying and jointing of pipes shall. Is Code For Hdpe Pipe Laying.
From www.conexjo.com
Water Project / Supply & Install of HDPE Pipes ConEx Is Code For Hdpe Pipe Laying Bureau of indian standards (bis) division name: 12 tables of code) name of standards organization: Ced 50 designator of legally binding document: 1.1 this code of practice (part 3) gives guidance for the proper methods of laying and jointing of unplasticized polyvinyl chloride (upvc) pipe work. 5.2 storage, handling, laying and jointing of pipes shall be as per is 7634. Is Code For Hdpe Pipe Laying.
From www.youtube.com
HDPE Pipe Laying & Jointing With Elbow Fittings. YouTube Is Code For Hdpe Pipe Laying Low dr pipes such as dr 7.3 have high resistance to deflection because their. Ced 50 designator of legally binding document: Bureau of indian standards (bis) division name: For pe pipes, flexibility is directly proportional to the dimension ratio (dr). The method statement for hdpe pipe installation defines the steps to be followed in order to ensure that pipeline welding,. Is Code For Hdpe Pipe Laying.
From www.acu-tech.com.au
Colourcoded Polyethylene Pipes AcuTech Piping Systems Is Code For Hdpe Pipe Laying For pe pipes, flexibility is directly proportional to the dimension ratio (dr). 12 tables of code) name of standards organization: 5.2 storage, handling, laying and jointing of pipes shall be as per is 7634 (part 2):2012. Bureau of indian standards (bis) division name: 1.1 this standard (part 2) gives guidance for the recommended methods of laying, jointing and testing of. Is Code For Hdpe Pipe Laying.
From www.mepskills.com
Pipe Color Code Standard and Piping Color Codes Chart ( Clear Explanation ) Is Code For Hdpe Pipe Laying 1.1 this code of practice (part 3) gives guidance for the proper methods of laying and jointing of unplasticized polyvinyl chloride (upvc) pipe work. 5.2 storage, handling, laying and jointing of pipes shall be as per is 7634 (part 2):2012. 12 tables of code) name of standards organization: Bureau of indian standards (bis) division name: For pe pipes, flexibility is. Is Code For Hdpe Pipe Laying.
From medium.com
HDPE Underground Water Pipeline Installation Your Comprehensive Guide Is Code For Hdpe Pipe Laying 1.1 this code of practice (part 3) gives guidance for the proper methods of laying and jointing of unplasticized polyvinyl chloride (upvc) pipe work. 12 tables of code) name of standards organization: Low dr pipes such as dr 7.3 have high resistance to deflection because their. Bureau of indian standards (bis) division name: 1.1 this standard (part 2) gives guidance. Is Code For Hdpe Pipe Laying.
From srilokpolyplast.com
HDPE Pipes & Fittings Srilok Polyplast Is Code For Hdpe Pipe Laying Low dr pipes such as dr 7.3 have high resistance to deflection because their. The method statement for hdpe pipe installation defines the steps to be followed in order to ensure that pipeline welding, laying, and associated works are performed as per project specifications, hse, and quality requirements. For pe pipes, flexibility is directly proportional to the dimension ratio (dr).. Is Code For Hdpe Pipe Laying.
From mavink.com
Hdpe Pipe Dimensions Chart Is Code For Hdpe Pipe Laying For pe pipes, flexibility is directly proportional to the dimension ratio (dr). 12 tables of code) name of standards organization: Bureau of indian standards (bis) committee designation: The method statement for hdpe pipe installation defines the steps to be followed in order to ensure that pipeline welding, laying, and associated works are performed as per project specifications, hse, and quality. Is Code For Hdpe Pipe Laying.
From fyoxkjwix.blob.core.windows.net
Hs Code Of Hdpe Pipe Fittings at William Riddles blog Is Code For Hdpe Pipe Laying 1.1 this standard (part 2) gives guidance for the recommended methods of laying, jointing and testing of polyethylene (pe) pipes for the potable water. Bureau of indian standards (bis) committee designation: 12 tables of code) name of standards organization: 5.2 storage, handling, laying and jointing of pipes shall be as per is 7634 (part 2):2012. Ced 50 designator of legally. Is Code For Hdpe Pipe Laying.
From blog.unitedpolysystems.com
The HDPE Pipe Color Code Guide Is Code For Hdpe Pipe Laying The method statement for hdpe pipe installation defines the steps to be followed in order to ensure that pipeline welding, laying, and associated works are performed as per project specifications, hse, and quality requirements. 1.1 this standard (part 2) gives guidance for the recommended methods of laying, jointing and testing of polyethylene (pe) pipes for the potable water. Ced 50. Is Code For Hdpe Pipe Laying.